Predicting Immediate Marginal Milk Responses and Evaluating the Economics of Two-Variable Input Tactical Feeding Decisions in Grazing Dairy Cows
Abstract
Simple Summary
Abstract
1. Introduction
2. Materials and Methods
- Y = yield (milk protein + fat, kg/cow·day)
- X1 = concentrate intake (kg DM/cow·day) and
- X2 = pasture + forage intake (kg DM/cow·day)
Economics
3. Results
3.1. Meta-Analysis
1.465 + 0.178 × (pre-experimental milk protein + fat yield − 1.63)
− 0.006 × (weeks lactating − 18.18)
+ season (Spring = 0, Summer = −0.174, Autumn = −0.312)
+ 0.100 × (DMI pasture + forage − 12.82)
+ 0.107 × (DMI conc − 2.26)
− 0.002 × (DMI pasture + forage2 − 172.90)
− 0.005 × (DMI concentrates2 − 11.49)
− 0.002 × (DMI pasture + forage x concentrates − 26.13)
+ Season × DMI concentrates (Spring = 0, Summer = 0.020, Autumn = 0.030)
+ Liveweight group (<500 kg = 0, >500 kg = 0.030)
+ 0.014 × (Past DMD% consumed − 72.63)
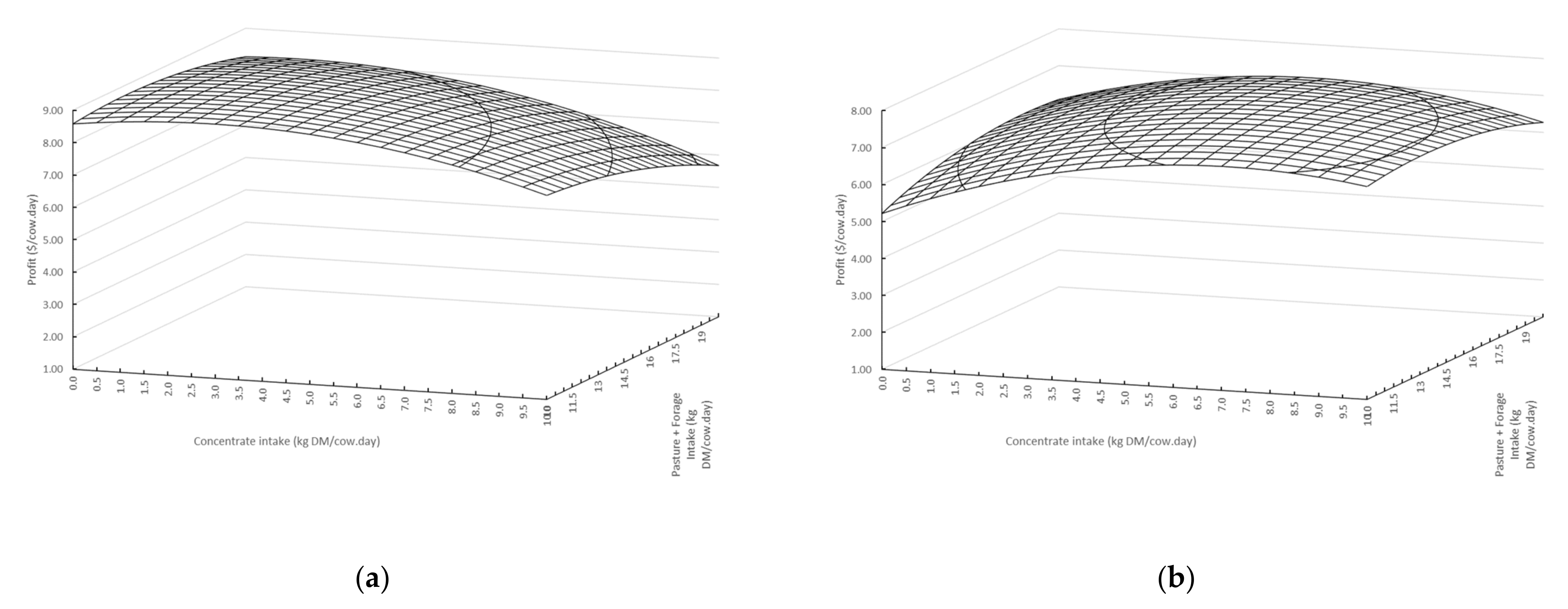
3.2. Economic Analysis
4. Discussion
5. Conclusions
Author Contributions
Funding
Institutional Review Board Statement
Data Availability Statement
Acknowledgments
Conflicts of Interest
References
- Ho, C.K.M.; Heard, J.W.; Wales, W.J.; Jacobs, J.L.; Doyle, P.T.; Malcolm, B. Evaluating the economics of concentrate feeding decisions in grazing dairy cows. Anim. Prod. Sci. 2017, 58, 1329–1340. [Google Scholar] [CrossRef]
- Heard, J.W.; Hannah, M.; Ho, C.K.M.; Kennedy, E.; Doyle, P.T.; Jacobs, L.J.; Wales, W.J. Predicting milk responses to cereal-based supplements in grazing dairy cows. Anim. Prod. Sci. 2017, 57, 746–759. [Google Scholar] [CrossRef]
- King, K.R.; Stockdale, C.R. Hay supplements to overcome underfeeding of dairy cows. 2. Late lactation. Aust. J. Exp. Agric. Anim. Husb. 1981, 21, 157–162. [Google Scholar] [CrossRef]
- Stockdale, C.; Trigg, T. Effect of pasture allowance and level of concentrate feeding on the productivity of dairy cows in late lactation. Aust. J. Exp. Agric. 1985, 25, 739–744. [Google Scholar] [CrossRef]
- Stockdale, C.; Callaghan, A.; Trigg, T. Feeding high energy supplements to pasture-fed dairy cows. Effects of stage of lactation and level of supplement. Aust. J. Agric. Res. 1987, 38, 927–940. [Google Scholar] [CrossRef]
- Grainger, C.; Mathews, G. Positive relation between substitution rate and pasture allowance for cows receiving concentrates. Aust. J. Exp. Agric. 1989, 29, 355–360. [Google Scholar] [CrossRef]
- Stockdale, C.; Trigg, T. Effect of pasture feeding levels on the responses of lactating dairy cows to high energy supplements. Aust. J. Exp. Agric. 1989, 29, 605–611. [Google Scholar] [CrossRef]
- King, K.; Stockdale, C.; Trigg, T. Influence of high energy supplements containing fatty acids on the productivity of pasture-fed dairy cows. Aust. J. Exp. Agric. 1990, 30, 11–16. [Google Scholar] [CrossRef]
- Moran, J.B.; Stockdale, C.R. Maize silage for the pasture-fed dairy cow. 1. Effect of level of silage feeding, and responses to cottonseed meal while grazing perennial pastures in the spring. Aust. J. Exp. Agric. 1992, 32, 279–285. [Google Scholar] [CrossRef]
- Stockdale, C.R. Persian clover and maize silage. III. Rumen fermentation and balance of nutrients when clover and silage are fed to lactating dairy cows. Aust. J. Agric. Res. 1994, 45, 1783–1798. [Google Scholar] [CrossRef]
- Stockdale, C.R.; Dellow, D.W. The productivity of lactating dairy cows grazing white clover and supplemented with maize silage. Aust. J. Agric. Res. 1995, 46, 1205–1217. [Google Scholar] [CrossRef]
- Stockdale, C.R. Substitution and production responses when lactating dairy cows graze a white clover pasture supplemented with maize silage. Aust. J. Exp. Agric. 1996, 36, 771–776. [Google Scholar] [CrossRef]
- Stockdale, C.R. Supplements improve the production of dairy cows grazing either white clover or paspalum-dominant pastures in late lactation. Aust. J. Exp. Agric. 1997, 37, 295–302. [Google Scholar] [CrossRef]
- Stockdale, C.R. Influence of energy and protein supplements on the productivity of dairy cows grazing white clover swards in spring. Aust. J. Exp. Agric. 1997, 37, 151–157. [Google Scholar] [CrossRef]
- Robaina, A.C.; Grainger, C.; Moate, P.; Taylor, J.; Stewart, J. Responses to grain feeding by grazing dairy cows. Aust. J. Exp. Agric. 1998, 38, 541–549. [Google Scholar] [CrossRef]
- Stockdale, C.R. Effect of length of the period of supplementation with concentrates on pasture intake and performance of grazing dairy cows. Aust. J. Exp. Agric. 1999, 39, 803–809. [Google Scholar] [CrossRef]
- Stockdale, C.R. Effects of cereal grain, lupins-cereal grain or hay supplements on the intake and performance of grazing dairy cows. Aust. J. Exp. Agric. 1999, 39, 811–817. [Google Scholar] [CrossRef]
- Wales, W.J.; Doyle, P.T.; Stockdale, C.R.; Dellow, D.W. Effects of variations in herbage mass, allowance, and level of supplement on nutrient intake and milk production of dairy cows in spring and summer. Aust. J. Exp. Agric. 1999, 39, 119–130. [Google Scholar] [CrossRef]
- Stockdale, C.R. Differences in body condition and body size affect the responses of grazing dairy cows to high-energy supplements in early lactation. Aust. J. Exp. Agric. 2000, 40, 903–911. [Google Scholar] [CrossRef]
- Wales, W.J.; Dellow, D.W.; Doyle, P.T.; Egan, A.R. Effects of feeding additional pasture hay in autumn to dairy cows grazing irrigated perennial ryegrass-white clover pasture and supplemented with barley grain. Aust. J. Exp. Agric. 2000, 40, 1–9. [Google Scholar] [CrossRef]
- Dalley, D.; Roche, J.; Grainger, C. Effect of grain or buffer supplementation on milk solids yield and rumen fermentation patterns of cows grazing highly digestible herbage in spring. Proc. N. Z. Soc. Anim. Prod. 2001, 61, 224–228. [Google Scholar]
- Wales, W.J.; Williams, Y.J.; Doyle, P.T. Effect of grain supplementation and the provision of chemical or physical fibre on marginal milk production responses of cows grazing perennial ryegrass pastures. Aust. J. Exp. Agric. 2001, 41, 465–471. [Google Scholar] [CrossRef]
- Walker, G.P.; Stockdale, C.R.; Wales, W.J.; Doyle, P.T.; Dellow, D.W. Effect of level of grain supplementation on milk production responses of dairy cows in mid and late lactation when grazing irrigated pastures high in paspalum (Paspalum dilatatum Poir.). Aust. J. Exp. Agric. 2001, 41, 1–11. [Google Scholar] [CrossRef]
- Wales, W.J.; Doyle, P.T. Effect of grain and straw supplementation on marginal milk production responses and rumen function of cows grazing highly digestible subterranean clover pasture. Aust. J. Exp. Agric. 2003, 43, 467–474. [Google Scholar] [CrossRef]
- Wijesundera, C.; Shen, Z.; Wales, W.J.; Dalley, D.E. Effect of cereal grain and fibre supplements on the fatty acid composition of milk fat of grazing dairy cows in early lactation. J. Dairy Res. 2003, 70, 257–265. [Google Scholar] [CrossRef]
- Cohen, D.C.; Stockdale, C.R.; Doyle, P.T. Feeding an energy supplement with white clover silage improves rumen fermentation, metabolizable protein utilisation, and milk production in dairy cows. Aust. J. Agric. Res. 2006, 57, 367–375. [Google Scholar] [CrossRef]
- Leddin, C.M.; Stockdale, C.R.; Hill, J.; Heard, J.W.; Doyle, P.T. Increasing amounts of crushed wheat fed with Persian clover herbage reduced ruminal pH and dietary fibre digestibility in lactating dairy cows. Anim. Prod. Sci. 2010, 50, 837–846. [Google Scholar] [CrossRef]
- Sarkar, D. Lattice: Multivariate Data Visualization with R; Springer: Berlin/Heidelberg, Germany, 2008; ISBN 978-0-387-75968-5. [Google Scholar]
- VSN International. Genstat for Windows, 18th ed.; VSN International: Hemel Hempstead, UK, 2017. [Google Scholar]
- Ritter, A.; Muñoz-Carpena, R. Performance evaluation of hydrological models: Statistical significance for reducing subjectivity in goodness-of-fit assessments. J. Hydrol. 2013, 480, 33–45. [Google Scholar] [CrossRef]
- Nash, J.E.; Sutcliffe, I.V. River flow forecasting through conceptual models. Part 1–A Discussion of Principles. J. Hydrol. 1970, 10, 282–290. [Google Scholar]
- Lin, L.I. A concordance correlation coefficient to evaluate reproducibility. Biometrics 1989, 45, 255–268. [Google Scholar] [CrossRef] [PubMed]
- Lin, L.I. A note on the concordance correlation coefficient. Biometrics 2000, 56, 324–325. [Google Scholar]
- Dillon, J.L.; Hardaker, J.B. Farm Management Research for Small Farmer Development; Food and Agriculture Organisation of the United Nations: Rome, Italy, 1980. [Google Scholar]
- Heard, J.W.; Hannah, M.; Ho, C.K.M.; Wales, W.J.; Jacobs, J.L. An improved method of estimating pasture intake of grazing lactating dairy cows. In Proceedings of the 32nd Biennial Conference of the Australian Society of Animal Production, New South Wales, Australia, 2–4 July 2018; p. 2525. [Google Scholar]
- Dairy Australia 2020 Hay and Grain Reports. Available online: https://www.dairyaustralia.com.au/industry/farm-inputs-and-costs/hay-and-grain-report-overview (accessed on 11 August 2020).
- Stockdale, C.R. The nutritive characteristics of herbage consumed by grazing dairy cows affect milk yield responses obtained from concentrate supplementation. Aust. J. Exp. Agric. 1999, 39, 379–387. [Google Scholar] [CrossRef]
- McLachlan, B.; Ehrlich, W.; Cowan, R.; Davison, T.; Silver, B.; Orr, W. Effect of level of concentrate fed once or twice daily on the milk production of cows grazing tropical pasture. Aust. J. Exp. Agric. 1994, 34, 301–306. [Google Scholar] [CrossRef]
- Baudracco, J.; Lopez-Villalobos, N.; Holmes, C.W.; Macdonald, K.A. Effects of stocking rate, supplementation, genotype and their interactions on grazing dairy systems: A review. N. Z. J. Agric. Res. 2010, 53, 109–133. [Google Scholar] [CrossRef][Green Version]
- Tedeschi, L.O.; Fox, D.G.; Sinz, R.D.; Barioni, L.G.; Raposo de Medeiros, S.; Boin, C. Review: Mathematical models in ruminant nutrition. Sci. Agric. 2005, 62, 76–91. [Google Scholar] [CrossRef]
- Little, S.; King, R.; Lean, I.; Rabiee, A.; Breinhild, K. A Review of 11 Applied Dairy Nutrition Models Used in Australia; Dairy Australia: Melbourne, VIC, Australia, 2009. [Google Scholar]
- Looper, M.L. Factors Affecting Milk Composition of Lactating Cows; University of Kansas: Lawrence, KS, USA, 2020; Available online: https://www.uaex.edu/publications/pdf/FSA-4014.pdf (accessed on 25 September 2020).
- Wales, W.J.; Stockdale, C.R.; Doyle, P.T. Increasing energy intake improves milk protein concentration in cows in spring and summer. Aust. J. Dairy Technol. 2001, 56, 154. [Google Scholar]
- Sutton, J.D. Altering milk composition by feeding. J. Dairy Sci. 1989, 72, 2801–2814. [Google Scholar] [CrossRef]
- Lewis, C.D.; Smith, K.F.; Jacobs, J.L.; Ho, C.K.M.; Leddin, C.M.; Malcolm, B. Using a two-price market value method to value extra pasture DM in different seasons. Agric. Syst. 2020, 178, 102729. [Google Scholar] [CrossRef]




| Ref. No. | Description of Experiment | Treatments | Breed | LW | DIM | Season | Milk Yield (kg/cow·day) | Milk Fat (%) | Milk Protein (%) |
|---|---|---|---|---|---|---|---|---|---|
| [3] | Hay supplementation on a restricted intake of paspalum pasture. Two experiments with target pasture:hay intake ratios | PO, 75P:25H, 50P:50H, 75P:25H, 50P:25H, 50P | J × F | 405 | 240 | Autumn | 11.2 | ||
| PO, 75P:25H, 50P:50H, 75P:25H, 50P:25H, 50P | J × F | 396 | 270 | Autumn | 7.6 | ||||
| [4] | Level of concentrate feeding and pasture allowance on productivity of cows in late lactation | 2 × pasture allowance, 4 × concentrate supplement intake | J + F | 427 | 240 | Autumn | 10.3 | 5 | 3.5 |
| [5] | Stall-fed cows fed a basal ration of pasture supplemented with varying amounts of pelleted concentrate supplement | PO, P + 1.8C, P + 2.7C, P + 5.4C, P + 9.6C | n/d | 459 | 29 | Spring | 25.3 | 4.1 | 3.3 |
| PO, P + 1.8C, P + 3.6C, P + 6.1C | n/d | 475 | 205 | Spring | 13.8 | 4.9 | 3.6 | ||
| PO, P + 3.6C, P + 8.7C | n/d | 450 | 81 | Spring | 19.1 | 3.8 | 3.3 | ||
| PO, P + 2.2C, P + 4.4C | n/d | 431 | 224 | Spring | 11.1 | 5.2 | 4 | ||
| PO, P + 2.2C, P + 4.5C | n/d | 422 | 58 | Spring | 19.2 | 4.7 | 3.5 | ||
| [6] | Pasture substitution rates with variable pasture allowances | LA PO, LA + C, MA PO, MA + C, HA PO, HA + C | F, F × J | 454 | 21 | Spring | 19 | 4.3 | 3.2 |
| [7] | Level of pasture feeding on milk responses to high energy supplements | LA + 0, LA + 2.2C, LA + 4.5C, MA + 0, MA + 2.2C, MA + 4.5C, HA + 0, HA + 2.2C, HA + 4.5C | F × J | 434 | 210 | Spring | 11.6 | ||
| LA + 0, LA + 2.2C, LA + 4.5C, MA + 0, MA + 2.2C, MA + 4.5C, HA + 0, HA + 2.2C, HA + 4.5C | F × J | 426 | 60 | Spring | 19.7 | ||||
| [8] | Influence of high energy supplements on the productivity of pasture-fed cows | PO, P + 3.3C, P + 3.8C + FA | J × F | 505 | 35 | Winter | 22.8 | 4.4 | 2.9 |
| [9] | Grazing cows supplemented with 3 or 8 kg DM/cow·day maize silage | HA P, HA P + 3 kg MS, HA P + 3 kg MS + prot, LA P + 8 kg MS, LA P + 8 kg MS + prot | F | 424 | 38 | Spring | 20.8 | ||
| [10] | Milk responses of cows to Persian clover and maize silage | Clover, Clover + 4 kg MS, Clover + 8 kg MS | n/d | 500 | Spring | 19 | |||
| [11] | Productivity of cows grazing white clover supplemented with maize silage | PO, P + 4–5 kg MS | F | ~500 | variable | variable | 14.8–29.1 | 3.9–5.0 | 2.8–3.5 |
| [12] | Productivity of cows grazing white clover supplemented with maize silage | LA, LA + 4.4 MS, HA, HA + 4.4 MS | F | 498 | 213 | Autumn | 14.9 | 4.3 | 3.1 |
| [13] | Milk production responses when cows grazing either paspalum or white clover pastures are fed supplements | Pas, Pas + MS, Pas + MS + B, Pas + MS + CSM; Clo, Clo + MS, Clo + MS + B, Clo + MS + CSM | F | 507 | 234 | Autumn | 15.4 | 4.2 | 3.2 |
| [14] | Influence of energy and protein supplements on the productivity of cows grazing white clover swards | PO, P + 5 MS, P + 3 MS + 2 B, P + 3 MS + 2 CSM, P + 3 MS + 1 B + 1 CSM | F | 500 | 110 | Spring | 28.2 | 4.5 | 3.1 |
| PO, P + 5 MS, P + 3 MS + 2 B, P + 3 MS + 2 CSM, P + 3 MS + 1 B + 1 CSM | F | 519 | 154 | Summer | 24.2 | 4.2 | 3.1 | ||
| [15] | Responses to grain feeding by grazing dairy cows | LA, LA + 5C, HA, HA + 5C | F, F × J | 510 | 180 | Autumn | 17.6 | 4.2 | 3.2 |
| PO, P + 2C, P + 4C, P + 8C | F, F × J | 534 | 180 | Autumn | 21.4 | 4.3 | 3.1 | ||
| [16] | Length of the period of supplementation with concentrates on pasture intake and milk production of grazing cows | PO, P + 5C | n/d | 552 | 142 | Spring | 26.4 | 4.1 | 3 |
| PO, P + 5C | n/d | 560 | 194 | Summer | |||||
| PO, P + 5C | n/d | 581 | 243 | Autumn | |||||
| [17] | Effect of cereal grain, lupins-cereal grain or hay supplements on the intake and performance of grazing cows | PO, P + 5C, P + 5 C/L, P + 5 H | F | 548 | 105 | Spring | 30 | 4.1 | 3.2 |
| PO, P + 5C, P + 5 C/L, P + 5 H | F | 550 | 114 | Summer | 25.6 | 3.8 | 2.8 | ||
| PO, P + 5C, P + 5 C/L, P + 5 H | F | 545 | 222 | Autumn | 16.9 | 4.6 | 3.5 | ||
| [18] | Effects of variation in herbage mass, allowance and level of supplement on milk production | LM LA, LM LA + C, LM HA, LM HA + C, HM LA, HM LA + C, HM HA, HM HA + C | HF | 582 | 126 | Summer | 25.2 | 3.5 | 2.9 |
| [19] | Low and high body condition score or larger and smaller body size and low and high pasture allowance with or without supplements | LBC LA PO, LBC LA + C, LBC HA PO, LBC HA + C | F | 476 | 22 | Spring | 25.8 | 3.8 | 3.0 |
| HBC LA PO, HBC LA + C, HBC HA PO, HBC HA + C | F | 551 | 19 | Spring | 24.9 | 3.9 | 3.0 | ||
| LBS LA PO, LBS LA + C, LBS HA PO, LBS HA + C | F | 486 | 40 | Summer | 28.4 | 4.0 | 3.0 | ||
| HBS LA PO, HBS LA + C, HBS HA PO, HBS HA + C | F | 618 | 51 | Summer | 31.8 | 3.8 | 2.9 | ||
| [20] | Effects of feeding additional pasture hay in autumn to grazing cows supplemented with barley grain | PO, P + 6C, P + 6C + 0.5H, P + 6C + 1.2H, P + 6C + 2H, P + 6C + 3H | F | 578 | 172 | Autumn | 19.7 | 4.1 | 3.1 |
| [21] | Effect of grain supplementation on milk production | PO, P + 6C | HF | 521 | 29 | Spring | 27 | 3.8 | 3.5 |
| [22] | Effect of grain supplementation and chemical or physical fibre on marginal milk responses of grazing cows | LA, HA, LA + 2.5 FP, LA + 2.5 FC, LA + G, LA + 7.5 G/HP, LA + 7.5 G/HC | F | 520 | 49 | Spring | 25.2 | 4.1 | 3 |
| [23] | Effect of grain supplementation on milk response in mid-lactation grazing dairy cows | PO, P + 3C, P + 5C, P + 7C, P + 9C, P + 11C | HF | 549 | 167 | Autumn | 22.3 | 3.9 | 3.3 |
| PO, P + 3C, P + 5C, P + 7C | HF | 544 | 166 | Autumn | 194 | 4.1 | 3 | ||
| [24] | Effect of grain and straw supplementation on marginal milk production responses | PO, P + 0.5S, P + 1.0S, P + 2.0S, P + 0S + 5, P + 0.5S + 5, P + 1.0S + 5, P + 2.0S + 5 | HF | 588 | 43 | Spring | 29.9 | 4 | 3.1 |
| [25] | Effect of grain and fibre supplements on milk production responses | PO, P + 5C, P + 1.8S, P + 5C + 1.8S | F | 535 | 31 | Spring | |||
| [26] | Effect of feeding an energy supplement with white clover silage | WCS, WCS + 4.5C | HF | 550 | 90 | Summer | 19.6 | 4 | 3 |
| [27] | Effect of increasing amounts of crushed wheat fed to cows consuming Persian clover | PO, P + 1.2C, P + 2.6C, P + 3.5C, P + 5.3C | HF | 550 | 32 | Spring | 33.3 | 4.1 | 3.2 |
| Economic Measure | X1 | X2 |
|---|---|---|
| Marginal Product: The change in output from using an additional unit of one input, holding the second input constant. | Marginal product of X1 a1 + 2a11X1 + a12X2 | Marginal Product of X2 a2 + 2a22X2 + a12X1 |
| Isoquant: describes all combinations of inputs which yield a specified quantity of output | X1 = {−(a1 + a12X2) + [(a1 + a12X2)2 − 4a11(a2X2 + a22X22 + a0 − Y)]1/2}/2a11 | X2 = {−(a2 + a12X1) + [(a2 + a12X1)2 − 4a22(a1X1 + a11X12 + a0 − Y)]1/2}/2a22 |
| Rate of technical substitution: the amount by which one input must be increased if the second input is decreased by one unit and the level of production is to be maintained. | −(a2 + 2a22X2 + a12X1)/(a1 + 2a11X1 + at2X2) | −(a1 + 2a11X1 + at2X2)/(a2 + 2a22X2 + a12X1) |
| Least cost isocline: the least cost combination of the two inputs for the production of any specified quantity of output. | At every point along the least cost isocline, the rate of technical substitution (RTS) of X1 for X2 is inversely equal to the negative ration of their prices (P1 = price of X1, P2 = price of X2): −RTS12 = P2/P1 = k The solution of this equation gives the least cost isocline for a two-variable quadratic as: X1 = [ka1 − a2 + (ka12 − 2a22)X2]/(a12 − 2 ka11) | At every point along the least cost isocline, the rate of technical substitution (RTS) of X2 for X1 is inversely equal to the negative ration of their prices (P2 = price of X2, P1 = price of X1): −RTS21 = P1/P2 = k The solution of this equation gives the least cost isocline for a two-variable quadratic as: X2 = [ka2 − a1 + (ka12 − 2a11)X1]/(a12 − 2 ka22) |
| Optimal input combination: The profit maximising combination of inputs, assuming there are no constraints on the quantity of output produced. | X1 = (p1/py − a1 − a12X2)/2a11 | X2 = (p2/py − a2 − a12X1)/2a22 |
| Season | Spring | Summer | Autumn | Winter |
|---|---|---|---|---|
| Dominant pasture species | Perennial Ryegrass | Perennial Ryegrass | Perennial Ryegrass | Perennial Ryegrass |
| Pasture mass (kg DM/ha) | 3183 | 3891 | 3905 | 2668 |
| Area (ha) | 1.5 | 1.5 | 1.5 | 1.5 |
| Number of cows | 200 | 200 | 200 | 200 |
| Pasture height (cm) | 7 | 7 | 8 | 4 |
| Current milk production (kg/cow·day) | 28 | 23 | 16 | 10 |
| Current milk fat (%) | 3.92 | 4.22 | 4.80 | 4.95 |
| Current milk protein (%) | 3.47 | 3.13 | 3.42 | 3.72 |
| Current milk protein plus fat production (kg/cow·day) | 2.07 | 1.69 | 1.32 | 0.87 |
| Number of weeks lactating | 8 | 19 | 28 | 42 |
| Average liveweight (kg) | 500 | 500 | 500 | 500 |
| Current dry matter intake concentrate (kg DM/cow·day) | 2 | 2 | 2 | 2 |
| Current dry matter intake forage supplement (kg DM/cow·day) | 0 | 0 | 0 | 0 |
| Estimated pasture dry matter intake (kg DM/cow·day) * | 10.6 | 11.4 | 11.6 | 8.9 |
| DM content concentrate supplement (%) | 90 | 90 | 90 | 90 |
| DM content forage supplement (%) | 85 | 85 | 85 | 85 |
| Metabolisable energy of pasture consumed (MJ/kg DM) | 11.94 | 9.93 | 10.07 | 11.12 |
| Concentrate feed price ($/tonne delivered) | 324 | 300 | 294 | 314 |
| Forage feed price ($/tonne delivered) | 251 | 204 | 182 | 217 |
| Milk protein price ($/kg milk protein) | 7.99 | 9.14 | 9.93 | 9.67 |
| Milk fat price ($/kg milk fat) | 4.65 | 5.02 | 4.95 | 4.74 |
| Average | Minimum | Maximum | Standard Deviation | |
|---|---|---|---|---|
| Liveweight (kg) | 508 | 396 | 618 | 56.5 |
| Standard Reference Weight (kg) | 520 | 403 | 635 | 62.0 |
| Days in Milk (d) | 134 | 18 | 270 | 79.1 |
| Pre-experimental milk production (kg) | 21.0 | 7.6 | 34.8 | 6.38 |
| Pre-experimental energy-corrected milk (kg/cow·day) | 21.5 | 11.7 | 35.7 | 5.37 |
| Milk fat (g/100 g) | 4.19 | 3.51 | 5.20 | 0.360 |
| Milk protein (g/100 g) | 3.17 | 2.76 | 4.00 | 0.219 |
| Body condition score at start of experiment (scale 1–8) | 4.17 | 3.25 | 5.00 | 0.384 |
| Pasture allowance (kg DM/cow·day) | 28.1 | 0 | 52.6 | 11.14 |
| Dry matter intake—pasture (kg/cow·day) | 11.4 | 0 | 20.9 | 3.33 |
| In vitro dry matter digestibility pasture consumed (% DM) | 72.7 | 58.7 | 85.4 | 7.51 |
| Crude protein pasture consumed (% DM) | 19.2 | 7.9 | 34.2 | 5.07 |
| Neutral detergent fibre pasture consumed (% DM) | 45.9 | 29.5 | 64.8 | 11.58 |
| Dry matter intake—concentrate supplement (kg/cow·day) | 2.2 | 0 | 10.4 | 2.47 |
| Metabolisable energy concentrate consumed (MJ/kg DM) | 12.4 | 9.9 | 14.0 | 0.78 |
| Crude protein concentrate consumed (% DM) | 15.6 | 9.4 | 63.5 | 7.80 |
| Neutral detergent fibre concentrate consumed (% DM) | 18.5 | 11.3 | 34.0 | 4.46 |
| Dry matter intake—forage supplement (kg/cow·day) | 2.6 | 0 | 17.7 | 3.12 |
| Metabolisable energy forage consumed (MJ/kg DM) | 9.4 | 4.6 | 11.0 | 1.22 |
| Crude protein forage consumed (% DM) | 9.3 | 5.6 | 19.3 | 3.86 |
| Neutral detergent fibre forage consumed (% DM) | 52.3 | 33.6 | 70.4 | 9.53 |
| Term/Covariate | Milk Protein Plus Fat Yield | ||
|---|---|---|---|
| Coefficient | s.e. | ||
| Constant | 1.465 | 0.0352 | |
| Pre-experimental covariate † | 0.178 | 0.0790 | |
| Weeks lactating | −0.006 | 0.0024 | |
| DMI * pasture + forage | 0.100 | 0.0189 | |
| DMI * pasture + forage squared | −0.002 | 0.0007 | |
| DMI * concentrate | 0.107 | 0.0168 | |
| DMI * concentrates squared | −0.005 | 0.0011 | |
| DMI * pasture + forage×DMI * concentrate | −0.002 | 0.0011 | |
| Season—Winter/Spring | 0.000 | ||
| Season—Summer | −0.174 | ||
| Season—Autumn | −0.312 | ||
| DMI * concentrate × Season—Spring | 0.000 | ||
| DMI * concentrate × Season—Summer | 0.020 | ||
| DMI * concentrate × Season—Autumn | 0.030 | ||
| Liveweight group (<500 kg) | ʎ | 0.000 | |
| Liveweight group (>500 kg) | ʎ | 0.116 | |
| Pasture dry matter digestibility (%, consumed) | 0.014 | 0.0022 | |
| Covariate | Milk Protein + Fat | |
|---|---|---|
| Pre-experimental covariate † | 1.63 | |
| Weeks lactating | 18.18 | |
| DMI * pasture + forage | 12.82 | |
| DMI * pasture + forage squared | 172.90 | |
| DMI * concentrates | 2.26 | |
| DMI * concentrates squared | 11.49 | |
| DMI * pasture + forage × DMI concentrates | 26.13 | |
| Pasture dry matter digestibility (%, consumed) | 72.63 |
| Model | n | r | Lin’s | RMSE | NSE |
|---|---|---|---|---|---|
| Milk protein plus fat yield (kg/cow·day) | 241 | 0.928 | 0.927 | 0.161 | 0.852 |
| Season | Concentrates (kg DM/cow·day) | Pasture + Forage (kg DM/cow·day) | Predicted Milk Protein Plus Fat Yield (kg/cow·day) | Feed Costs ($/cow·day) | Milk Income ($/cow·day) | Predicted Profit ($/cow·day) |
|---|---|---|---|---|---|---|
| Spring | 2.6 (±3.11) | 12.1 (±4.63) | 2.2 | 4.49 | 13.42 | 8.93 |
| Summer | 5.2 (±2.84) | 14.2 (±4.37) | 2.0 | 5.12 | 13.91 | 8.79 |
| Autumn | 6.2 (±2.75) | 15.0 (±4.34) | 1.8 | 5.23 | 12.60 | 7.37 |
| Winter | 6.1 (±2.88) | 13.3 (±4.50) | 1.4 | 5.51 | 9.69 | 4.18 |
Publisher’s Note: MDPI stays neutral with regard to jurisdictional claims in published maps and institutional affiliations. |
© 2021 by the authors. Licensee MDPI, Basel, Switzerland. This article is an open access article distributed under the terms and conditions of the Creative Commons Attribution (CC BY) license (https://creativecommons.org/licenses/by/4.0/).
Share and Cite
Heard, J.W.; Hannah, M.C.; Ho, C.K.M.; Wales, W.J. Predicting Immediate Marginal Milk Responses and Evaluating the Economics of Two-Variable Input Tactical Feeding Decisions in Grazing Dairy Cows. Animals 2021, 11, 1920. https://doi.org/10.3390/ani11071920
Heard JW, Hannah MC, Ho CKM, Wales WJ. Predicting Immediate Marginal Milk Responses and Evaluating the Economics of Two-Variable Input Tactical Feeding Decisions in Grazing Dairy Cows. Animals. 2021; 11(7):1920. https://doi.org/10.3390/ani11071920
Chicago/Turabian StyleHeard, Joanna W., Murray C. Hannah, Christie K. M. Ho, and William J. Wales. 2021. "Predicting Immediate Marginal Milk Responses and Evaluating the Economics of Two-Variable Input Tactical Feeding Decisions in Grazing Dairy Cows" Animals 11, no. 7: 1920. https://doi.org/10.3390/ani11071920
APA StyleHeard, J. W., Hannah, M. C., Ho, C. K. M., & Wales, W. J. (2021). Predicting Immediate Marginal Milk Responses and Evaluating the Economics of Two-Variable Input Tactical Feeding Decisions in Grazing Dairy Cows. Animals, 11(7), 1920. https://doi.org/10.3390/ani11071920

