Application of YOLOv4 for Detection and Motion Monitoring of Red Foxes
Abstract
Simple Summary
Abstract
1. Introduction
2. Materials and Methods
2.1. Experimental Setup
2.2. Manual Evaluation and Motion Detector Data
2.3. Image and Video Data
2.4. Environment Configuration
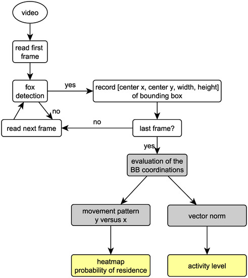
2.5. Automatic Evaluation of Video Data: Fox Detection
- Download and extract YOLOv4 from GitHub [30];
- Copy the content of cfg/yolov4-custom.cfg to the new created file yolo-obj.cfg and change the following lines:
- line 3: batch=64
- line 4: subdivisions=1
- line 8: width=416
- line 9: height=416
- line 20: max_batches=2000 ()
- line 22: steps=1600,1800 (80 and 90% of maxbatches)
- lines 603, 689, 776: filters=18 ()
- lines 610, 696, 783: classes=1
- Create a file obj.names with the name of each object in separate lines, here the file has only one line:fox
- Label each image of the image set, such that for each image there exists a .txt file with the following values for every labeled object:<object-class> <BB x_center> <BB y_center> <BB width> <BB hight>with <object-class> an integer between 0 and number of classes − 1, and <BB x_center>, <BB y_center>, <BB width>, and <BB hight> are float values between , relative to the image height and width. Thus, the directory with the images contains a .txt file for each image with the same name.Create the files train.txt and test.txt. Split the image set into a training and test set and save the file names of the images, with respect to the full path relative to the directory darknet, in the respective file (one file name per line).
- Create a file obj.data containing the number of classes and paths to train.txt, obj.names, and the backup folder:classes = 1train = data/train.txtnames = data/obj.namesbackup = backup/
- For starting the training run the code:./darknet detector train obj.data yolo-obj.cfg yolov4.conv.137The training can take several hours. During training the trained weights are saved in the backup/ directory, yolo-obj_xxxx.weights every 1000 iterations and yolo-obj_last.weights every 100 iterations. After training the final weight, yolo-obj_final.weights is also stored there.
- Evaluate the results for trained weights:./darknet detector map obj.data yolo-obj.cfg backup/yolo-obj_final.weights
- Using the trained detector:./darknet detector test obj.data yolo-obj.cfg backup/yolo-obj_final.weights
2.6. Automatic Evaluation: Converting Bounding Box Values to Movement Patterns
- center y versus center x plot over a time period;
- vector norm over time.
- high active: bounding box moves; change of location of the fox, e.g., walking, running
- active: bounding box moves little; no change of location of the fox, such as rotation inside the bounding box or minimal movements, e.g., scratching on the ground, stretching
- inactive: bounding box not moving; no movement of the fox, e.g., lying, sitting, or standing still
2.7. Automatic Evaluation of Video Data
- frame extraction (5 frames per second);
- fox detection on each frame;
- convert detection data into movement data.
3. Results
3.1. Model Training and Evaluation
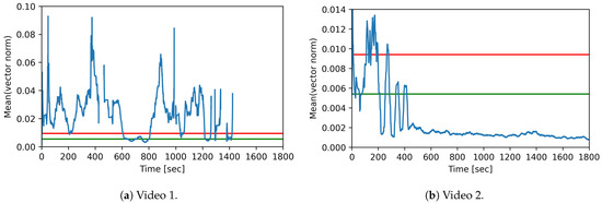
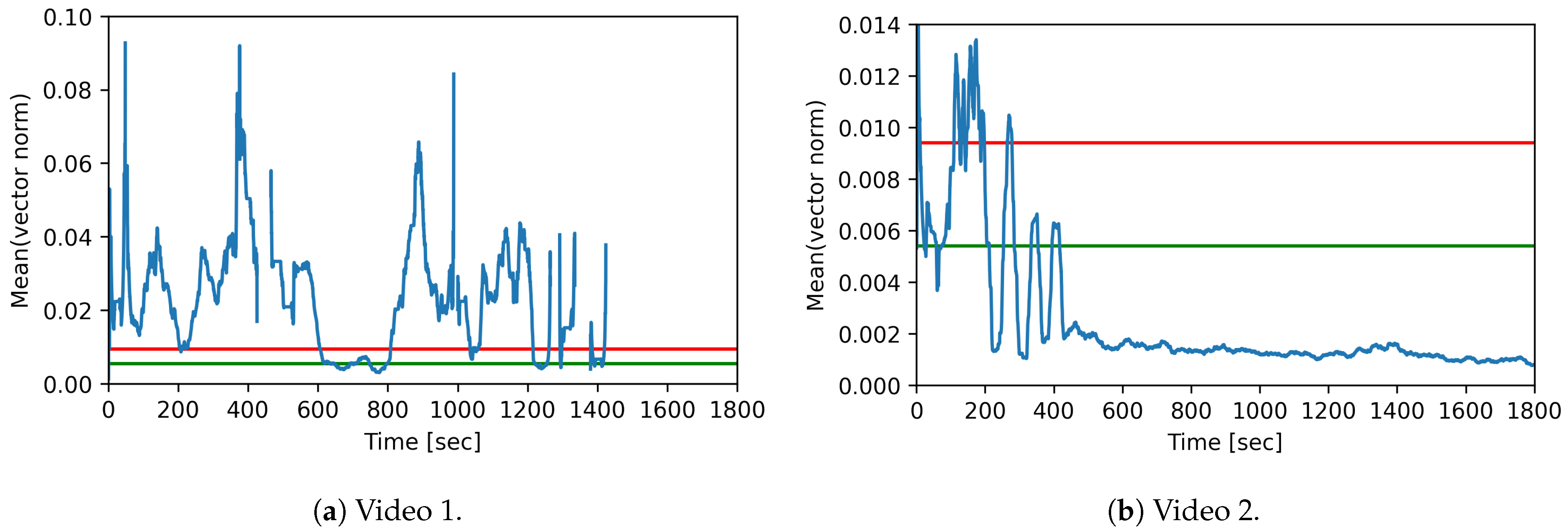
3.2. Motion Monitoring
3.2.1. Residence Patterns
3.2.2. Activity Detection
3.3. Comparison of Different Activity Evaluation Methods
4. Discussion
5. Conclusions
Outlook and Future Research Possibilities
Author Contributions
Funding
Institutional Review Board Statement
Informed Consent Statement
Data Availability Statement
Acknowledgments
Conflicts of Interest
Abbreviations
| AP | average precision |
| BB | bounding box |
| CNN | convolutional neural networks |
| FLI | Friedrich-Loeffler-Institut |
| FP | false positive |
| IoU | intersection over union |
| IT | information technology |
| mAP | mean average precision |
| nan | not a number |
| TP | true positive |
| YOLO | you only look once |
References
- Buller, H.; Blokhuis, H.; Lokhorst, K.; Silberberg, M.; Veissier, I. Animal Welfare Management in a Digital World. Animals 2020, 10, 1779. [Google Scholar] [CrossRef] [PubMed]
- Dutta, R.; Smith, D.; Rawnsley, R.; Bishop-Hurley, G.; Hills, J.; Timms, G.; Henry, D. Dynamic cattle behavioural classification using supervised ensemble classifiers. Comput. Electron. Agric. 2015, 111, 18–28. [Google Scholar] [CrossRef]
- Müller, R.; Schrader, L. A new method to measure behavioural activity levels in dairy cows. Appl. Anim. Behav. Sci. 2003, 83, 247–258. [Google Scholar] [CrossRef]
- White, B.J.; Coetzee, J.F.; Renter, D.G.; Babcock, A.H.; Thomson, D.U.; Andresen, D. Evaluation of two-dimensional accelerometers to monitor behavior of beef calves after castration. Am. J. Vet. Res. 2008, 69, 1005–1012. [Google Scholar] [CrossRef]
- Dawkins, M.S. Behaviour as a tool in the assessment of animal welfare. Zoology 2003, 106, 383–387. [Google Scholar] [CrossRef] [PubMed]
- Hosey, G. Hediger revisited: How do zoo animals see us? J. Appl. Anim. Welf. Sci. JAAWS 2013, 16, 338–359. [Google Scholar] [CrossRef]
- Hemsworth, P.H.; Barnett, J.L.; Coleman, G.J. The Human-Animal Relationship in Agriculture and its Consequences for the Animal. Anim. Welf. 1993, 2, 33–51. [Google Scholar]
- Sorge, R.E.; Martin, L.J.; Isbester, K.A.; Sotocinal, S.G.; Rosen, S.; Tuttle, A.H.; Wieskopf, J.S.; Acland, E.L.; Dokova, A.; Kadoura, B.; et al. Olfactory exposure to males, including men, causes stress and related analgesia in rodents. Nat. Methods 2014, 11, 629–632. [Google Scholar] [CrossRef] [PubMed]
- Oh, J.; Fitch, W.T. CATOS (Computer Aided Training/Observing System): Automating animal observation and training. Behav. Res. Methods 2017, 49, 13–23. [Google Scholar] [CrossRef] [PubMed]
- Iserbyt, A.; Griffioen, M.; Borremans, B.; Eens, M.; Müller, W. How to quantify animal activity from radio-frequency identification (RFID) recordings. Ecol. Evol. 2018, 8, 10166–10174. [Google Scholar] [CrossRef] [PubMed]
- Will, M.K.; Büttner, K.; Kaufholz, T.; Müller-Graf, C.; Selhorst, T.; Krieter, J. Accuracy of a real-time location system in static positions under practical conditions: Prospects to track group-housed sows. Comput. Electron. Agric. 2017, 142, 473–484. [Google Scholar] [CrossRef]
- Kauselmann, K.; Krause, E.T.; Glitz, B.; Gallmann, E.; Schrade, H.; Schrader, L. Effect of plant-based enrichment materials on exploration in rearing and fattening pigs (Sus scrofa domesticus). Appl. Anim. Behav. Sci. 2021, 236, 105261. [Google Scholar] [CrossRef]
- Naguib, M.; Krause, E.T. Methoden der Verhaltensbiologie, 2nd ed.; Springer: Berlin/Heidelberg, Germany, 2020. [Google Scholar]
- Robert, B.; White, B.J.; Renter, D.G.; Larson, R.L. Evaluation of three-dimensional accelerometers to monitor and classify behavior patterns in cattle. Comput. Electron. Agric. 2009, 67, 80–84. [Google Scholar] [CrossRef]
- Nasirahmadi, A.; Edwards, S.A.; Sturm, B. Implementation of machine vision for detecting behaviour of cattle and pigs. Livest. Sci. 2017, 202, 25–38. [Google Scholar] [CrossRef]
- Kaihilahti, J.; Suokannas, A.; Raussi, S. Observation of Cow Behaviour in an Automatic Milking System using Web-based Video Recording Technology. Biosyst. Eng. 2007, 96, 91–97. [Google Scholar] [CrossRef]
- Viola, P.; Jones, M.J. Robust Real-Time Face Detection. Int. J. Comput. Vis. 2004, 57, 137–154. [Google Scholar] [CrossRef]
- Carl, C.; Schönfeld, F.; Profft, I.; Klamm, A.; Landgraf, D. Automated detection of European wild mammal species in camera trap images with an existing and pre-trained computer vision model. Eur. J. Wildl. Res. 2020, 66, 1–7. [Google Scholar] [CrossRef]
- Ratnayake, M.N.; Dyer, A.G.; Dorin, A. Tracking individual honeybees among wildflower clusters with computer vision-facilitated pollinator monitoring. PLoS ONE 2021, 16, e0239504. [Google Scholar] [CrossRef] [PubMed]
- Fernández-Carrión, E.; Barasona, J.Á.; Sánchez, Á.; Jurado, C.; Cadenas-Fernández, E.; Sánchez-Vizcaíno, J.M. Computer Vision Applied to Detect Lethargy through Animal Motion Monitoring: A Trial on African Swine Fever in Wild Boar. Animals 2020, 10, 2241. [Google Scholar] [CrossRef] [PubMed]
- Freuling, C.M.; Kamp, V.T.; Klein, A.; Günther, M.; Zaeck, L.; Potratz, M.; Eggerbauer, E.; Bobe, K.; Kaiser, C.; Kretzschmar, A.; et al. Long-Term Immunogenicity and Efficacy of the Oral Rabies Virus Vaccine Strain SPBN GASGAS in Foxes. Viruses 2019, 11, 790. [Google Scholar] [CrossRef] [PubMed]
- Redmon, J.; Divvala, S.; Girshick, R.; Farhadi, A. You Only Look Once: Unified, Real-Time Object Detection; Cornell University: Ithaca, NY, USA, 2016; Available online: https://arxiv.org/abs/1506.02640 (accessed on 20 April 2021).
- Redmon, J.; Farhadi, A. YOLOv3: An Incremental Improvement; Cornell University: Ithaca, NY, USA, 2018; Available online: https://arxiv.org/abs/1804.02767 (accessed on 20 April 2021).
- Bochkovskiy, A.; Wang, C.Y.; Liao, H.Y.M. YOLOv4: Optimal Speed and Accuracy of Object Detection; Cornell University: Ithaca, NY, USA, 2020; Available online: https://arxiv.org/abs/2004.10934 (accessed on 22 April 2021).
- Kukekova, A.V.; Trut, L.N.; Oskina, I.N.; Johnson, J.L.; Temnykh, S.V.; Kharlamova, A.V.; Shepeleva, D.V.; Gulievich, R.G.; Shikhevich, S.G.; Graphodatsky, A.S.; et al. A meiotic linkage map of the silver fox, aligned and compared to the canine genome. Genome Res. 2007, 17, 387–399. [Google Scholar] [CrossRef] [PubMed]
- Voipio, H.M.; Baneux, P.; Gomez de Segura, I.A.; Hau, J.; Wolfensohn, S. Guidelines for the veterinary care of laboratory animals: Report of the FELASA/ECLAM/ESLAV Joint Working Group on Veterinary Care. Lab. Anim. 2008, 42, 1–11. [Google Scholar] [CrossRef] [PubMed]
- Tzutalin. LabelImg: Git Code (2015). 9 November 2020. Available online: https://github.com/tzutalin/labelImg (accessed on 20 April 2021).
- Kluyver, T.; Ragan-Kelley, B.; Pérez, F.; Granger, B.; Bussonnier, M.; Frederic, J.; Kelley, K.; Hamrick, J.; Grout, J.; Corlay, S.; et al. Jupyter Notebooks—A publishing format for reproducible computational workflows. Stand Alone 2016, 87–90. [Google Scholar] [CrossRef]
- van Rossum, G.; Drake, F.L. The Python Language Reference; Drake, F.L., Ed.; Release 3.0.1 [repr.] ed., Vol./Guido van Rossum; Documentation for Python, Python Software Foundation and SoHo Books: Hampton, NH, USA; Redwood City, CA, USA, 2010. [Google Scholar]
- GitHub. AlexeyAB/Darknet. 26 August 2020. Available online: https://github.com/AlexeyAB/darknet (accessed on 23 April 2021).
- Everingham, M.; van Gool, L.; Williams, C.K.I.; Winn, J.; Zisserman, A. The Pascal Visual Object Classes (VOC) Challenge. Int. J. Comput. Vis. 2010, 88, 303–338. [Google Scholar] [CrossRef]
- Fernández-Carrión, E.; Martínez-Avilés, M.; Ivorra, B.; Martínez-López, B.; Ramos, Á.M.; Sánchez-Vizcaíno, J.M. Motion-based video monitoring for early detection of livestock diseases: The case of African swine fever. PLoS ONE 2017, 12, e0183793. [Google Scholar] [CrossRef] [PubMed]












| Parameter | Value |
|---|---|
| input size | |
| classes | 1 |
| maxbatches | 2000 |
| filters | 18 |
| steps | 1600, 1800 |
| learning rate | |
| batch size | 64 |
| Recall | Precision | Average IoU | mAP | Detection Speed | |
|---|---|---|---|---|---|
| [%] | [%] | [%] | [%] | [ms] | |
| test results | 100 | 100 |
| High Active | Active | Inactive | Out | |
|---|---|---|---|---|
| video 1 | 985 | 205 | 102 | 509 |
| video 2 | 100 | 191 | 1509 | 0 |
| Method | + | − |
|---|---|---|
| computer |
|
|
| motion detector |
|
|
| manual |
|
|
Publisher’s Note: MDPI stays neutral with regard to jurisdictional claims in published maps and institutional affiliations. |
© 2021 by the authors. Licensee MDPI, Basel, Switzerland. This article is an open access article distributed under the terms and conditions of the Creative Commons Attribution (CC BY) license (https://creativecommons.org/licenses/by/4.0/).
Share and Cite
Schütz, A.K.; Schöler , V.; Krause , E.T.; Fischer , M.; Müller , T.; Freuling, C.M.; Conraths , F.J.; Stanke, M.; Homeier-Bachmann, T.; Lentz, H.H.K. Application of YOLOv4 for Detection and Motion Monitoring of Red Foxes. Animals 2021, 11, 1723. https://doi.org/10.3390/ani11061723
Schütz AK, Schöler V, Krause ET, Fischer M, Müller T, Freuling CM, Conraths FJ, Stanke M, Homeier-Bachmann T, Lentz HHK. Application of YOLOv4 for Detection and Motion Monitoring of Red Foxes. Animals. 2021; 11(6):1723. https://doi.org/10.3390/ani11061723
Chicago/Turabian StyleSchütz, Anne K., Verena Schöler , E. Tobias Krause , Mareike Fischer , Thomas Müller , Conrad M. Freuling, Franz J. Conraths , Mario Stanke, Timo Homeier-Bachmann, and Hartmut H. K. Lentz. 2021. "Application of YOLOv4 for Detection and Motion Monitoring of Red Foxes" Animals 11, no. 6: 1723. https://doi.org/10.3390/ani11061723
APA StyleSchütz, A. K., Schöler , V., Krause , E. T., Fischer , M., Müller , T., Freuling, C. M., Conraths , F. J., Stanke, M., Homeier-Bachmann, T., & Lentz, H. H. K. (2021). Application of YOLOv4 for Detection and Motion Monitoring of Red Foxes. Animals, 11(6), 1723. https://doi.org/10.3390/ani11061723

