Dietary Puerarin Supplementation Alleviates Oxidative Stress in the Small Intestines of Diquat-Challenged Piglets
Simple Summary
Abstract
1. Introduction
2. Materials and Methods
2.1. Animals and Experimental Design
2.2. Intestinal Morphology
2.3. Intestinal Mucosal Protein, DNA and RNA
2.4. Immunohistochemical Analysis
2.5. Real-Time Quantitative Reverse Transcriptase PCR
2.6. Antioxidative Capacity of Intestinal Mucosa
2.7. Western Blot Analysis
2.8. Statistical Analysis
3. Results
3.1. Growth Performance
3.2. Jejunal and Ileal Morphology
3.3. Protein, DNA and RNA Contents in the Jejunal and Ileal Mucosa
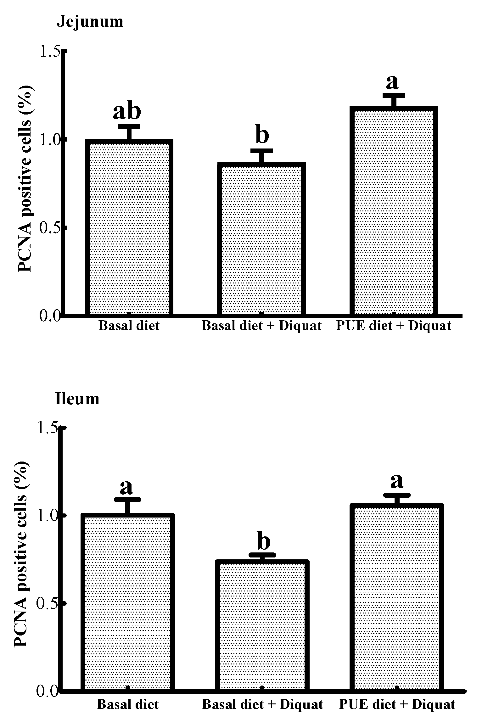
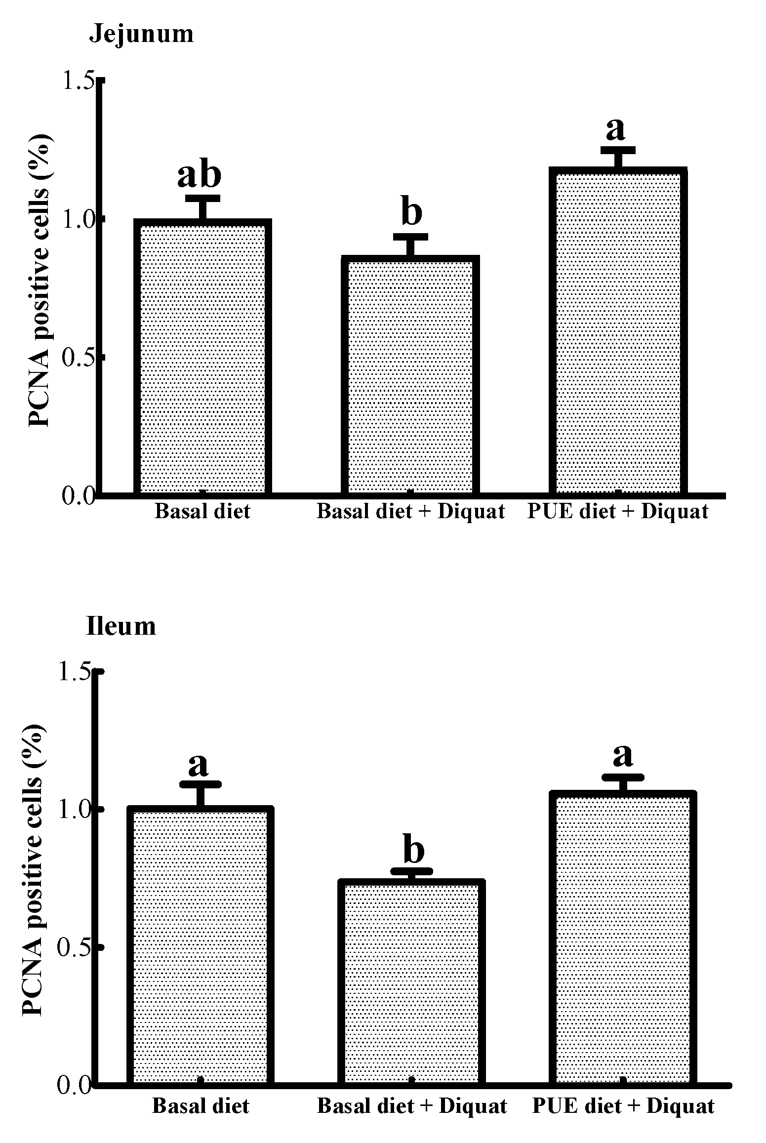
3.4. PCNA Positive Cells in the Jejunum and Ileum
3.5. The Relative mRNA Levels of Intercellular Junction Proteins in the Jejunum and Ileum
3.6. Antioxidant Parameters in the Jejunum and Ileum
3.7. Protein Expressions of Nrf2, HO-1, NQO-1, GCLc and GCLm in the Jejunum
4. Discussion
5. Conclusions
Author Contributions
Funding
Acknowledgments
Conflicts of Interest
Statement of Ethics
Availability of Data and Materials
References
- Yin, J.; Wu, M.M.; Xiao, H.; Ren, W.K.; Duan, J.L.; Yang, G.; Li, T.J.; Yin, Y.L. Development of an antioxidant system after early weaning in piglets. J. Anim. Sci. 2014, 92, 612–619. [Google Scholar] [CrossRef] [PubMed]
- Lightfoot, M.; Skibola, C.; Smith, C. Polymorphisms in the oxidative stress genes, superoxide dismutase, glutathione peroxidase and catalase and risk of non-Hodgkin’s lymphoma. Haematologica 2006, 91, 1819–1828. [Google Scholar]
- Dryden, G.W.; Deaciuc, I.; Arteel, G. Clinical Implications of oxidative stress and antioxidant therapy. Curr. Gastroenterol. Rep. 2005, 7, 308–316. [Google Scholar] [CrossRef] [PubMed]
- Valko, M.; Rhodes, C.J.; Moncol, J.; Izakovic, M.; Mazur, M. Free radicals, metals and antioxidants in oxidative stress-induced cancer. Chem. Biol. Interact. 2006, 160, 1–40. [Google Scholar] [CrossRef] [PubMed]
- Sosa, V.; Moline, T.; Somoza, R.; Paciucci, R.; Kondoh, H.; ME, L.L. Oxidative stress and cancer: An overview. Ageing Res. Rev. 2013, 12, 376–390. [Google Scholar] [CrossRef]
- Bebrevska, L.; Foubert, K.; Hermans, N.; Chatterjee, S.; Van Marck, E.; De Meyer, G.; Vlietinck, A.; Pieters, L.; Apers, S. In vivo antioxidative activity of a quantified Pueraria lobata root extract. J. Ethnopharmacol. 2010, 127, 112–117. [Google Scholar] [CrossRef]
- Yuan, D.; Hussain, T.; Tan, B.; Liu, Y.; Ji, P.; Yin, Y. The evaluation of antioxidant and anti-inflammatory effects of Eucommia ulmoidesflavones using diquat-Cchallengedpiglet models. Oxid. Med. Cell Longev. 2017, 2017, e8140962. [Google Scholar] [CrossRef]
- Jiang, R.W.; Lau, K.M.; Lam, H.M.; Yam, W.S.; Leung, L.K.; Choi, K.L.; Waye, M.M.; Mak, T.C.; Woo, K.S.; Fung, K.P. A comparative study on aqueous root extracts of Pueraria thomsonii and Pueraria lobata by antioxidant assay and HPLC fingerprint analysis. J. Ethnopharmacol. 2005, 96, 133–138. [Google Scholar] [CrossRef]
- Cos, P.; De Bruyne, T.; Apers, S.; Vanden Berghe, D.; Pieters, L.; Vlietinck, A. Phytoestrogens: Recent developments. Planta Med. 2003, 69, 589–599. [Google Scholar]
- Ribeiro, D.; Freitas, M.; Lima, J.L.; Fernandes, E. Proinflammatory Pathways: The Modulation by Flavonoids. Med. Res. Rev. 2015, 35, 877–936. [Google Scholar] [CrossRef]
- Nagle, D.G.; Ferreira, D.; Zhou, Y.D. Epigallocatechin-3-gallate (EGCG): Chemical and biomedical perspectives. Phytochemistry 2006, 67, 1849–1855. [Google Scholar] [CrossRef] [PubMed]
- Kim, K.M.; Jung, D.H.; Jang, D.S.; Kim, Y.S.; Kim, J.M.; Kim, H.N.; Surh, Y.J.; Kim, J.S. Puerarin suppresses AGEs-induced inflammation in mouse mesangial cells: A possible pathway through the induction of heme oxygenase-1 expression. Toxicol. Appl. Pharmacol. 2010, 244, 106–113. [Google Scholar] [CrossRef] [PubMed]
- Jin, S.E.; Son, Y.K.; Min, B.S.; Jung, H.A.; Choi, J.S. Anti-inflammatory and antioxidant activities of constituents isolated from Pueraria lobata roots. Arch. Pharm. Res. 2012, 35, 823–837. [Google Scholar] [CrossRef] [PubMed]
- Li, Q.; Xiao, Y.; Gong, H.; Shen, D.; Zhu, F.; Wu, Q.; Chen, H.; Zhong, H. Effect of puerarin on the expression of extracellular matrix in rats with streptozotocin-induced diabetic nephropathy. Natl. Med. J. India 2009, 22, e9. [Google Scholar]
- Bai, S.; Huang, Z.G.; Chen, L.; Wang, J.T.; Ding, B.P. Effects of felodipine combined with puerarin on ACE2-Ang (1-7)-Mas axis in renovascular hypertensive rat. Regul. Pept. 2013, 184, 54–61. [Google Scholar] [CrossRef] [PubMed]
- Yin, J.; Liu, M.; Ren, W.; Duan, J.; Yang, G.; Zhao, Y.; Fang, R.; Chen, L.; Li, T.; Yin, Y. Effects of dietary supplementation with glutamate and aspartate on diquat-induced oxidative stress in piglets. PLoS ONE 2015, 10, e0122893. [Google Scholar] [CrossRef]
- Xiao, H.; Tan, B.E.; Wu, M.M.; Yin, Y.L.; Li, T.J.; Yuan, D.X.; Li, L. Effects of composite antimicrobial peptides in weanling piglets challenged with deoxynivalenol: II. Intestinal morphology and function. J. Anim. Sci. 2013, 91, 4750–4756. [Google Scholar] [CrossRef]
- Liu, Y.; Huang, J.; Hou, Y.; Zhu, H.; Zhao, S.; Ding, B.; Yin, Y.; Yi, G.; Shi, J.; Fan, W. Dietary arginine supplementation alleviates intestinal mucosal disruption induced by Escherichia coli lipopolysaccharide in weaned pigs. Br. J. Nutr. 2008, 100, 552–560. [Google Scholar] [CrossRef]
- Wang, J.; Li, G.R.; Tan, B.E.; Xiong, X.; Kong, X.F.; Xiao, D.F.; Xu, L.W.; Wu, M.M.; Huang, B.; Kim, S.W.; et al. Oral administration of putrescine and proline during the suckling period improves epithelial restitution after early weaning in piglets. J. Anim. Sci. 2015, 93, 1679–1688. [Google Scholar] [CrossRef]
- Tan, B.; Li, X.G.; Kong, X.; Huang, R.; Ruan, Z.; Yao, K.; Deng, Z.; Xie, M.; Shinzato, I.; Yin, Y.; et al. Dietary L-arginine supplementation enhances the immune status in early-weaned piglets. Amino Acids 2009, 37, 323–331. [Google Scholar] [CrossRef]
- Lv, M.; Yu, B.; Mao, X.B.; Zheng, P.; He, J.; Chen, D.W. Responses of growth performance and tryptophan metabolism to oxidative stress induced by diquat in weaned pigs. Animal 2012, 6, 928–934. [Google Scholar] [CrossRef] [PubMed]
- Yuan, S.B.; Chen, D.W.; Zhang, K.Y.; Yu, B. Effects of oxidative stress on growth performance, nutrient digestibilities and activities of antioxidative enzymes of weanling pigs. Asian-Australas. J. Anim. Sci. 2007, 20, 1600–1605. [Google Scholar] [CrossRef]
- Wozniak, A.; Drewa, G.; Wozniak, B.; Schachtschabel, D.O. Activity of antioxidant enzymes and concentration of lipid peroxidation products in selected tissues of mice of different ages, both healthy and melanoma-bearing. Z. GerontolGeriatr. 2004, 37, 184–189. [Google Scholar] [CrossRef] [PubMed]
- Lestaevel, P.; Romero, E.; Dhieux, B.; Ben Soussan, H.; Berradi, H.; Dublineau, I.; Voisin, P.; Gourmelon, P. Different pattern of brain pro-/anti-oxidant activity between depleted and enriched uranium in chronically exposed rats. Toxicology 2009, 258, 1–9. [Google Scholar] [CrossRef]
- Tossou, M.C.; Liu, H.; Bai, M.; Chen, S.; Cai, Y.; Duraipandiyan, V.; Liu, H.; Adebowale, T.O.; Al-Dhabi, N.A.; Long, L.; et al. Effect of High Dietary Tryptophan on Intestinal Morphology and Tight Junction Protein of Weaned Pig. Biomed. Res. Int. 2016, 2016, e2912418. [Google Scholar] [CrossRef]
- Wu, Y.; Wang, D.; Yang, X.; Fu, C.; Zou, L.; Zhang, J. Traditional Chinese medicine GegenQinlian decoction ameliorates irinotecan chemotherapy-induced gut toxicity in mice. Biomed. Pharmacother. 2019, 109, 2252–2261. [Google Scholar] [CrossRef]
- Fang, Q. Some current study and research approaches relating to the use of plants in the traditional Chinese medicine. J. Ethnopharmacol. 1980, 2, 57–63. [Google Scholar] [CrossRef]
- Wei, S.-Y.; Chen, Y.; Xu, X.-Y. Progress on the pharmacological research of puerarin: A review. Chin. J. Nat. Med. 2014, 12, 407–414. [Google Scholar] [CrossRef]
- Xiong, F.L.; Sun, X.H.; Gan, L.; Yang, X.L.; Xu, H.B. Puerarin protects rat pancreatic islets from damage by hydrogen peroxide. Eur. J. Pharmacol. 2006, 529, 1–7. [Google Scholar]
- Guerra, M.C.; Speroni, E.; Broccoli, M.; Cangini, M.; Pasini, P.; Minghett, A.; Crespi-Perellino, N.; Mirasoli, M.; Cantelli-Forti, G.; Paolini, M. Comparison between Chinese medical herb Pueraria lobata crude extract and its main isoflavone puerarin antioxidant properties and effects on rat liver CYP-catalysed drug metabolism. Life Sci. 2000, 67, 2997–3006. [Google Scholar] [CrossRef]
- Li, R.; Xu, L.; Liang, T.; Li, Y.; Zhang, S.; Duan, X. Puerarin mediates hepatoprotection against CCl4-induced hepatic fibrosis rats through attenuation of inflammation response and amelioration of metabolic function. Food Chem. Toxicol. 2013, 52, 69–75. [Google Scholar] [CrossRef] [PubMed]
- Zhang, L.; Du, S.; Lu, Y.; Liu, C.; Wu, H.; Yang, B.; Bai, J.; Li, P. Influence of puerarin, paeoniflorin, and menthol on structure and barrier function of tight junctions in MDCK and MDCK-MDR1 Cells. J. Trad. Chin. Med. Sci. 2015, 2, 111–119. [Google Scholar] [CrossRef]
- Severson, E.A.; Kwon, M.; Hilgarth, R.S.; Parkos, C.A.; Nusrat, A. Glycogen Synthase Kinase 3 (GSK-3) influences epithelial barrier function by regulating occludin, claudin-1 and E-cadherin expression. Biochem. Biophys. Res. Commun. 2010, 397, 592–597. [Google Scholar] [CrossRef] [PubMed]
- Gumbiner, B. Structure, biochemistry, and assembly of epithelial tight junctions. Am. J. Physiol.-Cell Physiol. 1987, 253, C749–C758. [Google Scholar] [CrossRef]
- Wong, V. A synthetic peptide corresponding to the extracellular domain of occludin perturbs the tight junction permeability barrier. J. Cell Biol. 1997, 136, 399–409. [Google Scholar] [CrossRef]
- Schmitz, H.; Barmeyer, C.; Fromm, M.; Runkel, N.; Foss, H.D.; Bentzel, C.J.; Riechken, E.O.; Schulzke, J.D. Altered tight junction structure contributes to the impaired epithelial barrier function in ulcerative colitis. Gastroenterology 1999, 116, 301–309. [Google Scholar] [CrossRef]
- Wang, Z.; Mandell, K.J.; Parkos, C.A.; Mrsny, R.J.; Nusrat, A. The second loop of occludin is required for suppression of Raf1-induced tumor growth. Oncogene 2005, 24, 4412–4420. [Google Scholar] [CrossRef]
- Hoover, K.B.; Liao, S.-Y.; Bryant, P.J. Loss of the tight junction MAGUK ZO-1 in breast cancer. Am. J. Pathol. 1998, 153, 1767–1773. [Google Scholar] [CrossRef]
- Tobioka, H.; Isomura, H.; Kokai, Y.; Tokunaga, Y.; Yamaguchi, J.; Sawada, N. Occludin expression decreases with the progression of human endometrial carcinoma. Hum. Pathol. 2004, 35, 159–164. [Google Scholar] [CrossRef]
- Dhawan, P.; Singh, A.B.; Deane, N.G.; No, Y.; Shiou, S.R.; Schmidt, C.; Neff, J.; Washington, M.K.; Beauchamp, R.D. Claudin-1 regulates cellular transformation and metastatic behavior in colon cancer. J. Clin. Investig. 2005, 115, 1765–1776. [Google Scholar] [CrossRef]
- Forster, C. Tight junctions and the modulation of barrier function in disease. Histochem. Cell Biol. 2008, 130, 55–70. [Google Scholar] [CrossRef] [PubMed]
- Spiegelman, S. Ciba Foundation Symposium on ionizing Radiations and Cell Metabolism; J. & A. Churchill: London, UK, 1956. [Google Scholar] [CrossRef]
- Zhu, L.H.; Wang, L.; Wang, D.; Jiang, H.; Tang, Q.Z.; Yan, L.; Bian, Z.Y.; Wang, X.A.; Li, H. Puerarin attenuates high-glucose-and diabetes-induced vascular smooth muscle cell proliferation by blocking PKCbeta2/Rac1-dependent signaling. Free Radic. Biol. Med. 2010, 48, 471–482. [Google Scholar] [CrossRef] [PubMed]
- Liu, X.; Li, S.; Li, Y.; Cheng, B.; Tan, B.; Wang, G. Puerarininhibits proliferation and induces apoptosis by upregulation of miR-16 in bladder cancer cell line T24. Oncol. Res. 2018, 26, 1227–1234. [Google Scholar] [CrossRef]
- Lv, H.; Che, T.; Tang, X.; Liu, L.; Cheng, J. Puerarin enhances proliferation and osteoblastic differentiation of human bone marrow stromal cells via a nitric oxide/cyclic guanosine monophosphate signaling pathway. Mol. Med. Rep. 2015, 12, 2283–2290. [Google Scholar] [CrossRef] [PubMed]
- Romeu, M.; Mulero, M.; Giralt, M.; Folch, J.; Nogués, M.R.; Torres, A.; Fortuño, A.; Sureda, F.X.; Cabré, M.; Paternáin, J.L. Parameters related to oxygen free radicals in erythrocytes, plasma and epidermis of the hairless rat. Life Sci. 2002, 71, 1739–1749. [Google Scholar] [CrossRef]
- Quintana-Cabrera, R.; Bolanos, J.P. Glutathione and gamma-glutamylcysteine in the antioxidant and survival functions of mitochondria. Biochem. Soc. Trans. 2013, 41, 106–110. [Google Scholar] [CrossRef]
- Escartin, C.; Won, S.J.; Malgorn, C.; Auregan, G.; Berman, A.E.; Chen, P.C.; Deglon, N.; Johnson, J.A.; Suh, S.W.; Swanson, R.A. Nuclear factor erythroid 2-related factor 2 facilitates neuronal glutathione synthesis by upregulating neuronal excitatory amino acid transporter 3 expression. J. Neurosci. 2011, 31, 7392–7401. [Google Scholar] [CrossRef]
- Kang, K.W.; Lee, S.J.; Kim, S.G. Molecular mechanism of nrf2 activation by oxidative stress. Antioxid. Redox Signal. 2005, 7, 1664–1673. [Google Scholar] [CrossRef]
- Leong, P.K.; Chiu, P.Y.; Chen, N.; Leung, H.; Ko, K.M. Schisandrin B elicits a glutathione antioxidant response and protects against apoptosis via the redox-sensitive ERK/Nrf2 pathway in AML12 hepatocytes. Free Radic. Res. 2011, 45, 483–495. [Google Scholar] [CrossRef]
- Yang, Y.C.; Lii, C.K.; Lin, A.H.; Yeh, Y.W.; Yao, H.T.; Li, C.C.; Liu, K.L.; Chen, H.W. Induction of glutathione synthesis and heme oxygenase 1 by the flavonoids butein and phloretin is mediated through the ERK/Nrf2 pathway and protects against oxidative stress. Free Radic. Biol. Med. 2011, 51, 2073–2081. [Google Scholar] [CrossRef]
- Lee, I.C.; Kim, S.H.; Baek, H.S.; Moon, C.; Kang, S.S.; Kim, S.H.; Kim, Y.B.; Shin, I.S.; Kim, J.C. The involvement of Nrf2 in the protective effects of diallyl disulfide on carbon tetrachloride-induced hepatic oxidative damage and inflammatory response in rats. Food Chem. Toxicol. 2014, 63, 174–185. [Google Scholar] [CrossRef] [PubMed]
- Zou, Y.; Hong, B.; Fan, L.; Zhou, L.; Liu, Y.; Wu, Q.; Zhang, X.; Dong, M. Protective effect of puerarin against beta-amyloid-induced oxidative stress in neuronal cultures from rat hippocampus: Involvement of the GSK-3beta/Nrf2 signaling pathway. Free Radic. Res. 2013, 47, 55–63. [Google Scholar] [CrossRef] [PubMed]
- Emmert, S.W.; Karam, E.B.; Arunangshu, D.; Yuan-Wan, S.; Shantu, A.; Dhimant, D.; Cesar, A.; Richie, J.P. Induction of lung glutathione and glutamylcysteine ligase by 1,4-phenylenebis(methylene)selenocyanate and its glutathione conjugate: Role of nuclear factor-erythroid 2-related factor 2. Free Radic. Biol. Med. 2012, 52, 2064–2071. [Google Scholar] [CrossRef] [PubMed]




| Ingredients, % | Chemical Composition b | ||
|---|---|---|---|
| Corn | 57 | Crude protein | 17.4 |
| Expended maize | 5 | Digestible energy, kcal/kg | 3466 |
| Soybean meal (43%CP) | 22 | Lysine | 0.79 |
| Rice bran meal | 5 | Calcium | 0.68 |
| Broken rice | 5 | Total phosphorus | 0.53 |
| Fish meal | 2 | Dry matter | 87.86 |
| Sucrose | 1 | ||
| Calcium lactate | 0.3 | ||
| Calcium hydrogen phosphate | 1 | ||
| Limestone powder | 0.1 | ||
| Premix a | 1 | ||
| 98% lysine | 0.4 | ||
| Threonine | 0.1 | ||
| Methionine | 0.1 | ||
| Item | Basal Diet | Basal Diet + Diquat | Puerarin Diet + Diquat | p-Value |
|---|---|---|---|---|
| Initial BW, kg | 7.26 ± 0.54 | 7.28 ± 0.34 | 7.24 ± 0.49 | 0.998 |
| Final BW, kg | 12.47 ± 0.67 a | 10.25 ± 0.39 b | 11.58 ± 0.63 ab | 0.040 |
| ADG, g/d | 372.14 ± 45.32 a | 212.14 ± 46.56 b | 310.00 ± 36.45 ab | 0.048 |
| ADFI, g/d | 521.36 ± 23.48 a | 378.21 ± 45.45 b | 504.32 ± 34.56 ab | 0.019 |
| G:F, g/g | 0.71 ± 0.04 a | 0.56 ± 0.05 b | 0.61 ± 0.02 ab | 0.035 |
| Item | Basal Diet | Basal Diet + Diquat | Puerarin Diet + Diquat | p-Value |
|---|---|---|---|---|
| Jejunum | ||||
| Villous height, μm | 395.76 ± 7.21 a | 318.47 ± 21.08 b | 346.35 ± 27.35 ab | 0.042 |
| Crypt depth, μm | 106.15 ± 15.19 | 131.47 ± 21.49 | 115.34 ± 17.34 | 0.616 |
| Villus height:crypt depth | 3.73 ± 0.12 a | 2.42 ± 0.21 b | 3.00 ± 0.16 a | <0.001 |
| Ileum | ||||
| Villous height, μm | 328.45 ± 16.79 | 286.42 ± 37.47 | 307.56 ± 35.68 | 0.645 |
| Crypt depth, μm | 97.14 ± 5.14 | 106.37 ± 8.48 | 101.45 ± 7.45 | 0.665 |
| Villus height:crypt depth | 3.38 ± 0.09 a | 2.69 ± 0.15 b | 3.03 ± 0.23 ab | 0.028 |
| Item | Basal Diet | Basal Diet + Diquat | Puerarin Diet + Diquat | p-Value |
|---|---|---|---|---|
| Jejunum | ||||
| Protein (mg/kg tissue) | 67.52 ± 2.13 a | 56.57 ± 3.16 b | 64.37 ± 1.34 ab | 0.010 |
| RNA/DNA | 2.32 ± 0.56 | 2.89 ± 0.32 | 2.76 ± 0.25 | 0.580 |
| Protein/DNA (mg/μg) | 0.152 ± 0.02 ab | 0.134 ± 0.01 b | 0.187 ± 0.01 a | 0.045 |
| Ileum | ||||
| Protein (mg/kg tissue) | 63.23 ± 1.14 a | 59.25 ± 0.35 b | 62.96 ± 1.24 a | 0.017 |
| RNA/DNA | 7.15 ± 0.25 a | 5.15 ± 0.43 b | 6.46 ± 0.37 a | 0.003 |
| Protein/DNA (mg/μg) | 0.29 ± 0.01 ab | 0.24 ± 0.02 b | 0.30 ± 0.01 a | 0.022 |
| Item | Basal Diet | Basal Diet + Diquat | Puerarin Diet + Diquat | p-Value |
|---|---|---|---|---|
| Jejunum | ||||
| SOD, U/mg prot | 14.32 ± 1.06 ab | 9.59 ± 2.07 b | 15.15 ± 1.35 a | 0.041 |
| GSH-Px, U/mg prot | 29.35 ± 1.43 a | 22.13 ± 2.17 b | 29.87 ± 2.26 a | 0.020 |
| CAT, U/mg prot | 11.01 ± 0.78 | 9.58 ± 0.68 | 10.98 ± 0.79 | 0.326 |
| MDA, nmol/mg prot | 1.89 ± 0.18 | 2.36 ± 0.32 | 2.24 ± 0.21 | 0.385 |
| T-AOC, U/mg prot | 0.45 ± 0.04 ab | 0.32 ± 0.03b | 0.54 ± 0.05 a | 0.003 |
| GSH, mg/mg prot | 263.34 ± 45.63 | 243.45 ± 35.12 | 276.24 ± 21.54 | 0.807 |
| Ileum | ||||
| SOD, U/mg prot | 17.32 ± 1.46 | 16.43 ± 1.87 | 16.89 ± 1.21 | 0.920 |
| GSH-Px, U/mg prot | 24.54 ± 1.17 a | 18.87 ± 2.04 b | 25.14 ± 1.76 a | 0.030 |
| CAT, U/mg prot | 12.47 ± 1.34 | 10.42 ± 2.01 | 11.47 ± 0.86 | 0.626 |
| MDA, nmol/mg prot | 2.05 ± 0.32 | 2.17 ± 0.47 | 1.94 ± 0.15 | 0.892 |
| T-AOC, U/mg prot | 0.53 ± 0.02 a | 0.37 ± 0.04 b | 0.59 ± 0.06 a | 0.006 |
| GSH, mg/mg prot | 246.46 ± 40.21 | 216.75 ± 31.06 | 218.49 ± 29.97 | 0.789 |
© 2020 by the authors. Licensee MDPI, Basel, Switzerland. This article is an open access article distributed under the terms and conditions of the Creative Commons Attribution (CC BY) license (http://creativecommons.org/licenses/by/4.0/).
Share and Cite
Li, M.; Yuan, D.; Liu, Y.; Jin, H.; Tan, B. Dietary Puerarin Supplementation Alleviates Oxidative Stress in the Small Intestines of Diquat-Challenged Piglets. Animals 2020, 10, 631. https://doi.org/10.3390/ani10040631
Li M, Yuan D, Liu Y, Jin H, Tan B. Dietary Puerarin Supplementation Alleviates Oxidative Stress in the Small Intestines of Diquat-Challenged Piglets. Animals. 2020; 10(4):631. https://doi.org/10.3390/ani10040631
Chicago/Turabian StyleLi, Meng, Daixu Yuan, Yanhong Liu, Hui Jin, and Bie Tan. 2020. "Dietary Puerarin Supplementation Alleviates Oxidative Stress in the Small Intestines of Diquat-Challenged Piglets" Animals 10, no. 4: 631. https://doi.org/10.3390/ani10040631
APA StyleLi, M., Yuan, D., Liu, Y., Jin, H., & Tan, B. (2020). Dietary Puerarin Supplementation Alleviates Oxidative Stress in the Small Intestines of Diquat-Challenged Piglets. Animals, 10(4), 631. https://doi.org/10.3390/ani10040631

