Lambs Weaned Early onto a Herb-Clover Mix Have the Potential to Grow at a Similar Rate to Unweaned Lambs on a Grass-Predominant Pasture
Simple Summary
Abstract
1. Introduction
2. Materials and Methods
2.1. Herbage Treatments
2.2. Experimental Design
2.3. Animal Measurements
2.4. Herbage Measurements
2.5. Statistical Analysis
3. Results
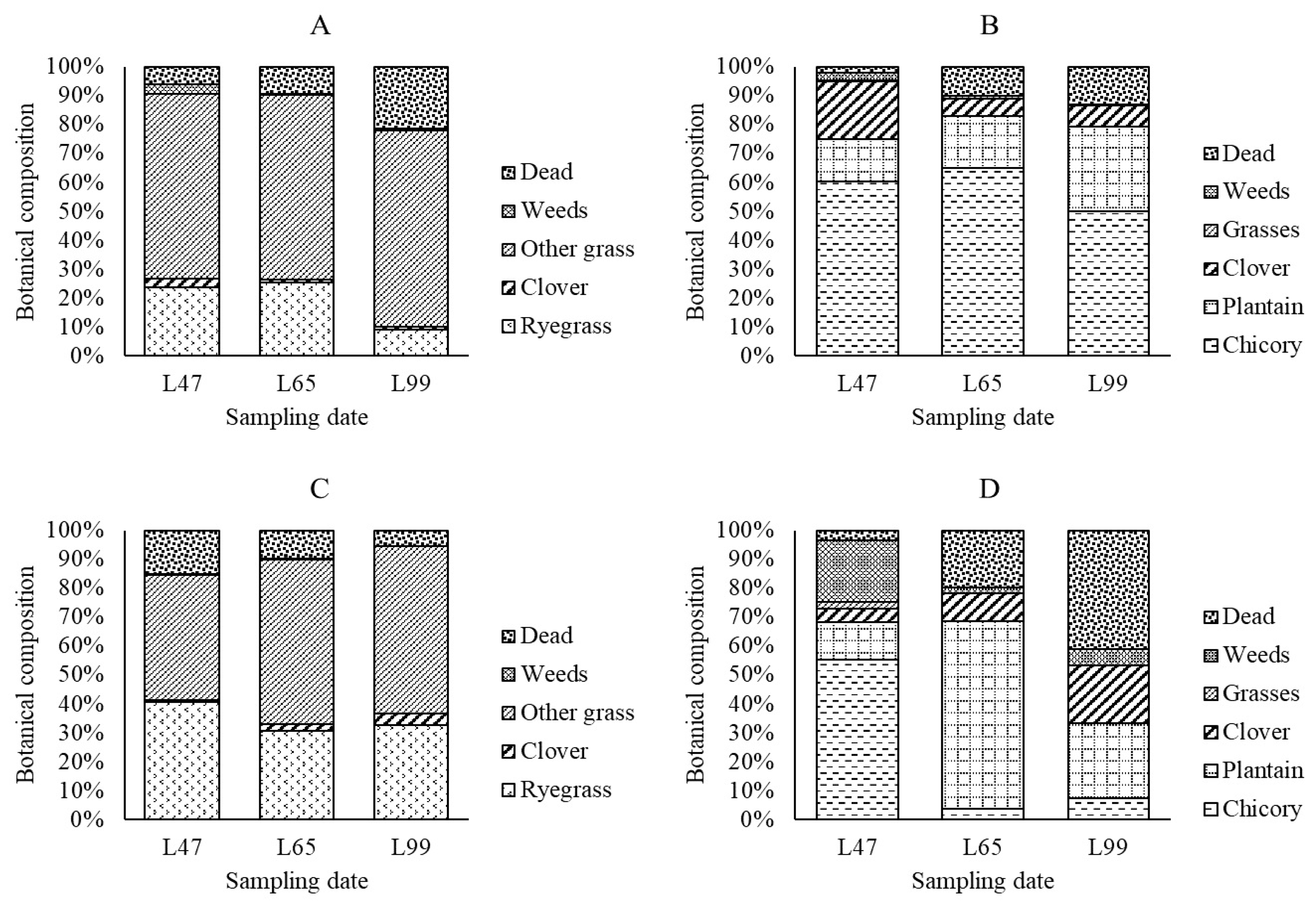
3.1. Botanical Composition, Herbage Mass and Nutritional Quality of Herbage
3.2. Lamb Live Weight and Liveweight Gain
3.3. Ewe Live Weight, Liveweight Gain, and Body Condition Score
4. Discussion
5. Conclusions
Author Contributions
Funding
Acknowledgments
Conflicts of Interest
References
- Hutton, P.; Kenyon, P.; Bedi, M.; Kemp, P.; Stafford, K.; West, D.; Morris, S.T. A herb and legume sward mix increased ewe milk production and ewe and lamb liveweight gain to weaning compared to a ryegrass dominant sward. Anim. Feed. Sci. Technol. 2011, 164, 1–7. [Google Scholar] [CrossRef]
- Corner-Thomas, R.; Kemp, P.; Morris, S.T.; Kenyon, P. Grazing alternative herbages in lactation increases the liveweight of both ewe lambs and their progeny at weaning. Anim. Prod. Sci. 2014, 54, 1741–1746. [Google Scholar] [CrossRef]
- Corner-Thomas, R.; Cranston, L.M.; Kemp, P.; Morris, S.T.; Kenyon, P. The performance of single-rearing ewes and their lambs offered ryegrass pasture or herb–clover mix during lactation. N. Z. J. Agric. Res. 2017, 61, 67–80. [Google Scholar] [CrossRef]
- Somasiri, S.C.; Kenyon, P.; Kemp, P.; Morel, P.C.H.; Morris, S.T. Mixtures of clovers with plantain and chicory improve lamb production performance compared to a ryegrass-white clover sward in the late spring and early summer period. Grass Forage Sci. 2015, 71, 270–280. [Google Scholar] [CrossRef]
- Somasiri, S.C.; Kenyon, P.; Kemp, P.; Morel, P.; Morris, S.T. Effect of herb-clover mixes of plantain and chicory on yearling lamb production in the early spring period. Anim. Prod. Sci. 2016, 56, 1662. [Google Scholar] [CrossRef]
- Kemp, P.; Kenyon, P.R.; Morris, S.T. The use of legume and herb forage species to create high performance pastures for sheep and cattle grazing systems. Rev. Bras. Zootec. 2010, 39, 169–174. [Google Scholar] [CrossRef]
- Cranston, L.; Kenyon, P.; Morris, S.; López-Villalobos, N.; Kemp, P. Effect of post-grazing height on the productivity, population and morphology of a herb and legume mix. N. Z. J. Agric. Res. 2015, 58, 397–411. [Google Scholar] [CrossRef]
- Waghorn, G.C.; Burke, J.L.; Kolver, E.S. Principles of feeding value. In Pasture and Supplements for Grazing Animals; Rattray, P., Brookes, I.M., Nicol, A., Eds.; New Zealand Society of Animal Production: Hamilton, New Zealand, 2007; pp. 35–39. [Google Scholar]
- Pain, S.J.; Hutton, P.G.; Kenyon, P.R.; Morris, S.T.; Kemp, P.D. Preference of lambs for novel pasture herbs. Proc. N. Z. Soc. Anim. Prod. 2010, 70, 258–287. [Google Scholar]
- Kerr, P. 400 Plus—A Guide to Improved Lamb Growth; New Zealand Sheep Council: Wellington, UK, 2000. [Google Scholar]
- Ekanayake, W.E.M.L.J.; Corner-Thomas, R.A.; Cranston, L.M.; Kenyon, P.R.; Morris, S.T. A comparison of liveweight gain of lambs weaned early onto a herb-clover mixed sward and weaned conventionally onto a ryegrass-clover pasture and herb-clover mixed sward. Asian-Australas. J. Anim. Sci. 2018, 32, 201–208. [Google Scholar] [CrossRef] [PubMed]
- Morris, S.T.; Kenyon, P. The effect of litter size and sward height on ewe and lamb performance. N. Z. J. Agric. Res. 2004, 47, 275–286. [Google Scholar] [CrossRef]
- Nowak, R.; Poindron, P. From birth to colostrum: Early steps leading to lamb survival. Reprod. Nutr. Dev. 2006, 46, 431–446. [Google Scholar] [CrossRef] [PubMed]
- Jefferies, B.C. Body condition scoring and its use in management. Tasmanian J. Agric. 1986, 32, 19–21. [Google Scholar]
- Frame, J. Herbage Mass. In Sward Measurement Handbook; Hodgson, J., Baker, R., Davies, D.A., Laidlaw, A.S., Leaver, J., Eds.; British Grassland Society: Hurley, UK, 1993; pp. 39–69. [Google Scholar]
- Roughan, P.G.; Holland, R. Predicting in-vivo digestibilities of herbages by exhaustive enzymic hydrolysis of cell walls. J. Sci. Food Agric. 1977, 28, 1057–1064. [Google Scholar] [CrossRef]
- Robertson, J.; Van Soest, P. The detergent system of analysis and its application to human foods. In The Analysis of Dietary Fiber in Food; James, W.P.T., Theander, O., Eds.; Marcel Dekker Inc.: New York, NY, USA, 1981; pp. 123–158. [Google Scholar]
- Litherland, A.J.; Lambert, M.G. Herbage quality and growth rate of single and twin lambs at foot. Proc. N. Z. Soc. Anim. Prod. 2000, 60, 55–57. [Google Scholar]
- Corner-Thomas, R.; Cranston, L.M.; Kemp, P.; Morris, S.T.; Kenyon, P. Can herb-clover mixes compensate for the lack of milk in the diet of early-weaned lambs? N. Z. J. Agric. Res. 2018, 1–13. [Google Scholar] [CrossRef]
- Ekanayake, W.E.M.L.J.; Corner-Thomas, R.A.; Cranston, L.M.; Kenyon, P.R.; Morris, S.T. The effect of live weight at weaning on liveweight gain of early weaned lambs onto a herb-clover mixed sward. Proc. N. Z. Soc. Anim. Prod. 2017, 77, 37–42. [Google Scholar]
- Hodgson, J.; Brookes, I. Nutrition of grazing animals. In New Zealand Pasture and Crop Science; Hodgson, J., White, J., Eds.; Oxford University Press: Auckland, New Zealand, 2002; pp. 133–153. [Google Scholar]
- Somasiri, S.C. Effect of Herb-Clover Mixes on Weaned Lamb Growth. Ph.D. Thesis, Massey University, Palmerston North, New Zealand, 2014. [Google Scholar]
- Kenyon, P.R.; Webby, R.W. Pastures and supplements in sheep production systems. In Pasture and Supplements for Grazing Animals; Rattray, P., Brookes, I.M., Nicol, A., Eds.; New Zealand Society of Animal Production: Hamilton, New Zealand, 2007; pp. 255–274. [Google Scholar]
- Corner-Thomas, R.; Ridler, A.; Morris, S.; Kenyon, P. Ewe lamb live weight and body condition scores affect reproductive rates in commercial flocks. N. Z. J. Agric. Res. 2015, 58, 26–34. [Google Scholar] [CrossRef]


| Herbage Type | HM (kg DM/ha) | CP (%) | NDF (%) | ADF (%) | DMD (%) | ME (MJ/Kg) | |
|---|---|---|---|---|---|---|---|
| 2016 | |||||||
| Herb-clover mix | L47 | 3782 b ± 481 | 21.2 c ± 1.0 | 32.1 a ± 2.0 | 26.9 a ± 2.3 | 72.9 e ± 0.8 | 10.6 d ± 0.1 |
| L65 | 3362 ab ± 481 | 15.3 a ± 1.0 | 40.8 b ± 2.0 | 33.3 ab ± 2.3 | 70.3 d ± 0.8 | 10.2 c ± 0.1 | |
| L99 | 3390 ab ± 481 | 13.4 a ± 1.0 | 45.6 c ± 2.0 | 36.2 b ± 2.3 | 68.5 d ± 0.8 | 9.8 c ± 0.1 | |
| Grass-predominant pasture | L47 | 2362 a ± 481 | 19.5 b ± 1.0 | 51.0 d ± 2.0 | 29.9 a ± 2.3 | 65.0 c ± 0.8 | 9.2 b ± 0.1 |
| L65 | 3308 ab ± 481 | 14.3 a ± 1.0 | 60.7 e ± 2.0 | 39.0 b ± 2.3 | 62.4 b ± 0.8 | 8.6 a ± 0.1 | |
| L99 | 3270 ab ± 481 | 13.5 a ± 1.0 | 62.0 e ± 2.0 | 38.3 b ± 2.3 | 60.7 a ± 0.8 | 8.7 a ± 0.1 | |
| 2017 | |||||||
| Herb-clover mix | L47 | 3221 b ± 481 | 17.3 c ± 1.0 | 46.7 c ± 2.0 | 26.5 a ± 2.3 | 65.7 b ± 0.8 | 9.5 ab ± 0.1 |
| L65 | 2994 ab ± 481 | 9.8 a ± 1.0 | 48.4 c ± 2.0 | 25.5 a ± 2.3 | 65.4 ab ± 0.8 | 9.8 bc ± 0.1 | |
| L99 | 3048 b ± 481 | 15.5 bc ± 1.0 | 53.7 d ± 2.0 | 30.5 b ± 2.3 | 63.4 a ± 0.8 | 9.1 a ± 0.1 | |
| Grass-predominant pasture | L47 | 1899 a ± 481 | 12.0 a ± 1.0 | 32.7 a ± 2.0 | 26.2 a ± 2.3 | 72.0 d ± 0.8 | 10.6 d ± 0.1 |
| L65 | 2659 ab ± 481 | 10.4 a ± 1.0 | 39.7 b ± 2.0 | 29.6 a ± 2.3 | 68.9 c ± 0.8 | 10.1 c ± 0.1 | |
| L99 | 2680 ab ± 481 | 13.0 b ± 1.0 | 31.4 a ± 2.0 | 23.7 a ± 2.3 | 73.1 d ± 0.8 | 10.6 d ± 0.1 | |
| Herbage Treatment | Lamb Live Weight (kg) | |||||
|---|---|---|---|---|---|---|
| n | n | n | ||||
| 2016 | ||||||
| L53 | L65 | L99 | ||||
| HerbEW | 54 | 19.3 ± 0.1 a | 53 | 21.5 ± 0.2 b | 53 | 30.7 ± 0.3 d |
| HerbCW | 45 | 19.5 ± 0.1 a | 46 | 23.6 ± 0.2 c | 45 | 33.2 ± 0.4 f |
| GrassCW | 48 | 19.4 ± 0.1 a | 49 | 23.3 ± 0.2 c | 50 | 31.5 ± 0.3 e |
| 2017 | ||||||
| L51 | L65 | L99 | ||||
| HerbEW | 46 | 19.0 ± 0.2 a | 45 | 21.5 ± 0.2 b | 46 | 30.5 ± 0.4 d |
| HerbCW | 42 | 19.3 ± 0.2 a | 41 | 23.0 ± 0.2 c | 42 | 34.5 ± 0.4 e |
| GrassCW | 34 | 19.1 ± 0.2 a | 33 | 22.7 ± 0.2 c | 34 | 30.2 ± 0.4 d |
| Herbage Treatment | Ewe Live Weight (kg) | |||||
|---|---|---|---|---|---|---|
| n | n | n | ||||
| 2016 | ||||||
| L53 | L65 | L99 | ||||
| HerbEW | 27 | 71.3 ± 1.3 a | 25 | 77.1 ± 1.3 b | 25 | 80.3 ± 1.3 c |
| HerbCW | 23 | 72.2 ± 1.4 ab | 23 | 76.5 ± 1.4 b | 23 | 80.0 ± 1.4 c |
| GrassCW | 25 | 71.2 ± 1.3 a | 24 | 73.6 ± 1.3 a | 23 | 75.1 ± 1.4 b |
| 2017 | ||||||
| L51 | L65 | L99 | ||||
| HerbEW | 23 | 67.9 ± 1.4 a | 23 | 69.2 ± 1.4 b | 22 | 73.3 ± 1.4 b |
| HerbCW | 21 | 69.4 ± 1.5 ab | 20 | 70.5 ± 1.5 b | 21 | 76.4 ± 1.5 c |
| GrassCW | 17 | 67.7 ± 1.6 a | 16 | 69.2 ± 1.4 ab | 17 | 72.4 ± 1.6 b |
| Herbage Treatment | Ewe Body Condition Score | |||||
|---|---|---|---|---|---|---|
| n | n | n | ||||
| 2016 | ||||||
| L53 | L65 | L99 | ||||
| HerbEW | 26 | 2.3 (2.2–2.4) a | 25 | 3.1 (2.9–3.3) d | 25 | 3.4 (3.2–3.6) e |
| HerbCW | 23 | 2.1 (2.0–2.2) a | 23 | 2.8 (2.6–2.9) c | 23 | 3.0 (2.8–3.2) d |
| GrassCW | 25 | 2.1 (2.0–2.3) a | 24 | 2.5 (2.4–2.6) b | 23 | 2.5 (2.4–2.7) b |
| 2017 | ||||||
| L51 | L65 | L99 | ||||
| HerbEW | 23 | 2.9 (2.8–3.1) a | 23 | 3.3 (3.1–3.6) b | 22 | 3.4 (3.2–3.5) b |
| HerbCW | 21 | 2.7 (2.5–2.9) a | 20 | 2.8 (2.6–3.0) a | 21 | 3.3 (3.1–3.4) b |
| GrassCW | 17 | 2.8 (2.6–3.0) a | 16 | 2.6 (2.2–3.0) a | 17 | 2.9 (2.7–3.1) a |
© 2020 by the authors. Licensee MDPI, Basel, Switzerland. This article is an open access article distributed under the terms and conditions of the Creative Commons Attribution (CC BY) license (http://creativecommons.org/licenses/by/4.0/).
Share and Cite
Ekanayake, L.J.; Corner-Thomas, R.A.; Cranston, L.M.; Kenyon, P.R.; Morris, S.T. Lambs Weaned Early onto a Herb-Clover Mix Have the Potential to Grow at a Similar Rate to Unweaned Lambs on a Grass-Predominant Pasture. Animals 2020, 10, 613. https://doi.org/10.3390/ani10040613
Ekanayake LJ, Corner-Thomas RA, Cranston LM, Kenyon PR, Morris ST. Lambs Weaned Early onto a Herb-Clover Mix Have the Potential to Grow at a Similar Rate to Unweaned Lambs on a Grass-Predominant Pasture. Animals. 2020; 10(4):613. https://doi.org/10.3390/ani10040613
Chicago/Turabian StyleEkanayake, Lukshman Jay., Rene Anne Corner-Thomas, Lydia Margaret Cranston, Paul Richard Kenyon, and Stephen Todd Morris. 2020. "Lambs Weaned Early onto a Herb-Clover Mix Have the Potential to Grow at a Similar Rate to Unweaned Lambs on a Grass-Predominant Pasture" Animals 10, no. 4: 613. https://doi.org/10.3390/ani10040613
APA StyleEkanayake, L. J., Corner-Thomas, R. A., Cranston, L. M., Kenyon, P. R., & Morris, S. T. (2020). Lambs Weaned Early onto a Herb-Clover Mix Have the Potential to Grow at a Similar Rate to Unweaned Lambs on a Grass-Predominant Pasture. Animals, 10(4), 613. https://doi.org/10.3390/ani10040613

