Effects of Cryoprotective Medium Composition, Dilution Ratio, and Freezing Rates on Spotted Halibut (Verasper variegatus) Sperm Cryopreservation
Abstract
Simple Summary
Abstract
1. Introduction
2. Materials and Methods
2.1. Ethics Statement
2.2. Broodstock Management and Collecting Sperm
2.3. CPAs and Diluents
2.4. Dilution Ratio and Freezing Rate
2.5. Motility of Frozen–Thawed Sperm and Survival Rate
2.6. Single-Cell Gel Electrophoresis Assay
2.7. Statistical Analyses
3. Results
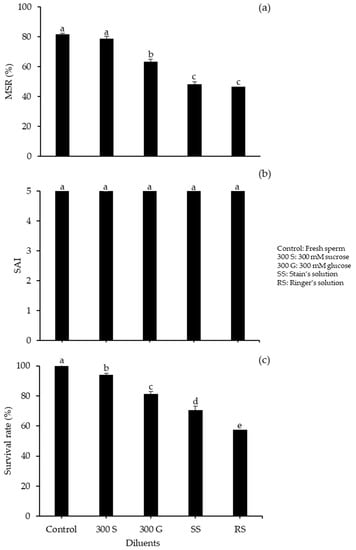
3.1. Effects of CPA and Diluent for Sperm Quality After Cryopreservation
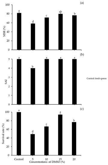
3.2. Sperm Dilution Ratio and Freezing Rate effects on Frozen–thawed Sperm Motility
3.3. Single-Cell Gel Electrophoresis
3.4. Correlations among Frozen–thawed Sperm Motility, Survival Rate, and DNA Damage
4. Discussion
5. Conclusions
Author Contributions
Funding
Acknowledgments
Conflicts of Interest
References
- Tian, Y.S.; Chen, S.L.; Ji, X.S.; Zhai, J.M.; Sun, L.J.; Chen, C.; Su, P.Z. Cryopreservation of spotted halibut (Verasper variegatus) sperm. Aquaculture 2008, 284, 268–271. [Google Scholar] [CrossRef]
- Liu, X.; Zhang, S.; Zhang, Y.; Xu, Y. Cryopreservation of the sperm of spotted halibut Verasper variegates (Pleuronectiformes, Pleuronectidae). Indian J. Mar. Sci. 2006, 35, 24–28. [Google Scholar]
- Hirazawa, N.; Hara, T.; Mitsuboshi, T.; Okazaki, J.; Hata, K. Iodophor disinfection of eggs of spotted halibut verasper variegatus and red sea bream pagrus major. Fish. Sci. 1999, 65, 333–338. [Google Scholar] [CrossRef][Green Version]
- Blaxter, J.H. Sperm Storage and Cross Fertilization of Spring and Autumn Spawning Hearing. Nature 1953, 172, 1189–1190. [Google Scholar] [CrossRef]
- Suquet, M.; Dreanno, C.; Fauvel, C.; Cosson, J.; Billard, R. Cryopreservation of sperm in marine fish. Aquac. Res. 2000, 31, 231–243. [Google Scholar] [CrossRef]
- Lim, H.-K.; Lee, C.H.; Min, B.H.; Lee, J.U.; Lee, C.S.; Seong, K.B.; Lee, S.M. Effects of Diluents and Cryoprotectants on Sperm Cryopreservation of Mason Salmon, Oncorhynchus masoumasou. J. Korean Fish. Soc. 2008, 41, 267–271. [Google Scholar]
- Glenn, D.W., III; Lang, R.P.; Tiersch, T.R. Evaluation of Extenders for Refrigerated Storage of Koi Carp and Goldfish Sperm. In Cryopreservation in Aquatic Species; Tiersch, T.R., Green, C., Eds.; World Aquaculture Society: Baton Rouge, LA, USA, 2011; pp. 107–124. [Google Scholar]
- Betsy, J.; Kumar, S. Cryopreservation of Fish Gametes; Springer: Singapore, 2020; ISBN 9789811540240. [Google Scholar]
- Boryshpolets, S.; Sochorová, D.; Rodina, M.; Linhart, O.; Dzyuba, B. Cryopreservation of Carp (Cyprinus carpio L.) Sperm: Impact of Seeding and Freezing Rates on Post-Thaw Outputs. Biopreserv. Biobank. 2017, 15, 234–240. [Google Scholar] [CrossRef]
- Correa, J.R.; Zavos, P.M. Frozen-thawed bovine spermatozoa diluted by slow or rapid dilution method: Measurements on occurrence of osmotic shock and sperm viability. Theriogenology 1995, 44, 963–971. [Google Scholar] [CrossRef]
- Lim, H.K.; Le, M.H. Evaluation of extenders and cryoprotectants on motility and morphology of longtooth grouper (Epinephelus bruneus) sperm. Theriogenology 2013, 79, 867–871. [Google Scholar] [CrossRef]
- Yang, S.; Fan, B.; Chen, X.; Meng, Z. Cryopreservation of sperm in brown-marbled grouper (Epinephelus fuscoguttatus). Aquac. Int. 2020, 28, 1501–1516. [Google Scholar] [CrossRef]
- Bozkurt, Y.; Yavaş, I.; Yildiz, C. Effect of different avian egg yolk types on fertilization ability of cryopreserved common carp (Cyprinus carpio) spermatozoa. Aquac. Int. 2014, 22, 131–139. [Google Scholar] [CrossRef]
- Pullin, R.S.V. The storage of plaice (Pleuronectes plutessa) Sperm at Low Temperatures. Aquaculture 1972, 1, 279–283. [Google Scholar] [CrossRef]
- Bolla, S.; Holmefjord, I.; Refstie, T. Cryogenic preservation of Atlantic halibut sperm. Aquaculture 1987, 65, 371–374. [Google Scholar] [CrossRef]
- Richardson, G.F.; Wilson, C.E.; Crim, L.W.; Yao, Z. Cryopreservation of yellowtail flounder (Pleuronectes ferrugineus) semen in large straws. Aquaculture 1999, 174, 89–94. [Google Scholar] [CrossRef]
- Zhang, Y.Z.; Zhang, S.C.; Liu, X.Z.; Xu, Y.Y.; Wang, C.L.; Sawant, M.S.; Li, J.; Chen, S.L. Cryopreservation of flounder (Paralichthys olivaceus) sperm with a practical methodology. Theriogenology 2003, 60, 989–996. [Google Scholar] [CrossRef]
- Rideout, R.M.; Litvak, M.K.; Trippel, E.A. The development of a sperm cryopreservation protocol for winter flounder Pseudopleuronectes americanus (Walbaum): Evaluation of cryoprotectants and diluents. Aquac. Res. 2003, 34, 653–659. [Google Scholar] [CrossRef]
- Gwo, J.C. Cryopreservation of aquatic invertebrate semen: A review. Aquac. Res. 2000, 31, 259–271. [Google Scholar] [CrossRef]
- Liu, Q.H.; Ma, D.Y.; Xu, S.H.; Xiao, Z.Z.; Xiao, Y.S.; Song, Z.C.; Li, J. Summer flounder (Paralichthys dentatus) sperm cryopreservation and application in interspecific hybridization with olive flounder (P. olivaceus). Theriogenology 2015, 83, 703–710. [Google Scholar] [CrossRef]
- Stein, H.; Bayrle, H. Cryopreservation of the sperm of some freshwater teleosts. Ann. Biol. Anim. Biochim. Biophys. 1978, 18, 1073–1076. [Google Scholar] [CrossRef]
- Chao, N.H.; Chen, H.P.; Liao, I.C. Study on cryogenic preservation of grey mullet sperm. Aquaculture 1975, 5, 389–406. [Google Scholar] [CrossRef]
- Ahn, J.Y.; Park, J.Y.; Lim, H.K. Effects of different diluents, cryoprotective agents, and freezing rates on sperm cryopreservation in Epinephelus akaara. Cryobiology 2018, 83, 60–64. [Google Scholar] [CrossRef] [PubMed]
- Riss, T.L.; Moravec, R.A.; Niles, A.L.; Duellman, S.; Benink, H.A.; Worzella, T.J.; Minor, L. Cell Viability Assays. In Assay Guidance Manual; Sittampalam, G., Grossman, A., Brimacombe, A., Eds.; Eli Lilly & Company and the National Center for Advancing Translational Sciences: Bethesda, MD, USA, 2013; pp. 1–25. [Google Scholar]
- Cabrita, E.; Robles, V.; Rebordinos, L.; Sarasquete, C.; Herráez, M.P. Evaluation of DNA damage in rainbow trout (Oncorhynchus mykiss) and gilthead sea bream (Sparus aurata) cryopreserved sperm. Cryobiology 2005, 50, 144–153. [Google Scholar] [CrossRef] [PubMed]
- Pérez-Cerezales, S.; Martínez-Páramo, S.; Cabrita, E.; Martínez-Pastor, F.; de Paz, P.; Herráez, M.P. Evaluation of oxidative DNA damage promoted by storage in sperm from sex-reversed rainbow trout. Theriogenology 2009, 71, 605–613. [Google Scholar] [CrossRef] [PubMed]
- Cabrita, E.; Anel, L.; Herraez, M. Effect of External Cryoprotectant as Membrane Stabilizers on Cryopreserved Rainbow Trout Sperm. Theriogenology 2001, 56, 623–635. [Google Scholar] [CrossRef]
- Tiersch, T.R.; Figiel, C.R.; Wayman, W.R.; Williamson, J.H.; Carmichael, G.J.; Gorman, O.T. Cryopreservation of Sperm of the Endangered Razorback Sucker. Trans. Am. Fish. Soc. 1998, 127, 95–104. [Google Scholar] [CrossRef]
- Lim, H.K.; An, C.M.; Noh, G.A.; Min, B.H. Effects of Diluents and Cryoprotectants on Sperm Cryopreservation in Starry Flounder (Platichthys stellatus). J. Aquac. 2007, 20, 173–177. [Google Scholar]
- Lim, H.K.; An, C.M.; Son, M.H.; Park, M.-W.; Kim, E.O.; Byun, S.G. Effect of diluents and temperature on sperm storage in starry flounder (Platichthys stellatus). J. Aquac. 2006, 19, 47–51. [Google Scholar]
- Lee, Y.H.; Park, J.; Lee, I.Y.; Zidni, I.; Lim, H.K. Effects of cryoprotective agents and treatment methods on sperm cryopreservation of stone flounder, Kareius bicoloratus. Aquaculture 2020, 531, 735969. [Google Scholar] [CrossRef]
- Iaffaldano, N.; Di Iorio, M.; Manchisi, A.; Esposito, S.; Gibertoni, P.P. Optimization of sperm cryopreservation protocol for mediterranean brown trout: A comparative study of non-permeating cryoprotectants and thawing rates in vitro and in vivo. Zygote 2015, 24, 668–675. [Google Scholar] [CrossRef]
- Jodun, W.A.; King, K.; Farrell, P.; Wayman, W. Methanol and Egg Yolk as Cryoprotectants for Atlantic Salmon Spermatozoa. N. Am. J. Aquac. 2007, 69, 36–40. [Google Scholar] [CrossRef]
- Alderson, R.; Macneil, A.J. Preliminary investigations of cryopreservation of milt of Atlantic salmon (Salmo salar) and its application to commercial farming. Aquaculture 1984, 43, 351–354. [Google Scholar] [CrossRef]
- Legendre, M.; Billard, R. Cryopreservation by deep-freezing. Reprod. Nutr. Dév. 1980, 20, 1859–1868. [Google Scholar] [CrossRef] [PubMed]
- Piironen, J. Cryopreservation of sperm from brown trout (Salmo trutta m. lacustris L.) and Arctic charr (Salvelinus alpinus L.). Aquaculture 1993, 116, 275–285. [Google Scholar] [CrossRef]
- Babiak, I.; Glogowski, J.; Kujawa, R.; Kucharczyk, D.; Mamcarz, A. Cryopreservation of Sperm from Asp Aspius aspius. Progress. Fish-Cult. 1998, 60, 146–148. [Google Scholar] [CrossRef]
- Costa-Neto, E.M. Animal-based medicines: Biological prospection and the sustainable use of zootherapeutic resources. An. Acad. Bras. Cienc. 2005, 77, 33–43. [Google Scholar] [CrossRef]
- Lanes, C.F.C.; Okamoto, M.; Cavalcanti, P.V.; Collares, T.; Campos, V.F.; Deschamps, J.C.; Robaldo, R.B.; Marins, L.F.; Sampaio, L.A. Cryopreservation of Brazilian flounder (Paralichthys orbignyanus) sperm. Aquaculture 2008, 275, 361–365. [Google Scholar] [CrossRef]
- Muchlisin, Z.A. Current Status of Extenders and Cryoprotectants on Fish Spermatozoa Cryopreservation. Biodiversitas J. Biol. Divers. 2005, 6, 66–69. [Google Scholar] [CrossRef]
- Chang, Y.-J.; Chang, Y.-J.; Lim, H.-K. Cryopreservation of Tiger Puffer (Takifugu rubripes) Sperm. Dev. Reprod. 1997, 1, 29–36. [Google Scholar]
- Ding, F.; Lall, S.P.; Li, J.; Lei, J.; Rommens, M.; Milley, J.E. Cryopreservation of sperm from Atlantic halibut (Hippoglossus hippoglossus, L.) for commercial application. Cryobiology 2011, 63, 56–60. [Google Scholar] [CrossRef]
- Brown, R.T.; Colburn, H.R.; Nardi, G.C.; Berlinsky, D.L. Cryopreservation of summer flounder, paralichthys dentatus l., sperm. Aquac. Res. 2013, 44, 1560–1567. [Google Scholar] [CrossRef]
- Shaluei, F.; Sadeghi, A.; Zadmajid, V. Cryopreservation of Persian sturgeon (Acipenser persicus) sperm: effects of cryoprotectants, antioxidant, membrane stabilizer, equilibration time and dilution ratio on sperm motility and fertility. Aquac. Res. 2017, 48, 1031–1040. [Google Scholar] [CrossRef]
- Woods, E.; Thirumala, S.; Han, X.; Critser, J.K. Reproductive biology and cryobiology Chapter. In Fundamental Cryobiology of Reproductive Cells and Tissues; Donnez, J., Kim, S.S., Eds.; Cambridge University Press: Cambridge, UK, 2011; pp. 129–144. ISBN 9780511921896. [Google Scholar]
- Gwo, J.C. Cryopreservation of yellowfin seabream (Acanthopagrus latus) spermatozoa (Teleost, Perciformes, Sparidae). Theriogenology 1994, 41, 989–1004. [Google Scholar] [CrossRef]
- Zilli, L.; Schiavone, R.; Zonno, V.; Storelli, C.; Vilella, S. Evaluation of DNA damage in Dicentrarchus labrax sperm following cryopreservation. Cryobiology 2003, 47, 227–235. [Google Scholar] [CrossRef] [PubMed]
- Labbe, C.; Martoriati, A.; Devaux, A.; Maisse, G. Effect of sperm cryopreservation on sperm DNA stability and progeny development in rainbow trout. Mol. Reprod. Dev. 2001, 60, 397–404. [Google Scholar] [CrossRef] [PubMed]
- Gwo, J.-C.; Arnold, C.R. Cryopreservation of Atlantic croaker spermatozoa: Evaluation of morphological changes. J. Exp. Zool. 1992, 264, 444–453. [Google Scholar] [CrossRef]
- Gwo, J.; Jamieson, B.; Leung, L. Live Preservation of Fish Gametes. In Reproductive Biology and Phylogeny of Fishes, Vol 8B; Jamieson, B.G., Ed.; Taylor and Francis Group: Boca Raton, FL, USA, 2009; pp. 395–484. [Google Scholar]
- Yavaş, I.; Bozkurt, Y.; Yildiz, C. Cryopreservation of scaly carp (Cyprinus carpio) sperm: Effect of different cryoprotectant concentrations on post-thaw motility, fertilization and hatching success of embryos. Aquac. Int. 2014, 22, 141–148. [Google Scholar] [CrossRef]
- Figueroa, E.; Valdebenito, I.; Farias, J.G. Technologies used in the study of sperm function in cryopreserved fish spermatozoa. Aquac. Res. 2016, 47, 1691–1705. [Google Scholar] [CrossRef]
- Zupa, R.; Martino, N.A.; Marzano, G.; Dell’aquila, M.E.; Corriero, A. Meagre argyrosomus regius (Asso, 1801) stem spermatogonia: Histological characterization, immunostaining, in vitro proliferation, and cryopreservation. Animals 2020, 10, 851. [Google Scholar] [CrossRef]






| Control | DMSO Concentration (%) | ||||
|---|---|---|---|---|---|
| 5 | 10 | 15 | 20 | ||
| Head Length | 46.09 ± 0.69 c | 40.63 ± 1.15 e | 42.90 ± 0.93 d | 51 ± 0.68 a | 48.34 ± 0.84 b |
| Tail Length | 21.44 ± 0.38 d | 46.34 ± 1.62 c | 51.99 ± 1.81 b | 29.46 ± 0.4 b | 60.63 ± 1.27 a |
| Head Intensity | 98.08 ± 0.27 a | 77.52 ± 1.76 d | 81.72 ± 1.48 c | 91.23 ± 0.67 b | 74.38 ± 0.93 e |
| Tail Intensity | 1.92 ± 0.27 e | 22.48 ± 1.76 b | 18.27 ± 1.48 c | 8.77 ± 0.67 d | 24.95 ± 0.92 a |
| % Tail DNA | 0.36 ± 0.06 c | 5.65 ± 0.48 a | 4.54 ± 0.31 a | 2.05 ± 0.16 b | 6.22 ± 0.21 a |
| Tail Migration | 0.82 ± 0.15 e | 26.10 ± 1.69 c | 30.57 ± 1.9 b | 4.63 ± 0.39 d | 36.46 ± 1.30 a |
Publisher’s Note: MDPI stays neutral with regard to jurisdictional claims in published maps and institutional affiliations. |
© 2020 by the authors. Licensee MDPI, Basel, Switzerland. This article is an open access article distributed under the terms and conditions of the Creative Commons Attribution (CC BY) license (http://creativecommons.org/licenses/by/4.0/).
Share and Cite
Zidni, I.; Lee, Y.H.; Park, J.Y.; Lee, H.B.; Hur, J.W.; Lim, H.K. Effects of Cryoprotective Medium Composition, Dilution Ratio, and Freezing Rates on Spotted Halibut (Verasper variegatus) Sperm Cryopreservation. Animals 2020, 10, 2153. https://doi.org/10.3390/ani10112153
Zidni I, Lee YH, Park JY, Lee HB, Hur JW, Lim HK. Effects of Cryoprotective Medium Composition, Dilution Ratio, and Freezing Rates on Spotted Halibut (Verasper variegatus) Sperm Cryopreservation. Animals. 2020; 10(11):2153. https://doi.org/10.3390/ani10112153
Chicago/Turabian StyleZidni, Irfan, Yun Ho Lee, Jung Yeol Park, Hyo Bin Lee, Jun Wook Hur, and Han Kyu Lim. 2020. "Effects of Cryoprotective Medium Composition, Dilution Ratio, and Freezing Rates on Spotted Halibut (Verasper variegatus) Sperm Cryopreservation" Animals 10, no. 11: 2153. https://doi.org/10.3390/ani10112153
APA StyleZidni, I., Lee, Y. H., Park, J. Y., Lee, H. B., Hur, J. W., & Lim, H. K. (2020). Effects of Cryoprotective Medium Composition, Dilution Ratio, and Freezing Rates on Spotted Halibut (Verasper variegatus) Sperm Cryopreservation. Animals, 10(11), 2153. https://doi.org/10.3390/ani10112153

