Diagnosis and Monitoring of Hepatitis B Virus Infection Using the Cobas® HBV Test for Use on the Cobas® 4800 System
Abstract
1. Introduction
2. Materials and Methods
2.1. Standards
2.2. Clinical Specimens
2.3. HBV DNA Quantification
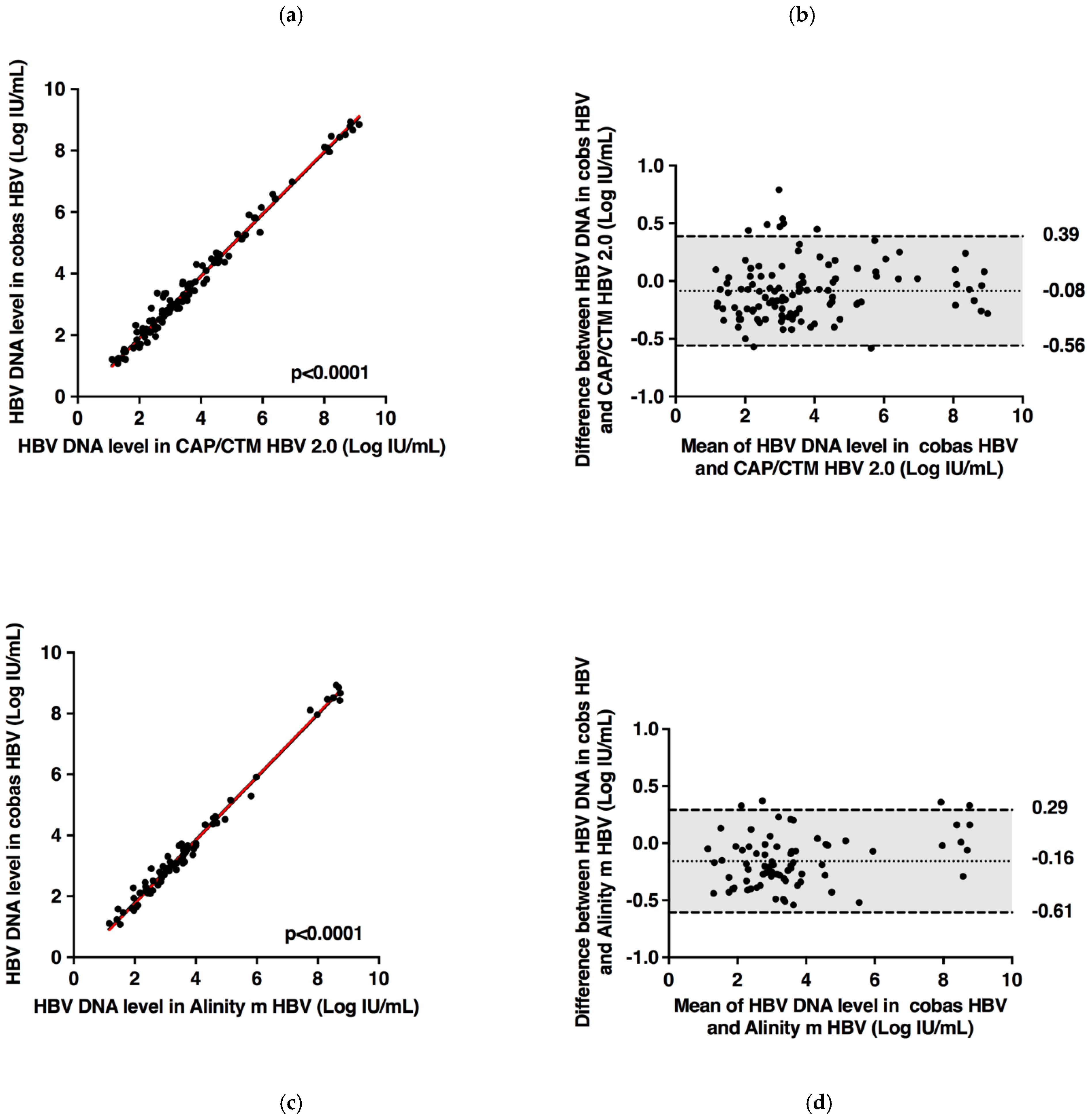
2.4. Statistical Analysis
3. Results
3.1. Specificity
3.2. Analytical Sensitivity
3.3. Precision
3.4. Linearity of a Standard Panel
3.5. Influence of Genotype on HBV DNA Quantification
3.6. Overall Percent Agreement for the Clinical Cutoffs of 2000 and 20,000 UI/mL
3.7. HBV DNA Monitoring in Patients Treated with Tenofovir-Containing Regimen
4. Discussion
5. Conclusions
Author Contributions
Funding
Institutional Review Board Statement
Informed Consent Statement
Data Availability Statement
Acknowledgments
Conflicts of Interest
References
- Schweitzer, A.; Horn, J.; Mikolajczyk, R.T.; Krause, G.; Ott, J.J. Estimations of Worldwide Prevalence of Chronic Hepatitis B Virus Infection: A Systematic Review of Data Published Between 1965 and 2013. Lancet 2015, 386, 1546–1555. [Google Scholar] [CrossRef]
- Collaborators GBDC. The global, Regional, and National Burden of Cirrhosis by Cause in 195 Countries and Territories, 1990–2017: A Systematic Analysis for the Global Burden of Disease Study 2017. Lancet Gastroenterol. Hepatol. 2020, 5, 245–266. [Google Scholar] [CrossRef]
- Fitzmaurice, C.; Abate, D.; Allen, C.; Barber, R.M.; Barregard, L.; Bhutta, Z.A.; Brenner, H.; Satpathy, M. Global Burden of Disease Cancer C, Global, Regional, and National Cancer Incidence, Mortality, Years of Life Lost, Years Lived With Disability, and Disability-Adjusted Life-Years for 29 Cancer Groups, 1990 to 2017: A Systematic Analysis for the Global Burden of Disease Study. JAMA Oncol. 2019, 5, 1749–1768. [Google Scholar] [PubMed]
- Chang, T.T.; Liaw, Y.F.; Wu, S.S.; Schiff, E.; Han, K.H.; Lai, C.L.; Kreter, B. Long-term Entecavir Therapy Results in the Reversal of Fibrosis/cirrhosis and Continued Histological Improvement in Patients with Chronic Hepatitis B. Hepatology 2010, 52, 886–893. [Google Scholar] [CrossRef] [PubMed]
- Marcellin, P.; Gane, E.; Buti, M.; Afdhal, N.; Sievert, W.; Jacobson, I.M.; Heathcote, E.J. Regression of Cirrhosis during Treatment with Tenofovir Disoproxil Fumarate for Chronic Hepatitis B: A 5-year Open-label Follow-up Study. Lancet 2013, 381, 468–475. [Google Scholar] [CrossRef]
- European Association for the Study of the Liver. 2017 Clinical Practice Guidelines on the management of hepatitis B virus infection. J. Hepatol. 2017, 67, 370–398. [Google Scholar] [CrossRef] [PubMed]
- Terrault, N.A.; Lok, A.S.F.; McMahon, B.J.; Chang, K.M.; Hwang, J.P.; Jonas, M.M.; Wong, J.B. Update on Prevention, Diagnosis, and Treatment of Chronic Hepatitis B: AASLD 2018 Hepatitis B Guidance. Hepatology 2018, 67, 1560–1599. [Google Scholar] [CrossRef] [PubMed]
- Chevaliez, S.; Bouvier-Alias, M.; Laperche, S.; Hezode, C.; Pawlotsky, J.M. Performance of Version 2.0 of the Cobas AmpliPrep/Cobas TaqMan Real-time PCR assay for Hepatitis B virus DNA Quantification. J. Clin. Microbiol. 2010, 48, 3641–3647. [Google Scholar] [CrossRef] [PubMed]
- Thibault, V.; Pichoud, C.; Mullen, C.; Rhoads, J.; Smith, J.B.; Bitbol, A.; Zoulim, F. Characterization of a New Sensitive PCR Assay for Quantification of Viral DNA Isolated from Patients with Hepatitis B Virus Infections. J. Clin. Microbiol. 2007, 45, 3948–3953. [Google Scholar] [CrossRef] [PubMed]
- Yeh, Y.C.; Liu, C.J.; Kuo, R.N.; Lai, C.L.; Shau, W.Y.; Chen, P.J.; Lai, M.S. Association of Adjuvant Antiviral Therapy with Risk of Cancer Progression and Deaths in Patients with Hepatitis-B-virus-related Hepatocellular Carcinoma Following Curative Treatment: A Nationwide Cohort Study. PLoS ONE 2014, 9, e102051. [Google Scholar] [CrossRef] [PubMed]
- Bonanzinga, S.; Chevaliez, S.; Onelia, F.; Jackson, K.; Pacenti, M.; Goldstein, E.; Galán, J.C.; Martínez-García, L.; Gunson, R. Multicenter clinical evaluation of alinity m HBV assay performance. J. Clin. Virol. 2020, 129, 104514. [Google Scholar] [CrossRef]
- Armbruster, D.A.; Pry, T. Limit of Blank, Limit of Detection and Limit of Quantitation. Clin. Biochem. Rev. 2008, 29 (Suppl. 1), 49–52. [Google Scholar]
- Chevaliez, S.; Dubernet, F.; Dauvillier, C.; Hezode, C.; Pawlotsky, J.M. The New Aptima HCV Quant Dx Real-time TMA Assay Accurately Quantifies Hepatitis C Virus Genotype 1-6 RNA. J. Clin. Virol. 2017, 91, 5–11. [Google Scholar] [CrossRef] [PubMed]
- Poiteau, L.; Wlassow, M.; Hezode, C.; Pawlotsky, J.M.; Chevaliez, S. Evaluation of the Xpert HBV Viral Load for Hepatitis B Virus Molecular Testing. J. Clin. Virol. 2020, 129, 104481. [Google Scholar] [CrossRef] [PubMed]
- Marcuccili, F.; Chevaliez, S.; Muller, T.; Colagrossi, L.; Abbondanza, G.; Beyser, K.; Ciotti, M. Multicenter Evaluation of the Cepheid Xpert HBV Viral Load test. Diagnostics 2021, 11, 297. [Google Scholar] [CrossRef] [PubMed]
- Maasoumy, B.; Bremer, B.; Lehmann, P.; Marins, E.G.; Michel-Treil, V.; Simon, C.O.; Wedemeyer, H. Commutability and concordance of four hepatitis B virus DNA assays in an international multicenter study. Therap. Adv. Gastroenterol. 2017, 10, 609–618. [Google Scholar] [CrossRef] [PubMed]
- Aretzweiler, G.; Leuchter, S.; Garcia-Alvarez, M.; Simon, C.; Marins, E.; Paxinos, E.; Canchola, J.; Delgado, R.; Frontzek, A. Analytical Performance of Four Molecular Platforms Used for HIV-1, HBV and HCV Viral Load Determinations. Expert Rev. Mol. Diagn. 2019, 19, 941–949. [Google Scholar] [CrossRef] [PubMed]
- Kim, H.; Hur, M.; Bae, E.; Lee, K.A.; Lee, W.I. Performance Evaluation of Cobas HBV Real-time PCR Assay on Roche Cobas 4800 System in Comparison with COBAS AmpliPrep/COBAS TaqMan HBV Test. Clin. Chem. Lab. Med. 2018, 56, 1133–1139. [Google Scholar] [CrossRef] [PubMed]
- Shin, K.H.; Lee, H.J.; Chang, C.L.; Kim, H.H. Performance of the Cobas Hepatitis B Virus (HBV) Test Using the Cobas 4800 System and Comparison of HBV DNA Quantification Ability between the COBAS AmpliPrep/COBAS TaqMan HBV Test Version 2.0 and Cobas HBV Test. J. Clin. Virol. 2018, 101, 47–51. [Google Scholar] [CrossRef] [PubMed]




| CAP/CTM HBV Test v2.0 | ||||
|---|---|---|---|---|
| cobas® HBV Test | <2000 IU/mL | ≥2000 IU/mL | Total | |
| <2000 IU/mL | 55 | 6 | 61 | |
| ≥2000 IU/mL | 3 | 57 | 60 | |
| Total | 58 | 63 | 121 | |
| <20,000 IU/mL | ≥20,000 IU/mL | Total | ||
| <20,000 IU/mL | 84 | 0 | 84 | |
| ≥20,000 IU/mL | 1 | 36 | 37 | |
| Total | 85 | 36 | 121 | |
| Alinity™ m HBV | ||||
|---|---|---|---|---|
| cobas® HBV Test | <2000 IU/mL | ≥2000 IU/mL | Total | |
| <2000 IU/mL | 39 | 5 | 44 | |
| ≥2000 IU/mL | 1 | 38 | 39 | |
| Total | 40 | 43 | 83 | |
| <20,000 IU/mL | ≥20,000 IU/mL | Total | ||
| <20,000 IU/mL | 62 | 0 | 62 | |
| ≥20,000 IU/mL | 0 | 21 | 21 | |
| Total | 62 | 21 | 83 | |
Publisher’s Note: MDPI stays neutral with regard to jurisdictional claims in published maps and institutional affiliations. |
© 2021 by the authors. Licensee MDPI, Basel, Switzerland. This article is an open access article distributed under the terms and conditions of the Creative Commons Attribution (CC BY) license (http://creativecommons.org/licenses/by/4.0/).
Share and Cite
Ortonne, V.; Wlassow, M.; Bouvier-Alias, M.; Melica, G.; Poveda, J.-D.; Laperche, S.; Pawlotsky, J.-M.; Chevaliez, S. Diagnosis and Monitoring of Hepatitis B Virus Infection Using the Cobas® HBV Test for Use on the Cobas® 4800 System. Microorganisms 2021, 9, 573. https://doi.org/10.3390/microorganisms9030573
Ortonne V, Wlassow M, Bouvier-Alias M, Melica G, Poveda J-D, Laperche S, Pawlotsky J-M, Chevaliez S. Diagnosis and Monitoring of Hepatitis B Virus Infection Using the Cobas® HBV Test for Use on the Cobas® 4800 System. Microorganisms. 2021; 9(3):573. https://doi.org/10.3390/microorganisms9030573
Chicago/Turabian StyleOrtonne, Valérie, Mélanie Wlassow, Magali Bouvier-Alias, Giovana Melica, Jean-Dominique Poveda, Syria Laperche, Jean-Michel Pawlotsky, and Stephane Chevaliez. 2021. "Diagnosis and Monitoring of Hepatitis B Virus Infection Using the Cobas® HBV Test for Use on the Cobas® 4800 System" Microorganisms 9, no. 3: 573. https://doi.org/10.3390/microorganisms9030573
APA StyleOrtonne, V., Wlassow, M., Bouvier-Alias, M., Melica, G., Poveda, J.-D., Laperche, S., Pawlotsky, J.-M., & Chevaliez, S. (2021). Diagnosis and Monitoring of Hepatitis B Virus Infection Using the Cobas® HBV Test for Use on the Cobas® 4800 System. Microorganisms, 9(3), 573. https://doi.org/10.3390/microorganisms9030573

