Molecular and Microbial Signatures Predictive of Prebiotic Action of Neoagarotetraose in a Dextran Sulfate Sodium-Induced Murine Colitis Model
Abstract
1. Introduction
2. Materials and Methods
2.1. Animals Experiment
2.2. Diet Information
2.3. Tissue Histology
2.4. Gene Expression Analysis Using Quantitative RT PCR
2.5. DNA Extraction and 16S rRNA Gene Sequencing
2.6. Bioinformatic Analysis of 16S rRNA Gene Sequences
2.7. Global Metabolite Analysis
2.8. Statistical Analysis
3. Results
3.1. Neoagarotetraose Promoted the Repair of DSS-Induced Colon Tissue Damage
3.2. Neoagarotetraose Partially Restored Gut Microbial Dysbiosis Induced by DSS
3.3. Microbial Signatures for Neoagarotetraose Supplementation
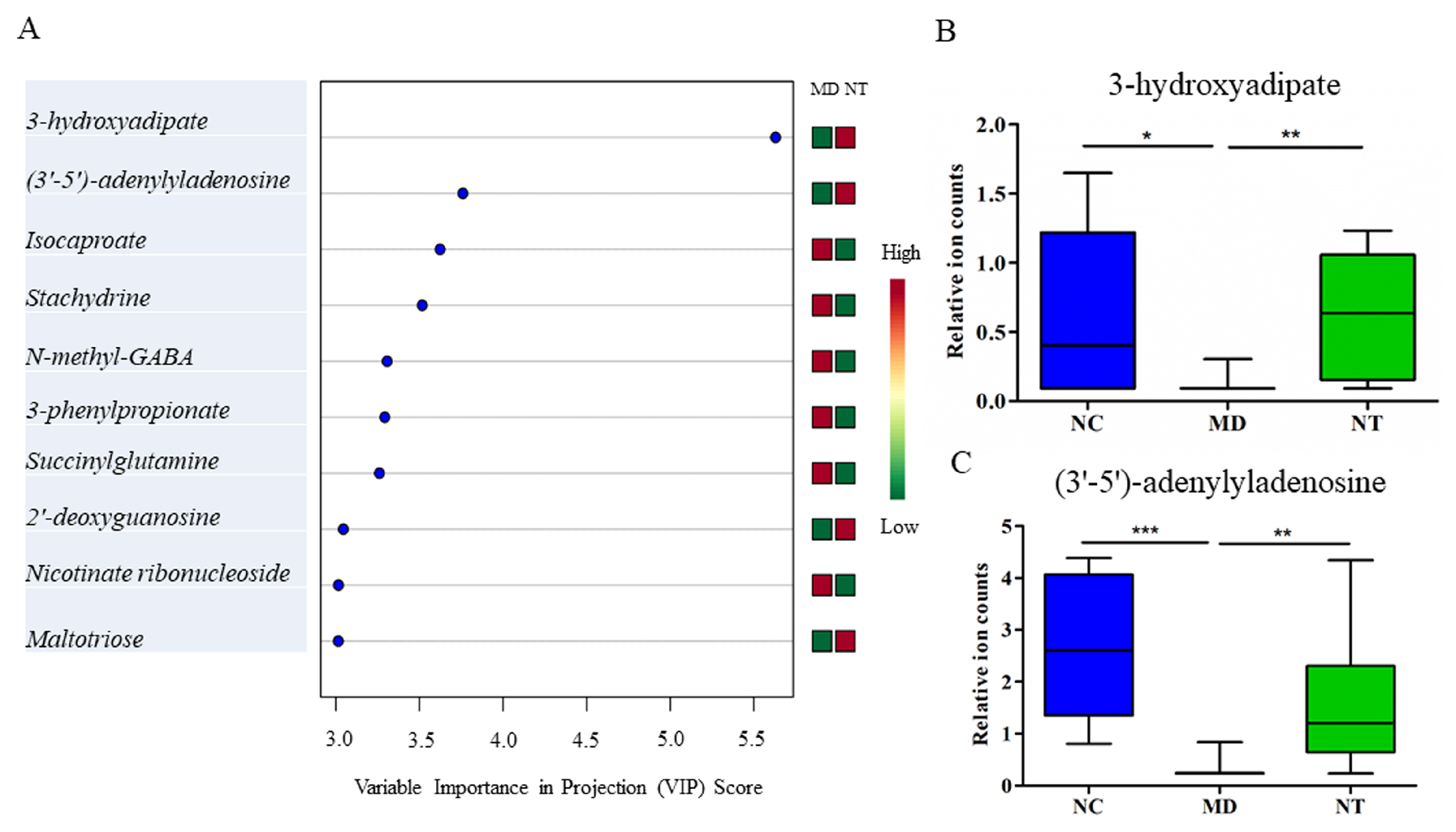
3.4. Neoagarotetraose Reversed Key Metabolic Pathways Dysregulated by DSS
4. Discussion
5. Conclusions
Supplementary Materials
Author Contributions
Funding
Acknowledgments
Conflicts of Interest
References
- Ungaro, F.; Rubbino, F.; Danese, S.; D’Alessio, S. Actors and Factors in the Resolution of Intestinal Inflammation: Lipid Mediators As a New Approach to Therapy in Inflammatory Bowel Diseases. Front. Immunol. 2017, 8, 1331. [Google Scholar] [CrossRef] [PubMed]
- Wallace, K.L.; Zheng, L.B.; Kanazawa, Y.; Shih, D.Q. Immunopathology of inflammatory bowel disease. World J. Gastroenterol. 2014, 20, 6–21. [Google Scholar] [CrossRef] [PubMed]
- Liu, F.; Wang, T.T.Y.; Tang, Q.; Xue, C.; Li, R.W.; Wu, V.C.H. Malvidin 3-Glucoside Modulated Gut Microbial Dysbiosis and Global Metabolome Disrupted in a Murine Colitis Model Induced by Dextran Sulfate Sodium. Mol. Nutr. Food Res. 2019, 63, e1900455. [Google Scholar] [CrossRef] [PubMed]
- Jiminez, J.A.; Uwiera, T.C.; Abbott, D.W.; Uwiera, R.R.E.; Inglis, G.D. Butyrate Supplementation at High Concentrations Alters Enteric Bacterial Communities and Reduces Intestinal Inflammation in Mice Infected with Citrobacter rodentium. MSphere 2017, 2. [Google Scholar] [CrossRef]
- Nitzan, O.; Elias, M.; Chazan, B.; Raz, R.; Saliba, W. Clostridium difficile and inflammatory bowel disease: Role in pathogenesis and implications in treatment. World J. Gastroenterol. 2013, 19, 7577–7585. [Google Scholar] [CrossRef]
- Postler, T.S.; Ghosh, S. Understanding the Holobiont: How Microbial Metabolites Affect Human Health and Shape the Immune System. Cell Metab. 2017, 26, 110–130. [Google Scholar] [CrossRef]
- Lavelle, A.; Sokol, H. Gut microbiota-derived metabolites as key actors in inflammatory bowel disease. Nat. Rev. Gastroenterol. Hepatol. 2020, 17, 223–237. [Google Scholar] [CrossRef]
- Macfarlane, G.T.; Macfarlane, S. Bacteria, colonic fermentation, and gastrointestinal health. J. AOAC Int. 2012, 95, 50–60. [Google Scholar] [CrossRef]
- Liu, F.; Smith, A.D.; Solano-Aguilar, G.; Wang, T.T.Y.; Pham, Q.; Beshah, E.; Tang, Q.; Urban, J.F., Jr.; Xue, C.; Li, R.W. Mechanistic insights into the attenuation of intestinal inflammation and modulation of the gut microbiome by krill oil using in vitro and in vivo models. Microbiome 2020, 8, 83. [Google Scholar] [CrossRef]
- De Filippo, C.; Cavalieri, D.; Di Paola, M.; Ramazzotti, M.; Poullet, J.B.; Massart, S.; Collini, S.; Pieraccini, G.; Lionetti, P. Impact of diet in shaping gut microbiota revealed by a comparative study in children from Europe and rural Africa. Proc. Natl. Acad. Sci. USA 2010, 107, 14691–14696. [Google Scholar] [CrossRef]
- Rastall, R.A. Functional oligosaccharides: Application and manufacture. Annu. Rev. Food Sci. Technol. 2010, 1, 305–339. [Google Scholar] [CrossRef]
- Bruno-Barcena, J.M.; Azcarate-Peril, M.A. Galacto-oligosaccharides and Colorectal Cancer: Feeding our Intestinal Probiome. J. Funct. Foods 2015, 12, 92–108. [Google Scholar] [CrossRef] [PubMed]
- Looijer-van Langen, M.A.; Dieleman, L.A. Prebiotics in chronic intestinal inflammation. Inflamm. Bowel Dis. 2009, 15, 454–462. [Google Scholar] [CrossRef] [PubMed]
- Xu, S.Y.; Huang, X.; Cheong, K.L. Recent Advances in Marine Algae Polysaccharides: Isolation, Structure, and Activities. Mar. Drugs 2017, 15, 388. [Google Scholar] [CrossRef] [PubMed]
- Hong, S.J.; Lee, J.; Kim, E.J.; Hea, J.Y.; Yong, K.C.; Jae, S.P.; Soon, K.H. In vitro and in vivo investigation for biological activities of neoagarooligosaccharides prepared by hydrolyzing agar with β-agarase. Biotechnol. Bioproc. 2017, 22. [Google Scholar] [CrossRef]
- Wang, W.; Liu, P.; Hao, C.; Wu, L.; Wan, W.; Mao, X. Neoagaro-oligosaccharide monomers inhibit inflammation in LPS-stimulated macrophages through suppression of MAPK and NF-kappaB pathways. Sci. Rep. 2017, 7, 44252. [Google Scholar] [CrossRef]
- Zhang, N.; Mao, X.; Li, R.W.; Hou, E.; Wang, Y.; Xue, C.; Tang, Q. Neoagarotetraose protects mice against intense exercise-induced fatigue damage by modulating gut microbial composition and function. Mol. Nutr. Food Res. 2017, 61. [Google Scholar] [CrossRef]
- Zhang, N.; Hou, E.; Song, J.; Li, J.; Tang, Q.; Mao, X. Neoagarotetraose-modulated gut microbiota and alleviated gut inflammation in antibiotic treatment mice. Food Agric. Immunol. 2017, 28, 1408–1423. [Google Scholar] [CrossRef]
- Hu, B.; Gong, Q.; Wang, Y.; Ma, Y.; Li, J.; Yu, W. Prebiotic effects of neoagaro-oligosaccharides prepared by enzymatic hydrolysis of agarose. Anaerobe 2006, 12, 260–266. [Google Scholar] [CrossRef]
- Liu, N.; Mao, X.; Du, Z.; Mu, B.; Wei, D. Cloning and characterisation of a novel neoagarotetraose-forming-beta-agarase, AgWH50A from Agarivorans gilvus WH0801. Carbohydr. Res. 2014, 388, 147–151. [Google Scholar] [CrossRef]
- Smith, A.D.; Botero, S.; Shea-Donohue, T.; Urban, J.F., Jr. The pathogenicity of an enteric Citrobacter rodentium Infection is enhanced by deficiencies in the antioxidants selenium and vitamin E. Infect. Immun. 2011, 79, 1471–1478. [Google Scholar] [CrossRef] [PubMed]
- Liu, F.; Horton-Sparks, K.; Hull, V.; Li, R.W.; Martinez-Cerdeno, V. The valproic acid rat model of autism presents with gut bacterial dysbiosis similar to that in human autism. Mol. Autism. 2018, 9, 61. [Google Scholar] [CrossRef]
- Segata, N.; Izard, J.; Waldron, L.; Gevers, D.; Miropolsky, L.; Garrett, W.S.; Huttenhower, C. Metagenomic biomarker discovery and explanation. Genome Biol. 2011, 12, R60. [Google Scholar] [CrossRef]
- Mandal, S.; Van Treuren, W.; White, R.A.; Eggesbo, M.; Knight, R.; Peddada, S.D. Analysis of composition of microbiomes: A novel method for studying microbial composition. Microb. Ecol. Health Dis. 2015, 26, 27663. [Google Scholar] [CrossRef] [PubMed]
- Rivera-Pinto, J.; Egozcue, J.J.; Pawlowsky-Glahn, V.; Paredes, R.; Noguera-Julian, M.; Calle, M.L. Balances: A New Perspective for Microbiome Analysis. MSystems 2018, 3. [Google Scholar] [CrossRef] [PubMed]
- Pittayanon, R.; Lau, J.T.; Leontiadis, G.I.; Tse, F.; Yuan, Y.; Surette, M.; Moayyedi, P. Differences in Gut Microbiota in Patients With vs Without Inflammatory Bowel Diseases: A Systematic Review. Gastroenterology 2020, 158, 930–946 e931. [Google Scholar] [CrossRef] [PubMed]
- Makki, K.; Deehan, E.C.; Walter, J.; Backhed, F. The Impact of Dietary Fiber on Gut Microbiota in Host Health and Disease. Cell Host Microbe. 2018, 23, 705–715. [Google Scholar] [CrossRef]
- Ibanez, E.; Cifuentes, A. Benefits of using algae as natural sources of functional ingredients. J. Sci. Food Agric. 2013, 93, 703–709. [Google Scholar] [CrossRef]
- Sardari, R.R.R.; Nordberg Karlsson, E. Marine Poly- and Oligosaccharides as Prebiotics. J. Agric. Food Chem. 2018, 66, 11544–11549. [Google Scholar] [CrossRef]
- Gurpilhares, D.B.; Cinelli, L.P.; Simas, N.K.; Pessoa, A., Jr.; Sette, L.D. Marine prebiotics: Polysaccharides and oligosaccharides obtained by using microbial enzymes. Food Chem. 2019, 280, 175–186. [Google Scholar] [CrossRef]
- Cheong, K.L.; Qiu, H.M.; Du, H.; Liu, Y.; Khan, B.M. Oligosaccharides Derived from Red Seaweed: Production, Properties, and Potential Health and Cosmetic Applications. Molecules 2018, 23, 2451. [Google Scholar] [CrossRef]
- Shang, Q.; Jiang, H.; Cai, C.; Hao, J.; Li, G.; Yu, G. Gut microbiota fermentation of marine polysaccharides and its effects on intestinal ecology: An overview. Carbohydr. Polym. 2018, 179, 173–185. [Google Scholar] [CrossRef] [PubMed]
- Barnig, C.; Bezema, T.; Calder, P.C.; Charloux, A.; Frossard, N.; Garssen, J.; Haworth, O.; Dilevskaya, K.; Levi-Schaffer, F.; Lonsdorfer, E.; et al. Activation of Resolution Pathways to Prevent and Fight Chronic Inflammation: Lessons From Asthma and Inflammatory Bowel Disease. Front. Immunol. 2019, 10, 1699. [Google Scholar] [CrossRef] [PubMed]
- Cholapranee, A.; Hazlewood, G.S.; Kaplan, G.G.; Peyrin-Biroulet, L.; Ananthakrishnan, A.N. Systematic review with meta-analysis: Comparative efficacy of biologics for induction and maintenance of mucosal healing in Crohn’s disease and ulcerative colitis controlled trials. Aliment. Pharmacol. Ther. 2017, 45, 1291–1302. [Google Scholar] [CrossRef]
- Alam, A.; Neish, A. Role of gut microbiota in intestinal wound healing and barrier function. Tissue Barriers 2018, 6, 1539595. [Google Scholar] [CrossRef] [PubMed]
- Dicksved, J.; Schreiber, O.; Willing, B.; Petersson, J.; Rang, S.; Phillipson, M.; Holm, L.; Roos, S. Lactobacillus reuteri maintains a functional mucosal barrier during DSS treatment despite mucus layer dysfunction. PLoS ONE 2012, 7, e46399. [Google Scholar] [CrossRef]
- Shin, N.R.; Whon, T.W.; Bae, J.W. Proteobacteria: Microbial signature of dysbiosis in gut microbiota. Trends Biotechnol. 2015, 33, 496–503. [Google Scholar] [CrossRef]
- Round, J.L.; Mazmanian, S.K. The gut microbiota shapes intestinal immune responses during health and disease. Nat. Rev. Immunol. 2009, 9, 313–323. [Google Scholar] [CrossRef]
- Alam, A.; Leoni, G.; Quiros, M.; Wu, H.; Desai, C.; Nishio, H.; Jones, R.M.; Nusrat, A.; Neish, A.S. The microenvironment of injured murine gut elicits a local pro-restitutive microbiota. Nat. Microbiol. 2016, 1, 15021. [Google Scholar] [CrossRef]
- Bian, X.; Wu, W.; Yang, L.; Lv, L.; Wang, Q.; Li, Y.; Ye, J.; Fang, D.; Wu, J.; Jiang, X.; et al. Administration of Akkermansia muciniphila Ameliorates Dextran Sulfate Sodium-Induced Ulcerative Colitis in Mice. Front. Microbiol. 2019, 10, 2259. [Google Scholar] [CrossRef]
- Berry, D.; Schwab, C.; Milinovich, G.; Reichert, J.; Ben Mahfoudh, K.; Decker, T.; Engel, M.; Hai, B.; Hainzl, E.; Heider, S.; et al. Phylotype-level 16S rRNA analysis reveals new bacterial indicators of health state in acute murine colitis. ISME J. 2012, 6, 2091–2106. [Google Scholar] [CrossRef] [PubMed]
- Zhang, S.L.; Wang, S.N.; Miao, C.Y. Influence of Microbiota on Intestinal Immune System in Ulcerative Colitis and Its Intervention. Front. Immunol. 2017, 8, 1674. [Google Scholar] [CrossRef] [PubMed]
- Friedman, E.S.; Bittinger, K.; Esipova, T.V.; Hou, L.; Chau, L.; Jiang, J.; Mesaros, C.; Lund, P.J.; Liang, X.; FitzGerald, G.A.; et al. Microbes vs. chemistry in the origin of the anaerobic gut lumen. Proc. Natl. Acad. Sci. USA 2018, 115, 4170–4175. [Google Scholar] [CrossRef] [PubMed]
- Okumura, R.; Takeda, K. Maintenance of intestinal homeostasis by mucosal barriers. Inflamm. Regen. 2018, 38, 5. [Google Scholar] [CrossRef] [PubMed]
- Scoville, E.A.; Allaman, M.M.; Brown, C.T.; Motley, A.K.; Horst, S.N.; Williams, C.S.; Koyama, T.; Zhao, Z.; Adams, D.W.; Beaulieu, D.B.; et al. Alterations in Lipid, Amino Acid, and Energy Metabolism Distinguish Crohn’s Disease from Ulcerative Colitis and Control Subjects by Serum Metabolomic Profiling. Metabolomics 2018, 14, 17. [Google Scholar] [CrossRef]
- MacGlashan, D., Jr. Histamine: A mediator of inflammation. J. Allergy Clin. Immunol. 2003, 112, S53–S59. [Google Scholar] [CrossRef]
- Holan, V.; Kuffova, L.; Zajicova, A.; Krulova, M.; Filipec, M.; Holler, P.; Jancarek, A. Urocanic acid enhances IL-10 production in activated CD4+ T cells. J. Immunol. 1998, 161, 3237–3241. [Google Scholar]
- Fujiwara, K.; Masuyama, Y.; Kitagawa, T. Immunocytochemical localization of polyamines in the gastrointestinal tracts of rats and mice. Histochem. Cell Biol. 1996, 106, 465–471. [Google Scholar] [CrossRef]
- Tofalo, R.; Cocchi, S.; Suzzi, G. Polyamines and Gut Microbiota. Front. Nutr. 2019, 6, 16. [Google Scholar] [CrossRef]
- Hiippala, K.; Kainulainen, V.; Kalliomaki, M.; Arkkila, P.; Satokari, R. Mucosal Prevalence and Interactions with the Epithelium Indicate Commensalism of Sutterella spp. Front. Microbiol. 2016, 7, 1706. [Google Scholar] [CrossRef]
- De Angelis, M.; Piccolo, M.; Vannini, L.; Siragusa, S.; De Giacomo, A.; Serrazzanetti, D.I.; Cristofori, F.; Guerzoni, M.E.; Gobbetti, M.; Francavilla, R. Fecal microbiota and metabolome of children with autism and pervasive developmental disorder not otherwise specified. PLoS ONE 2013, 8, e76993. [Google Scholar] [CrossRef] [PubMed]
- Jiang, Q. Natural forms of vitamin E: Metabolism, antioxidant, and anti-inflammatory activities and their role in disease prevention and therapy. Free Radic. Biol. Med. 2014, 72, 76–90. [Google Scholar] [CrossRef] [PubMed]
- Santoru, M.L.; Piras, C.; Murgia, A.; Palmas, V.; Camboni, T.; Liggi, S.; Ibba, I.; Lai, M.A.; Orru, S.; Blois, S.; et al. Cross sectional evaluation of the gut-microbiome metabolome axis in an Italian cohort of IBD patients. Sci. Rep. 2017, 7, 9523. [Google Scholar] [CrossRef] [PubMed]








| p Value | Fold | |||||
|---|---|---|---|---|---|---|
| Pathway | Metabolite | MD/NC | NT/MD | MD/NC | NT/MD | Category |
| Aminosugar Metabolism | fucose | 0.0213 | 0.0244 | 2.73 | 0.35 | Carbohydrate |
| Aminosugar Metabolism | N-acetylglucosamine 6-sulfate | 0.0003 | 0.0273 | 9.15 | 0.26 | Carbohydrate |
| Ascorbate and Aldarate Metabolism | gulonate | 0.0021 | 0.0413 | 60.57 | 0.06 | Cofactors and Vitamins |
| Creatine Metabolism | guanidinoacetate | 0.0585 | 0.0411 | 1.86 | 0.49 | Amino Acid |
| Dinucleotide | (3’-5’)-adenylyladenosine | 0.0000 | 0.0158 | 0.12 | 5.14 | Nucleotide |
| Fatty Acid Metabolism | butyrylglycine | 0.0178 | 0.0178 | 1.86 | 0.54 | Lipid |
| Fatty Acid, Dicarboxylate | 2-hydroxyglutarate | 0.0152 | 0.0058 | 1.81 | 0.45 | Lipid |
| Fatty Acid, Dicarboxylate | 3-hydroxyadipate | 0.0107 | 0.0270 | 0.22 | 4.19 | Lipid |
| Fatty Acid, Dicarboxylate | dodecadienoate (12:2) | 0.0003 | 0.0161 | 4.82 | 0.27 | Lipid |
| Fatty Acid, Dicarboxylate | suberate (C8-DC) | 0.0488 | 0.0307 | 0.63 | 0.59 | Lipid |
| Fatty Acid, Monohydroxy | 3-hydroxydecanoate | 0.0001 | 0.0157 | 4.68 | 0.37 | Lipid |
| Food Component/Plant | dipicolinate | 0.2604 | 0.0159 | 1.51 | 0.24 | Xenobiotics |
| Food Component/Plant | piperidine | 0.3545 | 0.0102 | 1.49 | 0.27 | Xenobiotics |
| Food Component/Plant | vanillate | 0.0069 | 0.0082 | 1.43 | 0.71 | Xenobiotics |
| Galactosyl Glycerolipids | 1-palmitoyl-galactosylglycerol (16:0) | 0.0116 | 0.0012 | 0.47 | 3.02 | Lipid |
| Glutamate Metabolism | S-1-pyrroline-5-carboxylate | 0.0009 | 0.0462 | 2.88 | 0.53 | Amino Acid |
| Glutamate Metabolism | succinylglutamine | 0.0002 | 0.0181 | 24.30 | 0.18 | Amino Acid |
| Glycine, Serine and Threonine Metabolism | N-acetylserine | 0.0001 | 0.0291 | 3.82 | 0.40 | Amino Acid |
| Histidine Metabolism | cis-urocanate | 0.1436 | 0.0074 | 1.65 | 2.16 | Amino Acid |
| Long Chain Monounsaturated Fatty Acid | erucate (22:1n9) | 0.8395 | 0.0335 | 1.01 | 1.90 | Lipid |
| Lysine Metabolism | N-acetyl-cadaverine | 0.1339 | 0.0025 | 2.06 | 2.12 | Amino Acid |
| Lysophospholipid | 1-oleoyl-GPG (18:1) | 0.0119 | 0.0449 | 3.92 | 2.51 | Lipid |
| Medium Chain Fatty Acid | caprylate (8:0) | 0.0750 | 0.0156 | 1.52 | 0.54 | Lipid |
| Medium Chain Fatty Acid | cis-4-decenoate (10:1n6) | 0.0049 | 0.0224 | 4.09 | 0.30 | Lipid |
| Medium Chain Fatty Acid | heptanoate (7:0) | 0.0017 | 0.0379 | 2.53 | 0.43 | Lipid |
| Nicotinate and Nicotinamide Metabolism | nicotinamide riboside | 0.7553 | 0.0289 | 1.44 | 2.42 | Cofactors and Vitamins |
| Phosphatidylethanolamine (PE) | 1-oleoyl-2-linoleoyl-GPE (18:1/18:2) | 0.0309 | 0.0467 | 4.58 | 0.21 | Lipid |
| Phosphatidylethanolamine (PE) | 1-palmitoyl-2-linoleoyl-GPE (16:0/18:2) | 0.0011 | 0.0456 | 2.89 | 0.52 | Lipid |
| Phospholipid Metabolism | glycerophosphoserine | 0.0000 | 0.0441 | 19.33 | 0.25 | Lipid |
| Purine, (Hypo)Xanthine/Inosine containing | 2’-deoxyinosine | 0.0022 | 0.0051 | 0.34 | 3.57 | Nucleotide |
| Purine Metabolism, Guanine containing | 2’-deoxyguanosine | 0.0025 | 0.0068 | 0.28 | 5.09 | Nucleotide |
| Pyrimidine Metabolism, Uracil containing | beta-alanine | 0.1512 | 0.0282 | 1.95 | 0.37 | Nucleotide |
| Sterol | campesterol | 0.3166 | 0.0169 | 0.91 | 1.38 | Lipid |
| Sterol | stigmastadienone | 0.0133 | 0.0001 | 0.87 | 1.34 | Lipid |
| TCA Cycle | 2-methylcitrate/homocitrate | 0.0751 | 0.0447 | 1.59 | 0.55 | Energy |
| Tocopherol Metabolism | delta-tocopherol | 0.0021 | 0.0307 | 1.61 | 1.45 | Cofactors and Vitamins |
| Tryptophan Metabolism | indole-3-carboxylate | 0.0458 | 0.0145 | 1.68 | 0.52 | Amino Acid |
© 2020 by the authors. Licensee MDPI, Basel, Switzerland. This article is an open access article distributed under the terms and conditions of the Creative Commons Attribution (CC BY) license (http://creativecommons.org/licenses/by/4.0/).
Share and Cite
Liu, F.; Liu, J.; Wang, T.T.Y.; Liu, Z.; Xue, C.; Mao, X.; Tang, Q.; Li, R.W. Molecular and Microbial Signatures Predictive of Prebiotic Action of Neoagarotetraose in a Dextran Sulfate Sodium-Induced Murine Colitis Model. Microorganisms 2020, 8, 995. https://doi.org/10.3390/microorganisms8070995
Liu F, Liu J, Wang TTY, Liu Z, Xue C, Mao X, Tang Q, Li RW. Molecular and Microbial Signatures Predictive of Prebiotic Action of Neoagarotetraose in a Dextran Sulfate Sodium-Induced Murine Colitis Model. Microorganisms. 2020; 8(7):995. https://doi.org/10.3390/microorganisms8070995
Chicago/Turabian StyleLiu, Fang, Jianan Liu, Thomas T.Y. Wang, Zhen Liu, Changhu Xue, Xiangzhao Mao, Qingjuan Tang, and Robert W. Li. 2020. "Molecular and Microbial Signatures Predictive of Prebiotic Action of Neoagarotetraose in a Dextran Sulfate Sodium-Induced Murine Colitis Model" Microorganisms 8, no. 7: 995. https://doi.org/10.3390/microorganisms8070995
APA StyleLiu, F., Liu, J., Wang, T. T. Y., Liu, Z., Xue, C., Mao, X., Tang, Q., & Li, R. W. (2020). Molecular and Microbial Signatures Predictive of Prebiotic Action of Neoagarotetraose in a Dextran Sulfate Sodium-Induced Murine Colitis Model. Microorganisms, 8(7), 995. https://doi.org/10.3390/microorganisms8070995

