Variovorax sp. Has an Optimum Cell Density to Fully Function as a Plant Growth Promoter
Abstract
1. Introduction
2. Materials and Methods
2.1. Bacterial Strains and Growth Conditions
2.2. Biochemical Characteristics
2.3. Morphological Observation of HRRK170 by Scanning Electron Microscopy
2.4. Effect of HRRK170 on the Plant Growth
2.5. Tissue Localization of HRRK170 in Plant Roots
2.6. Calculation of HRRK170 Cell Density Using Color Development by GUS Staining
2.7. Statistical Analysis
3. Results
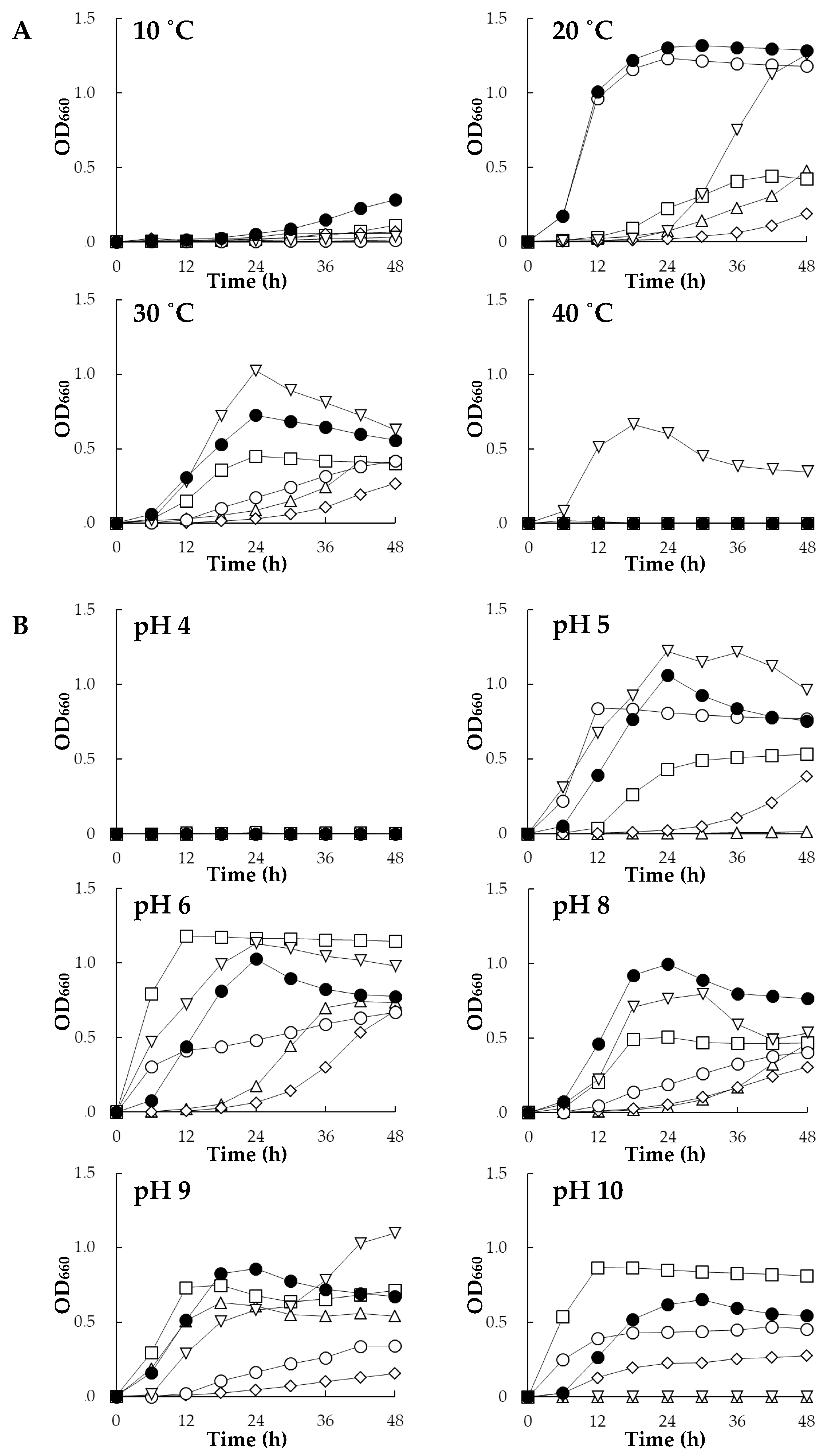
3.1. Bacterial Growth Under Different Temperatures and pH Values
3.2. Biochemical Characteristics of Six Strains
3.3. Morphological Characteristics of HRRK170
3.4. Effect of HRRK170 on the Growth of Vegetable Seedlings
3.5. Plant Tissue Localization of HRRK 170
3.6. Evaluation of HRRK 170 Cell Density Localized in the Plant Roots
4. Discussion
Author Contributions
Funding
Conflicts of Interest
References
- Neumann, G. Root exudates and nutrient cycling. In Nutrient Cycling in Terrestrial Ecosystems; Marschner, P., Rengel, Z., Eds.; Soil Biology; Springer: Berlin/Heidelberg, Germany, 2007; pp. 123–157. ISBN 978-3-540-68027-7. [Google Scholar]
- Shahzad, S.M.; Arshad, M.; Khalid, M.; Mehboob, I. Integrated use of plant growth promoting bacteria and p-enriched compost for improving growth, yield and nodulation of chickpea. Pak. J. Bot. 2008, 40, 1735–1741. [Google Scholar]
- Olanrewaju, O.S.; Glick, B.R.; Babalola, O.O. Mechanisms of action of plant growth promoting bacteria. World J. Microbiol. Biotechnol. 2017, 33, 197. [Google Scholar] [CrossRef] [PubMed]
- De Souza, R.; Ambrosini, A.; Passaglia, L.M.P. Plant growth-promoting bacteria as inoculants in agricultural soils. Genet. Mol. Biol. 2015, 38, 401–419. [Google Scholar] [CrossRef] [PubMed]
- Vessey, J.K. Plant growth promoting rhizobacteria as biofertilizers. Plant Soil 2003, 255, 571–586. [Google Scholar] [CrossRef]
- Tsurumaru, H.; Okubo, T.; Okazaki, K.; Hashimoto, M.; Kakizaki, K.; Hanzawa, E.; Takahashi, H.; Asanome, N.; Tanaka, F.; Sekiyama, Y.; et al. Metagenomic analysis of the bacterial community associated with the taproot of sugar beet. Microbes Environ. 2015, 30, 63–69. [Google Scholar] [CrossRef] [PubMed]
- Glick, B.R. Modulation of plant ethylene levels by the bacterial enzyme ACC deaminase. FEMS Microbiol. Lett. 2005, 251, 1–7. [Google Scholar] [CrossRef] [PubMed]
- Van Veen, J.A.; van Overbeek, L.S.; van Elsas, J.D. Fate and activity of microorganisms introduced into soil. Microbiol. Mol. Biol. Rev. 1997, 61, 121–135. [Google Scholar] [PubMed]
- Belimov, A.A.; Dodd, I.C.; Hontzeas, N.; Theobald, J.C.; Safronova, V.I.; Davies, W.J. Rhizosphere bacteria containing 1-aminocyclopropane-1-carboxylate deaminase increase yield of plants grown in drying soil via both local and systemic hormone signalling. New Phytol. 2009, 181, 413–423. [Google Scholar] [CrossRef] [PubMed]
- Zaidi, A.; Khan, M.S.; Saif, S.; Rizvi, A.; Ahmed, B.; Shahid, M. Role of nitrogen-fixing plant growth-promoting rhizobacteria in sustainable production of vegetables: current perspective. In Microbial Strategies for Vegetable Production; Zaidi, A., Khan, M.S., Eds.; Springer International Publishing: Cham, Switzerland, 2017; pp. 49–79. ISBN 978-3-319-54401-4. [Google Scholar]
- Tien, T.M.; Gaskins, M.H.; Hubbell, D.H. Plant growth substances produced by Azospirillum brasilense and their effect on the growth of pearl millet (Pennisetum americanum L.). Appl. Environ. Microbiol. 1979, 37, 1016–1024. [Google Scholar] [PubMed]
- Toyota, K.; Watanabe, T. Recent trends in microbial inoculants in agriculture. Microbes Environ. 2013, 28, 403–404. [Google Scholar] [CrossRef] [PubMed]
- Lugtenberg, B.; Kamilova, F. Plant growth promoting rhizobacteria. Annu. Rev. Microbiol. 2009, 63, 541–556. [Google Scholar] [CrossRef] [PubMed]
- Danhorn, T.; Fuqua, C. Biofilm formation by plant-associated bacteria. Annu. Rev. Microbiol. 2007, 61, 401–422. [Google Scholar] [CrossRef] [PubMed]
- Noirot-Gros, M.-F.; Shinde, S.; Larsen, P.E.; Zerbs, S.; Korajczyk, P.J.; Kemner, K.M.; Noirot, P.H. Dynamics of aspen roots colonization by Pseudomonads reveals strain-specific and mycorrhizal-specific patterns of biofilm formation. Front. Microbiol. 2018, 9, 853. [Google Scholar] [CrossRef] [PubMed]
- Rejeb, I.B.; Pastor, V.; Mauch-Mani, B. Plant responses to simultaneous biotic and abiotic stress: Molecular mechanisms. Plants 2014, 3, 458–475. [Google Scholar] [CrossRef] [PubMed]
- Shoji, S.; Takahashi, T. Environmental and agricultural significance of volcanic ash soils. Glob. Environ. Res. 2002, 6, 113–135. [Google Scholar]
- Samac, D.A.; Tesfaye, M. Plant improvement for tolerance to aluminum in acid soils—A review. Plant Cell Tissue Org. 2003, 75, 189–207. [Google Scholar] [CrossRef]
- Okazaki, K.; Iino, T.; Kuroda, Y.; Taguchi, K.; Takahashi, H.; Ohwada, T.; Tsurumaru, H.; Okubo, T.; Minamisawa, K.; Ikeda, S. An assessment of the diversity of culturable bacteria from main root of sugar beet. Microbes Environ. 2014, 29, 220–223. [Google Scholar] [CrossRef] [PubMed]
- Schwyn, B.; Neilands, J.B. Universal chemical assay for the detection and determination of siderophores. Anal. Biochem. 1987, 160, 47–56. [Google Scholar] [CrossRef]
- Yuttavanichakul, W.; Lawongsa, P.; Wongkaew, S.; Teaumroong, N.; Boonkerd, N.; Nomura, N.; Tittabutr, P. Improvement of peanut rhizobial inoculant by incorporation of plant growth promoting rhizobacteria (PGPR) as biocontrol against the seed borne fungus, Aspergillus niger. Biol. Control 2012, 63, 87–97. [Google Scholar] [CrossRef]
- Santiago, C.D.; Yagi, S.; Ijima, M.; Nashimoto, T.; Sawada, M.; Ikeda, S.; Asano, K.; Orikasa, Y.; Ohwada, T. Bacterial compatibility in combined inoculations enhances the growth of potato seedlings. Microbes Environ. 2017, 32, 14–23. [Google Scholar] [CrossRef] [PubMed]
- Penrose, D.M.; Glick, B.R. Methods for isolating and characterizing ACC deaminase-containing plant growth-promoting rhizobacteria. Physiol. Plant. 2003, 118, 10–15. [Google Scholar] [CrossRef] [PubMed]
- O’Brien, M.; Colwell, R.R. A rapid test for chitinase activity that uses 4-methylumbelliferyl-N-acetyl-beta-d-glucosaminide. Appl. Environ. Microbiol. 1987, 53, 1718–1720. [Google Scholar] [PubMed]
- Crabbe, J.R.; Campbell, J.R.; Thompson, L.; Walz, S.L.; Schultz, W.W. Biodegradation of a colloidal ester-based polyurethane by soil fungi. Int. Biodeterior. Biodegrad. 1994, 33, 103–113. [Google Scholar] [CrossRef]
- Bhattacharya, A.; Chanda, S.; Barik, S. Lipase and protease producing microbes from the environment of sugar beet field. Ind. J. Agric. Biochem. 2009, 22, 26–30. [Google Scholar]
- Simon, R. High frequency mobilization of gram-negative bacterial replicons by the in vitro constructed Tn5-Mob transposon. Mol. Gen. Genet. 1984, 196, 413–420. [Google Scholar] [CrossRef] [PubMed]
- Willems, A.; Mergaert, J.; Swings, J. Variovorax. In Bergey’s Manual of Systematics of Archaea and Bacteria; Whitman, W.B., DeVos, P., Dedysh, S., Hedlund, B., Kämpfer, P., Rainey, F., Trujillo, M.E., Bowman, J.P., Brown, D.R., Glöckner, F.O., et al., Eds.; American Cancer Society: Hoboken, NJ, USA, 2015; pp. 1–9. ISBN 978-1-118-96060-8. [Google Scholar]
- Han, J.-I.; Choi, H.-K.; Lee, S.-W.; Orwin, P.M.; Kim, J.; Laroe, S.L.; Kim, T.-G.; O’Neil, J.; Leadbetter, J.R.; Lee, S.Y.; et al. Complete genome sequence of the metabolically versatile plant growth-promoting endophyte Variovorax paradoxus S110. J. Bacteriol. 2011, 193, 1183–1190. [Google Scholar] [CrossRef] [PubMed]
- 5-Bromo-4-chloro-3-indolyl-β-d-glucuronic Acid, Cyclohexylammonium Salt—CAS 18656-96-7—Calbiochem 203783. Available online: https://www.sigmaaldrich.com/catalog/product/mm/203783 (accessed on 28 January 2019).
- Wilson, K.J.; Sessitsch, A.; Corbo, J.C.; Giller, K.E.; Akkermans, A.D.; Jefferson, R.A. beta-Glucuronidase (GUS) transposons for ecological and genetic studies of rhizobia and other gram-negative bacteria. Microbiology 1995, 141, 1691–1705. [Google Scholar] [CrossRef] [PubMed]
- Larcher, M.; Rapior, S.; Cleyet-Marel, J.-C. Bacteria from the rhizosphere and roots of Brassica napus influence its root growth promotion by Phyllobacterium brassicacearum. Acta Bot. Gallica 2008, 155, 355–366. [Google Scholar] [CrossRef]
- Suckstorff, I.; Berg, G. Evidence for dose-dependent effects on plant growth by Stenotrophomonas strains from different origins. J. Appl. Microbiol. 2003, 95, 656–663. [Google Scholar] [CrossRef] [PubMed]
, HRRK005; □, HRRK103; ●, HRRK170; ◊, HRRK190;
, HRTK192; ○, HRRK193.
, HRRK005; □, HRRK103; ●, HRRK170; ◊, HRRK190;
, HRTK192; ○, HRRK193.





, tomato cv. Momotaro;
, radish cv. Taibyo sobutori;
, lettuce cv. Cisco;
, cabbage cv. Harunami;
, eggplant cv. Senryo 2 go;
, Chinese cabbage cv. Haregi 85;
, green pepper cv. Kyonami;
, sugar beet cv. Rycka as a reference. (B): Chinese cabbage:
, cv. Haregi 85;
, cv. Kigokoro 65;
, cv. Kigokoro 85;
, cv. Okiniiri. Green pepper:
, cv. Kyonami;
, cv. Kyomidori;
, cv. Ace;
, cv. Pitaro.
, tomato cv. Momotaro;
, radish cv. Taibyo sobutori;
, lettuce cv. Cisco;
, cabbage cv. Harunami;
, eggplant cv. Senryo 2 go;
, Chinese cabbage cv. Haregi 85;
, green pepper cv. Kyonami;
, sugar beet cv. Rycka as a reference. (B): Chinese cabbage:
, cv. Haregi 85;
, cv. Kigokoro 65;
, cv. Kigokoro 85;
, cv. Okiniiri. Green pepper:
, cv. Kyonami;
, cv. Kyomidori;
, cv. Ace;
, cv. Pitaro.
| Strain | Plant Growth-Promoting Compounds and Enzyme Activities | |||||||
|---|---|---|---|---|---|---|---|---|
| Siderophore (%) | Biofilm (OD595) | IAA (µg mg−1 Dry cell) | ACC Deaminase (nmol AKB mg−1 Cell h−1) | β-1,3-Glucanase (U mL−1) | Cellulase (mm dia.) | Lipase (mm dia.) | Chitinase (mm dia.) | |
| HRRK005 | 17.87 ± 0.23b | 0.26 ± 0.01a | 92.55 ± 0.55c | n.d. | 0.02 ± 0.03a | 0.35 ± 0.15a | 1.34 ± 0.56b | 0.50 ± 0.08 |
| HRRK103 | 13.14 ± 1.63a | 0.19 ± 0.02a | 74.31 ± 1.58b | 0.98 ± 0.03a | 4.24 ± 0.10d | n.d. | 0.13 ± 0.42a | n.d |
| HRRK170 | 52.63 ± 1.70c | 0.46 ± 0.09b | 100.52 ± 2.02d | 60.41 ± 2.47d | 0.62 ± 0.15b | 0.43 ± 0.25a | 3.24 ± 0.83c | n.d |
| HRRK190 | 13.07 ± 3.02a | 0.25 ± 0.03a | 92.54 ± 3.79c | 5.86 ± 0.50b | 0.67 ± 0.30b | n.d. | n.d. | n.d |
| HRTK192 | 10.77 ± 1.45a | 0.43 ± 0.06b | 118.00 ± 0.82e | 20.74 ± 1.92c | 0.46 ± 0.11b | 2.24 ± 0.40b | 3.36 ± 0.66c | n.d |
| HRRK193 | 11.99 ± 2.32a | 0.44 ± 0.09b | 16.43 ± 0.42a | 19.58 ± 0.00c | 1.46 ± 0.11c | n.d. | n.d. | n.d |
© 2019 by the authors. Licensee MDPI, Basel, Switzerland. This article is an open access article distributed under the terms and conditions of the Creative Commons Attribution (CC BY) license (http://creativecommons.org/licenses/by/4.0/).
Share and Cite
Natsagdorj, O.; Sakamoto, H.; Santiago, D.M.O.; Santiago, C.D.; Orikasa, Y.; Okazaki, K.; Ikeda, S.; Ohwada, T. Variovorax sp. Has an Optimum Cell Density to Fully Function as a Plant Growth Promoter. Microorganisms 2019, 7, 82. https://doi.org/10.3390/microorganisms7030082
Natsagdorj O, Sakamoto H, Santiago DMO, Santiago CD, Orikasa Y, Okazaki K, Ikeda S, Ohwada T. Variovorax sp. Has an Optimum Cell Density to Fully Function as a Plant Growth Promoter. Microorganisms. 2019; 7(3):82. https://doi.org/10.3390/microorganisms7030082
Chicago/Turabian StyleNatsagdorj, Oyungerel, Hisayo Sakamoto, Dennis Marvin O. Santiago, Christine D. Santiago, Yoshitake Orikasa, Kazuyuki Okazaki, Seishi Ikeda, and Takuji Ohwada. 2019. "Variovorax sp. Has an Optimum Cell Density to Fully Function as a Plant Growth Promoter" Microorganisms 7, no. 3: 82. https://doi.org/10.3390/microorganisms7030082
APA StyleNatsagdorj, O., Sakamoto, H., Santiago, D. M. O., Santiago, C. D., Orikasa, Y., Okazaki, K., Ikeda, S., & Ohwada, T. (2019). Variovorax sp. Has an Optimum Cell Density to Fully Function as a Plant Growth Promoter. Microorganisms, 7(3), 82. https://doi.org/10.3390/microorganisms7030082
