Multitrophic and Multidimensional Insights into Biodiversity and Functional Trait Responses to Precipitation Changes in Alpine Grasslands
Abstract
1. Introduction
2. Materials and Methods
2.1. Study Sites and Sampling
2.2. The Plant Traits, Soil Physicochemical Properties and Climate Data Collection
2.3. DNA Extraction, Sequencing, and Bioinformatics Analysis
2.4. Functional Traits of Plant, Bacteria and Fungi
2.5. Multiple Attributes of Diversity
2.6. Data Analysis
3. Results
3.1. Responses of Multiple Dimensions Biodiversity of Plant, Soil Bacteria and Soil Fungi to Precipitation Shifts
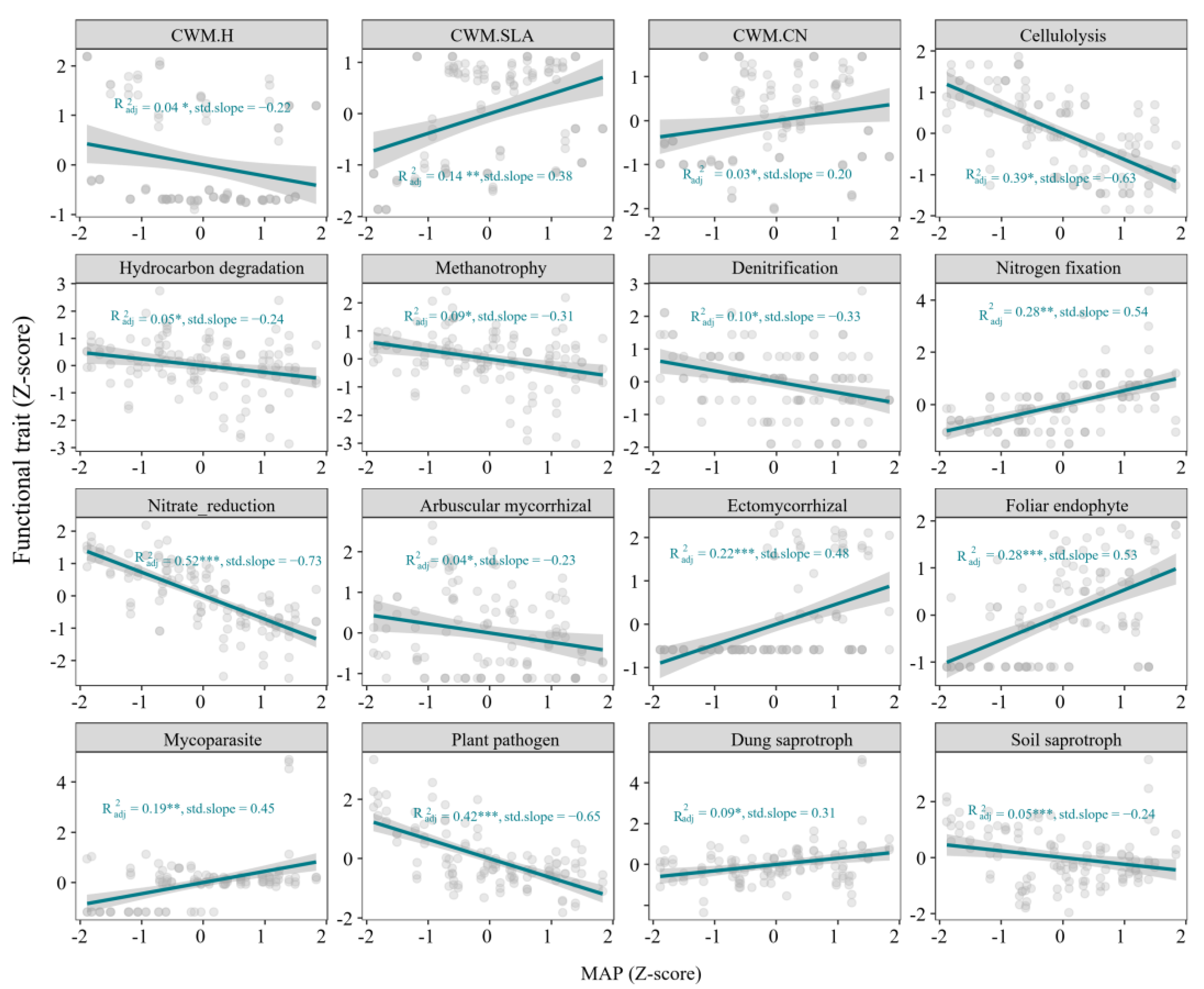
3.2. Responses of Multiple Dimension Functional Traits of Plant, Soil Bacteria and Soil Fungi to Precipitation Shifts
3.3. Responses to Distance Metrics of Biodiversity and Functional Traits with Differences in Precipitation
3.4. Relationships Between Biodiversity and Functional Traits
3.5. Environmental Drivers of Biodiversity and Functional Traits
4. Discussion
4.1. The Distinct Response Patterns of Multidimensional Biodiversity and Functional Traits to Precipitation Change
4.2. The Significant Correlations Between Biodiversity and Functional Traits
4.3. The Different Environmental Drivers of Biodiversity and Functional Traits
5. Conclusions
Supplementary Materials
Author Contributions
Funding
Institutional Review Board Statement
Informed Consent Statement
Data Availability Statement
Conflicts of Interest
References
- Hong, P.; Schmid, B.; De Laender, F.; Eisenhauer, N.; Zhang, X.; Chen, H.; Craven, D.; De Boeck, H.J.; Hautier, Y.; Petchey, O.L. Biodiversity promotes ecosystem functioning despite environmental change. Ecol. Lett. 2022, 25, 555–569. [Google Scholar] [CrossRef] [PubMed]
- Perkins, D.M.; Bailey, R.A.; Dossena, M.; Gamfeldt, L.; Reiss, J.; Trimmer, M.; Woodward, G. Higher biodiversity is required to sustain multiple ecosystem processes across temperature regimes. Glob. Change Biol. 2015, 21, 396–406. [Google Scholar] [CrossRef]
- Thomas, C.D.; Cameron, A.; Green, R.E.; Bakkenes, M.; Beaumont, L.J.; Collingham, Y.C.; Erasmus, B.F.; De Siqueira, M.F.; Grainger, A.; Hannah, L. Extinction risk from climate change. Nature 2004, 427, 145–148. [Google Scholar] [CrossRef]
- Trisos, C.H.; Merow, C.; Pigot, A.L. The projected timing of abrupt ecological disruption from climate change. Nature 2020, 580, 496–501. [Google Scholar] [CrossRef] [PubMed]
- McGill, B.J. A test of the unified neutral theory of biodiversity. Nature 2003, 422, 881–885. [Google Scholar] [CrossRef]
- Pereira, H.M.; Navarro, L.M.; Martins, I.S. Global biodiversity change: The bad; the good; the unknown. Annu. Rev. Env. Resour. 2012, 37, 25–50. [Google Scholar] [CrossRef]
- Cadotte, M.; Albert, C.H.; Walker, S.C. The ecology of differences: Assessing community assembly with trait and evolutionary distances. Ecol. Lett. 2013, 16, 1234–1244. [Google Scholar] [CrossRef]
- Tucker, C.M.; Davies, T.J.; Cadotte, M.W.; Pearse, W.D. On the relationship between phylogenetic diversity and trait diversity. Ecology 2018, 99, 1473–1479. [Google Scholar] [CrossRef]
- De Pauw, K.; Meeussen, C.; Govaert, S.; Sanczuk, P.; Vanneste, T.; Römermann, M.B.; Bollmann, K.; Brunet, J.; Calders, K.; Cousins, S.A. Taxonomic, phylogenetic and functional diversity of understorey plants respond differently to environmental conditions in European forest edges. J. Ecol. 2021, 109, 2629–2648. [Google Scholar] [CrossRef]
- Steudel, B.; Hallmann, C.; Lorenz, M.; Abrahamczyk, S.; Prinz, K.; Herrfurth, C.; Feussner, I.; Martini, J.W.; Kessler, M. Contrasting biodiversity–ecosystem functioning relationships in phylogenetic and functional diversity. New Phytol. 2016, 212, 409–420. [Google Scholar] [CrossRef]
- Cadotte, M.W.; Carscadden, K.; Mirotchnick, N. Beyond species: Functional diversity and the maintenance of ecological processes and services. J. Appl. Ecol. 2011, 48, 1079–1087. [Google Scholar] [CrossRef]
- Liu, X.; Zhang, C.; Yang, T.; Gao, G.; Shi, Y.; Chu, H. Phylogenetic relatedness enhances the understanding of soil microbial coexistence in alpine wetlands of the Tibetan Plateau. Soil Biol. Biochem. 2023, 185, 109160. [Google Scholar] [CrossRef]
- Birkhofer, K.; Andersson, G.K.; Bengtsson, J.; Bommarco, R.; Dänhardt, J.; Ekbom, B.; Ekroos, J.; Hahn, T.; Hedlund, K.; Jönsson, A.M. Relationships between multiple biodiversity components and ecosystem services along a landscape complexity gradient. Biol. Conserv. 2018, 218, 247–253. [Google Scholar] [CrossRef]
- Kang, S.; Ma, W.; Li, F.Y.; Zhang, Q.; Niu, J.; Ding, Y.; Han, F.; Sun, X. Functional redundancy instead of species redundancy determines community stability in a typical steppe of Inner Mongolia. PLoS ONE 2015, 10, e145605. [Google Scholar] [CrossRef]
- Bełcik, M.; Lenda, M.; Amano, T.; Skórka, P. Different response of the taxonomic, phylogenetic and functional diversity of birds to forest fragmentation. Sci. Rep. 2020, 10, 20320. [Google Scholar] [CrossRef]
- Bardgett, R.D.; Van Der Putten, W.H. Belowground biodiversity and ecosystem functioning. Nature 2014, 515, 505–511. [Google Scholar] [CrossRef]
- Delgado-Baquerizo, M.; Bardgett, R.D.; Vitousek, P.M.; Maestre, F.T.; Williams, M.A.; Eldridge, D.J.; Lambers, H.; Neuhauser, S.; Gallardo, A.; García-Velázquez, L. Changes in belowground biodiversity during ecosystem development. Proc. Natl. Acad. Sci. USA 2019, 116, 6891–6896. [Google Scholar] [CrossRef]
- Jing, X.; Sanders, N.J.; Shi, Y.; Chu, H.; Classen, A.T.; Zhao, K.; Chen, L.; Shi, Y.; Jiang, Y.; He, J. The links between ecosystem multifunctionality and above-and belowground biodiversity are mediated by climate. Nat. Commun. 2015, 6, 8159. [Google Scholar] [CrossRef]
- Zhu, L.; Chen, Y.; Sun, R.; Zhang, J.; Hale, L.; Dumack, K.; Geisen, S.; Deng, Y.; Duan, Y.; Zhu, B. Resource-dependent biodiversity and potential multi-trophic interactions determine belowground functional trait stability. Microbiome 2023, 11, 95. [Google Scholar] [CrossRef]
- Smith, M.D.; Koerner, S.E.; Knapp, A.K.; Avolio, M.L.; Chaves, F.A.; Denton, E.M.; Dietrich, J.; Gibson, D.J.; Gray, J.; Hoffman, A.M. Mass ratio effects underlie ecosystem responses to environmental change. J. Ecol. 2020, 108, 855–864. [Google Scholar] [CrossRef]
- Qiu, Q.; Bender, S.F.; Mgelwa, A.S.; Hu, Y. Arbuscular mycorrhizal fungi mitigate soil nitrogen and phosphorus losses: A meta-analysis. Sci. Total. Environ. 2022, 807, 150857. [Google Scholar] [CrossRef] [PubMed]
- Cadotte, M.W. Functional traits explain ecosystem function through opposing mechanisms. Ecol. Lett. 2017, 20, 989–996. [Google Scholar] [CrossRef]
- Hanisch, M.; Schweiger, O.; Cord, A.F.; Volk, M.; Knapp, S. Plant functional traits shape multiple ecosystem services, their trade-offs and synergies in grasslands. J. Appl. Ecol. 2020, 57, 1535–1550. [Google Scholar] [CrossRef]
- Vandewalle, M.; De Bello, F.; Berg, M.P.; Bolger, T.; Dolédec, S.; Dubs, F.; Feld, C.K.; Harrington, R.; Harrison, P.A.; Lavorel, S. Functional traits as indicators of biodiversity response to land use changes across ecosystems and organisms. Biodivers. Conserv. 2010, 19, 2921–2947. [Google Scholar] [CrossRef]
- Knapp, A.K.; Hoover, D.L.; Wilcox, K.R.; Avolio, M.L.; Koerner, S.E.; La Pierre, K.J.; Loik, M.E.; Luo, Y.; Sala, O.E.; Smith, M.D. Characterizing differences in precipitation regimes of extreme wet and dry years: Implications for climate change experiments. Glob. Change Biol. 2015, 21, 2624–2633. [Google Scholar] [CrossRef]
- Liang, Y.L.; Yan, X.D. Prediction of climate change over China and uncertainty analysis during the 21st century under RCPs. J. Trop. Meteorol. 2016, 32, 183–192. [Google Scholar]
- Hu, W.; Ran, J.; Dong, L.; Du, Q.; Ji, M.; Yao, S.; Sun, Y.; Gong, C.; Hou, Q.; Gong, H. Aridity-driven shift in biodiversity–soil multifunctionality relationships. Nat. Commun. 2021, 12, 5350. [Google Scholar] [CrossRef]
- Shi, L.; Lin, Z.; Yao, Z.; Peng, C.; Hu, M.; Yin, N.; Lu, X.; Zhou, H.; Liu, K.; Shao, X. Increased precipitation rather than warming increases ecosystem multifunctionality in an alpine meadow. Plant Soil 2024, 498, 357–370. [Google Scholar] [CrossRef]
- Andrew, S.C.; Gallagher, R.V.; Wright, I.J.; Mokany, K. Assessing the vulnerability of plant functional trait strategies to climate change. Glob. Ecol. Biogeogr. 2022, 31, 1194–1206. [Google Scholar] [CrossRef]
- Funk, J.L.; Larson, J.E.; Ames, G.M.; Butterfield, B.J.; Bares, J.C.; Firn, J.; Laughlin, D.C.; Grier, A.E.S.; Williams, L.; Wright, J. Revisiting the H oly G rail: Using plant functional traits to understand ecological processes. Biol. Rev. 2017, 92, 1156–1173. [Google Scholar] [CrossRef]
- Šímová, I.; Violle, C.; Svenning, J.C.; Kattge, J.; Engemann, K.; Sandel, B.; Peet, R.K.; Wiser, S.K.; Blonder, B.; McGill, B.J. Spatial patterns and climate relationships of major plant traits in the New World differ between woody and herbaceous species. J. Biogeogr. 2018, 45, 895–916. [Google Scholar] [CrossRef]
- Soliveres, S.; Van Der Plas, F.; Manning, P.; Prati, D.; Gossner, M.M.; Renner, S.C.; Alt, F.; Arndt, H.; Baumgartner, V.; Binkenstein, J. Biodiversity at multiple trophic levels is needed for ecosystem multifunctionality. Nature 2016, 536, 456–459. [Google Scholar] [CrossRef] [PubMed]
- McKenzie, N.; Coughlan, K.; Cresswell, H. Soil Physical Measurement and Interpretation for Land Evaluation; CSIRO: Campbell, Australia, 2002. [Google Scholar]
- Cornelissen, J.H.; Lavorel, S.; Garnier, E.; Díaz, S.; Buchmann, N.; Gurvich, D.E.; Reich, P.B.; Ter Steege, H.; Morgan, H.D.; Van Der Heijden, M.G.A. A handbook of protocols for standardised and easy measurement of plant functional traits worldwide. Aust. J. Botany 2003, 51, 335–380. [Google Scholar] [CrossRef]
- Zhu, F.; Zhou, J.; Xue, S.; Hartley, W.; Wu, C.; Guo, Y. Aging of bauxite residue in association of regeneration: A comparison of methods to determine aggregate stability & erosion resistance. Ecol. Eng. 2016, 92, 47–54. [Google Scholar]
- Dick, W.A.; Tabatabai, M.A. An alkaline oxidation method for determination of total phosphorus in soils. Soil Sci. Soc. Am. J. 1977, 41, 511–514. [Google Scholar] [CrossRef]
- Brookes, P.C.; Landman, A.; Pruden, G.; Jenkinson, D.S. Chloroform fumigation and the release of soil nitrogen: A rapid direct extraction method to measure microbial biomass nitrogen in soil. Soil Biol. Biochem. 1985, 17, 837–842. [Google Scholar] [CrossRef]
- Muñoz-Sabater, J.; Dutra, E.; Agustí-Panareda, A.; Albergel, C.; Arduini, G.; Balsamo, G.; Boussetta, S.; Choulga, M.; Harrigan, S.; Hersbach, H. ERA5-Land: A state-of-the-art global reanalysis dataset for land applications. Earth Syst. Sci. Data 2021, 13, 4349–4383. [Google Scholar] [CrossRef]
- Gounand, I.; Little, C.J.; Harvey, E.; Altermatt, F. Global quantitative synthesis of ecosystem functioning across climatic zones and ecosystem types. Glob. Ecol. Biogeogr. 2020, 29, 1139–1176. [Google Scholar] [CrossRef]
- Walters, W.; Hyde, E.R.; Berg-Lyons, D.; Ackermann, G.; Humphrey, G.; Parada, A.; Gilbert, J.A.; Jansson, J.K.; Caporaso, J.G.; Fuhrman, J.A. Improved bacterial 16S rRNA gene (V4 and V4-5) and fungal internal transcribed spacer marker gene primers for microbial community surveys. Msystems 2016, 1, 1110–1128. [Google Scholar] [CrossRef]
- Edgar, R.C. Accuracy of microbial community diversity estimated by closed-and open-reference OTUs. PeerJ 2017, 5, e3889. [Google Scholar] [CrossRef]
- Price, M.N.; Dehal, P.S.; Arkin, A.P. FastTree 2–approximately maximum-likelihood trees for large alignments. PLoS ONE 2010, 5, e9490. [Google Scholar] [CrossRef] [PubMed]
- Laliberté, E.; Legendre, P. A distance-based framework for measuring functional diversity from multiple traits. Ecology 2010, 91, 299–305. [Google Scholar] [CrossRef] [PubMed]
- Põlme, S.; Abarenkov, K.; Nilsson, R.H.; Lindahl, B.D.; Clemmensen, K.E.; Kauserud, H.; Nguyen, N.; Kjøller, R.; Bates, S.T.; Baldrian, P. FungalTraits: A user-friendly traits database of fungi and fungus-like stramenopiles. Fungal Divers. 2020, 105, 1–16. [Google Scholar] [CrossRef]
- Sansupa, C.; Wahdan, S.F.M.; Hossen, S.; Disayathanoowat, T.; Wubet, T.; Purahong, W. Can we use functional annotation of prokaryotic taxa (FAPROTAX) to assign the ecological functions of soil bacteria? Appl. Sci. 2021, 11, 688. [Google Scholar] [CrossRef]
- Zhang, J.; Qian, H.U. Taxonstand: An R package for standardizing scientific names of plants and animals. Plant Divers. 2023, 45, 1–5. [Google Scholar] [CrossRef]
- Jin, Y.; Qian, H.V. PhyloMaker2: An updated and enlarged R package that can generate very large phylogenies for vascular plants. Plant Divers. 2022, 44, 335–339. [Google Scholar] [CrossRef]
- Douglas, G.M.; Maffei, V.J.; Zaneveld, J.R.; Yurgel, S.N.; Brown, J.R.; Taylor, C.M.; Huttenhower, C.; Langille, M.G. PICRUSt2 for prediction of metagenome functions. Nat. Biotechnol. 2020, 38, 685–688. [Google Scholar] [CrossRef]
- Archer, E.; Archer, M.E. Package ‘rfPermute’; R Project: Indianapolis, IN, USA, 2016. [Google Scholar]
- Bruno, D.; Cánovas, C.G.; Fernández, D.S.; Velasco, J.; Nilsson, C. Impacts of environmental filters on functional redundancy in riparian vegetation. J. Appl. Ecol. 2016, 53, 846–855. [Google Scholar] [CrossRef]
- Philippot, L.; Griffiths, B.S.; Langenheder, S. Microbial community resilience across ecosystems and multiple disturbances. Microbiol. Mol. Biol. Rev. 2021, 85, 1110–1128. [Google Scholar] [CrossRef]
- Pan, J.; Li, Y.; Zhang, R.; Tian, D.; Wang, P.; Song, L.; Quan, Q.; Chen, C.; Niu, S.; Zhang, X. Soil microbial gene abundance rather than diversity and network complexity predominantly determines soil multifunctionality in Tibetan alpine grasslands along a precipitation gradient. Funct. Ecol. 2024, 38, 1210–1221. [Google Scholar] [CrossRef]
- Nord, E.A.; Lynch, J.P. Plant phenology: A critical controller of soil resource acquisition. J. Exp. Bot. 2009, 60, 1927–1937. [Google Scholar] [CrossRef] [PubMed]
- Quan, Q.; He, N.; Zhang, R.; Wang, J.; Luo, Y.; Ma, F.; Pan, J.; Wang, R.; Liu, C.; Zhang, J. Plant height as an indicator for alpine carbon sequestration and ecosystem response to warming. Nat. Plants 2024, 10, 890–900. [Google Scholar] [CrossRef]
- Devictor, V.; Mouillot, D.; Meynard, C.; Jiguet, F.; Thuiller, W.; Mouquet, N. Spatial mismatch and congruence between taxonomic, phylogenetic and functional diversity: The need for integrative conservation strategies in a changing world. Ecol. Lett. 2010, 13, 1030–1040. [Google Scholar] [CrossRef]
- Ke, M.; Wang, W.; Zhou, Q.; Wang, Y.; Liu, Y.; Yu, Y.; Chen, Y.; Peng, Z.; Mo, Q. Response of leaf functional traits to precipitation change: A case study from tropical woody tree. Glob. Ecol. Conserv. 2022, 37, e2152. [Google Scholar] [CrossRef]
- Wang, Y.; Zhang, C.; Xiao, X.; Wu, H.; Zhang, J. Water-use strategies and functional traits explain divergent linkages in physiological responses to simulated precipitation change. Sci. Total. Environ. 2024, 908, 168238. [Google Scholar] [CrossRef] [PubMed]
- Lü, X.; Zhou, G.; Wang, Y.; Song, X. Effects of changing precipitation and warming on functional traits of zonal Stipa plants from Inner Mongolian grassland. J. Meteorol. Res. 2016, 30, 412–425. [Google Scholar] [CrossRef]
- Shu, W.; Huang, L. Microbial diversity in extreme environments. Nat. Rev. Microbiol. 2022, 20, 219–235. [Google Scholar] [CrossRef]
- Martiny, J.B.; Jones, S.E.; Lennon, J.T.; Martiny, A.C. Microbiomes in light of traits: A phylogenetic perspective. Science 2015, 350, aac9323. [Google Scholar] [CrossRef]
- Goberna, M.; Navarro-Cano, J.A.; Verdú, M. Opposing phylogenetic diversity gradients of plant and soil bacterial communities. Proc. R. Soc. B Biol. Sci. 2016, 283, 20153003. [Google Scholar] [CrossRef]
- Molina-Venegas, R.; Rodríguez, M.Á.; Pardo-de-Santayana, M.; Ronquillo, C.; Mabberley, D.J. Maximum levels of global phylogenetic diversity efficiently capture plant services for humankind. Nat. Ecol. Evol. 2021, 5, 583–588. [Google Scholar] [CrossRef]
- Lososová, Z.; Čeplová, N.; Chytrý, M.; Tichý, L.; Danihelka, J.; Fajmon, K.; Láníková, D.; Preislerová, Z.; Řehořek, V. Is phylogenetic diversity a good proxy for functional diversity of plant communities? A case study from urban habitats. J. Veg. Sci. 2016, 27, 1036–1046. [Google Scholar] [CrossRef]
- Mazel, F.; Pennell, M.W.; Cadotte, M.W.; Diaz, S.; Riva, G.V.D.; Grenyer, R.; Leprieur, F.; Mooers, A.O.; Mouillot, D.; Tucker, C.M. Prioritizing phylogenetic diversity captures functional diversity unreliably. Nat. Commun. 2018, 9, 2888. [Google Scholar] [CrossRef] [PubMed]
- Bahram, M.; Netherway, T. Fungi as mediators linking organisms and ecosystems. FEMS Microbiol. Rev. 2022, 46, fuab58. [Google Scholar] [CrossRef] [PubMed]
- Wang, C.; Ma, L.; Zuo, X.; Ye, X.; Wang, R.; Huang, Z.; Liu, G.; Cornelissen, J.H. Plant diversity has stronger linkage with soil fungal diversity than with bacterial diversity across grasslands of northern China. Glob. Ecol. Biogeogr. 2022, 31, 886–900. [Google Scholar] [CrossRef]
- Runnel, K.; Tedersoo, L.; Krah, F.; Piepenbring, M.; Scheepens, J.F.; Hollert, H.; Johann, S.; Meyer, N.; Bässler, C. Toward harnessing biodiversity–ecosystem function relationships in fungi. Trends Ecol. Evol. 2024, 40, 180–190. [Google Scholar] [CrossRef]
- Li, J.; Delgado-Baquerizo, M.; Wang, J.; Hu, H.; Cai, Z.; Zhu, Y.; Singh, B.K. Fungal richness contributes to multifunctionality in boreal forest soil. Soil Biol. Biochem. 2019, 136, 107526. [Google Scholar] [CrossRef]
- Li, J.; Cui, L.; Delgado-Baquerizo, M.; Wang, J.; Zhu, Y.; Wang, R.; Li, W.; Lei, Y.; Zhai, X.; Zhao, X. Fungi drive soil multifunctionality in the coastal salt marsh ecosystem. Sci. Total. Environ. 2022, 818, 151673. [Google Scholar] [CrossRef]
- Liu, S.; García-Palacios, P.; Tedersoo, L.; Guirado, E.; van der Heijden, M.G.; Wagg, C.; Chen, D.; Wang, Q.; Wang, J.; Singh, B.K. Phylotype diversity within soil fungal functional groups drives ecosystem stability. Nat. Ecol. Evol. 2022, 6, 900–909. [Google Scholar] [CrossRef]
- Jia, J.; Hu, G.; Ni, G.; Xie, M.; Li, R.; Wang, G.; Zhang, J. Bacteria drive soil multifunctionality while fungi are effective only at low pathogen abundance. Sci. Total. Environ. 2024, 906, 167596. [Google Scholar] [CrossRef]
- Zhang, H.; Zhou, M.; Dong, L.; Liu, H.; Wang, W. Soil bacterial community mediates temporal stability of plant community productivity in degraded grasslands. Appl. Soil Ecol. 2023, 182, 104725. [Google Scholar] [CrossRef]
- Amarnath, K.; Narla, A.V.; Pontrelli, S.; Dong, J.; Reddan, J.; Taylor, B.R.; Caglar, T.; Schwartzman, J.; Sauer, U.; Cordero, O.X. Stress-induced metabolic exchanges between complementary bacterial types underly a dynamic mechanism of inter-species stress resistance. Nat. Commun. 2023, 14, 3165. [Google Scholar] [CrossRef] [PubMed]
- Römermann, M.B.; Römermann, C.; Nuske, R.; Parth, A.; Klotz, S.; Schmidt, W.; Stadler, J. On the identification of the most suitable traits for plant functional trait analyses. Oikos 2008, 117, 1533–1541. [Google Scholar] [CrossRef]
- Yang, J.; Cao, M.; Swenson, N.G. Why functional traits do not predict tree demographic rates. Trends Ecol. Evol. 2018, 33, 326–336. [Google Scholar] [CrossRef]
- Pakeman, R.J. Functional trait metrics are sensitive to the completeness of the species’ trait data? Methods Ecol. Evol. 2014, 5, 9–15. [Google Scholar] [CrossRef]
- Nunes, A.; Köbel, M.; Pinho, P.; Matos, P.; de Bello, F.; Correia, O.; Branquinho, C. Which plant traits respond to aridity? A critical step to assess functional diversity in Mediterranean drylands. Agric. For. Meteorol. 2017, 239, 176–184. [Google Scholar] [CrossRef]
- Kapłon, M.A.T.; Bloem, J.; Römkens, P.F.; Ruiter, P.D. Functional stability of microbial communities in contaminated soils. Oikos 2005, 111, 119–129. [Google Scholar] [CrossRef]
- Wallenstein, M.D.; Hall, E.K. A trait-based framework for predicting when and where microbial adaptation to climate change will affect ecosystem functioning. Biogeochemistry 2012, 109, 35–47. [Google Scholar] [CrossRef]
- Bussotti, F.; Pollastrini, M.; Holland, V.; Brüggemann, W. Functional traits and adaptive capacity of European forests to climate change. Environ. Exp. Bot. 2015, 111, 91–113. [Google Scholar] [CrossRef]
- Li, T.; Kamran, M.; Chang, S.; Peng, Z.; Wang, Z.; Ran, L.; Jiang, W.Q.; Jin, Y.; Zhang, X.; You, Y. Climate-soil interactions improve the stability of grassland ecosystem by driving alpine plant diversity. Ecol. Indic. 2022, 141, 109002. [Google Scholar] [CrossRef]
- Zhang, Y.; Chen, H.Y.; Taylor, A. Multiple drivers of plant diversity in forest ecosystems. Glob. Ecol. Biogeogr. 2014, 23, 885–893. [Google Scholar] [CrossRef]
- Zhou, Z.; Wang, C.; Luo, Y. Meta-analysis of the impacts of global change factors on soil microbial diversity and functionality. Nat. Commun. 2020, 11, 3072. [Google Scholar] [CrossRef] [PubMed]
- Hulshof, C.M.; Spasojevic, M.J. The edaphic control of plant diversity. Glob. Ecol. Biogeogr. 2020, 29, 1634–1650. [Google Scholar] [CrossRef]






| Site | MAP (mm) | MAT (°C) | Altitude | Vegetation Type | Dominant Species |
|---|---|---|---|---|---|
| XW | 519.3 | −1.25 | 4196 | Cyperaceae | Kobresia tibetica, Ligularia virgaurea, Tibetia himalaica |
| JLL | 429.18 | −1.11 | 4204 | Cyperaceae | Kobresia tibetica, Leontopodium leontopodioides, Pedicularis kansuensis |
| ZK | 569.83 | −0.98 | 3933 | Cyperaceae | Kobresia tibetica, Leontopodium leontopodioides, Pedicularis kansuensis |
| JG | 635.69 | 0.53 | 3406 | Cyperaceae | Kobresia tibetica, Potentilla multiceps, Tibetia himalaica |
| NQ3 | 555.96 | −1.55 | 4153 | Cyperaceae | Kobresia tibetica, Potentilla multiceps, Leontopodium leontopodioides |
| EB | 704.86 | −2.29 | 3598 | Rosaceae | Potentilla multiceps, Ligularia virgaurea, Tibetia himalaica |
| NQ2 | 614.54 | 2.24 | 4329 | Cyperaceae | Kobresia tibetica, Potentilla multiceps, Tibetia himalaica |
| XW1 | 509.11 | 0.72 | 3803 | Cyperaceae | Kobresia tibetica, Ligularia virgaurea, Potentilla multiceps |
| DW1 | 687.74 | −0.76 | 3933 | Cyperaceae | Kobresia tibetica, Potentilla multiceps, Tibetia himalaica |
| DWS | 687.74 | −0.76 | 3933 | Cyperaceae | Kobresia tibetica, Potentilla multiceps, Tibetia himalaica |
| NQ4 | 555.96 | −1.55 | 4144 | Cyperaceae | Kobresia tibetica, Potentilla multiceps, Tibetia himalaica |
| NQ1 | 659.6 | 5.13 | 3632 | Cyperaceae | Kobresia tibetica, Potentilla multiceps, Pedicularis kansuensis |
| ELSK | 481.82 | −2.67 | 4462 | Rosaceae | Potentilla multiceps, Kobresia tibetica, Tibetia himalaica |
| JXLC | 617.49 | 0.37 | 3927 | Cyperaceae | Kobresia tibetica, Potentilla multiceps, Tibetia himalaica |
| DR | 652.4 | −0.33 | 4128 | Cyperaceae | Kobresia tibetica, Potentilla multiceps, Tibetia himalaica |
| MD1 | 366.5 | 0.82 | 4224 | Cyperaceae | Kobresia tibetica, Potentilla multiceps, Tibetia himalaica |
| MD2 | 386.62 | −0.04 | 4229 | Cyperaceae | Kobresia tibetica, Potentilla multiceps, Tibetia himalaica |
| WQ | 420.02 | −0.53 | 4243 | Cyperaceae | Kobresia tibetica, Potentilla multiceps, Tibetia himalaica |
| GD | 461.81 | 7.23 | 2508 | Poaceae | Achnatherum Splendens, Peganum multisectum, Artemisia frigida |
| DW | 634.58 | 3.34 | 3252 | Poaceae | Achnatherum Splendens, Artemisia frigida, Poaceae luteolus |
| GN | 513.61 | 4.07 | 3345 | Cyperaceae | Kobresia tibetica, Potentilla multiceps, Tibetia himalaica |
| GN2 | 447.28 | 5.56 | 3223 | Poaceae | Achnatherum Splendens, Artemisia frigida, Poaceae luteolus |
| MY | 762.16 | 1.51 | 3090 | Rosaceae | Potentilla fruticosa |
| GN4 | 470.14 | 4.07 | 3282 | Cyperaceae | Kobresia tibetica, Potentilla multiceps, Thermopsis lanceolata |
| XH | 438.24 | 1.54 | 3737 | Cyperaceae | Kobresia tibetica, Potentilla multiceps, Poaceae luteolus |
| TJ2 | 334.44 | 3.54 | 3231 | Poaceae | Achnatherum Splendens, Leymus Chinensis |
| TJ3 | 342.05 | 3.17 | 3304 | Cyperaceae | Kobresia tibetica, Ligularia virgaurea, Tibetia himalaica |
| TJ4 | 354.73 | 3.51 | 3345 | Cyperaceae | Kobresia tibetica, Ligularia virgaurea, Tibetia himalaica |
| TJ5 | 351.47 | 2.23 | 3432 | Cyperaceae | Kobresia tibetica, Ligularia virgaurea, Tibetia himalaica |
| CK1 | 331.66 | 2.93 | 3300 | Poaceae | Achnatherum Splendens, Polygonum viviparum |
| CK2 | 254.54 | 4.33 | 3124 | Poaceae | Elymus nutans, Leymus Chinensis |
| CK3 | 274.77 | 4.93 | 3300 | Poaceae | Elymus nutans, Leymus Chinensis |
| GLM | 136 | 4.12 | 3882 | Chenopodiaceae | Peganum multisectum |
| DL | 296.73 | 4.41 | 3195 | Chenopodiaceae | Polygonum viviparum, Artemisia frigida |
| DLH | 170.59 | 4.5 | 2806 | Chenopodiaceae | Peganum multisectum |
| DLH2 | 147.9 | 4.64 | 3622 | Poaceae | Peganum multisectum, Artemisia frigida |
| WL1 | 199.96 | 4.09 | 3451 | Poaceae | Achnatherum Splendens, Artemisia frigida, |
| WL2 | 249.59 | 2.38 | 3466 | Poaceae | Achnatherum Splendens, Artemisia frigida |
Disclaimer/Publisher’s Note: The statements, opinions and data contained in all publications are solely those of the individual author(s) and contributor(s) and not of MDPI and/or the editor(s). MDPI and/or the editor(s) disclaim responsibility for any injury to people or property resulting from any ideas, methods, instructions or products referred to in the content. |
© 2025 by the authors. Licensee MDPI, Basel, Switzerland. This article is an open access article distributed under the terms and conditions of the Creative Commons Attribution (CC BY) license (https://creativecommons.org/licenses/by/4.0/).
Share and Cite
Liu, Y.; Ding, C.; Quan, Z. Multitrophic and Multidimensional Insights into Biodiversity and Functional Trait Responses to Precipitation Changes in Alpine Grasslands. Microorganisms 2025, 13, 1011. https://doi.org/10.3390/microorganisms13051011
Liu Y, Ding C, Quan Z. Multitrophic and Multidimensional Insights into Biodiversity and Functional Trait Responses to Precipitation Changes in Alpine Grasslands. Microorganisms. 2025; 13(5):1011. https://doi.org/10.3390/microorganisms13051011
Chicago/Turabian StyleLiu, Yu, Chengxiang Ding, and Zhanjun Quan. 2025. "Multitrophic and Multidimensional Insights into Biodiversity and Functional Trait Responses to Precipitation Changes in Alpine Grasslands" Microorganisms 13, no. 5: 1011. https://doi.org/10.3390/microorganisms13051011
APA StyleLiu, Y., Ding, C., & Quan, Z. (2025). Multitrophic and Multidimensional Insights into Biodiversity and Functional Trait Responses to Precipitation Changes in Alpine Grasslands. Microorganisms, 13(5), 1011. https://doi.org/10.3390/microorganisms13051011
