Characterization of Glyphosate Resistance and Degradation Profile of Caballeronia zhejiangensis CEIB S4-3 and Genes Involved in Its Degradation
Abstract
1. Introduction
2. Materials and Methods
2.1. Glyphosate
2.2. Bacterial Strain and Culture Media
2.3. Glyphosate Bacterial Resistance, Minimum Inhibitory Concentration (MIC) on Agar Plates
2.4. Bacterial Growth Inhibition Assays in Trypticase Soy Broth (TSB) Medium
2.5. Bacterial Growth Inhibition Assays in Minimal Salts Medium (MSM)
2.6. Glyphosate Degradation Kinetics
2.7. Genomic Analyses
2.8. Degradation Rate of Glyphosate (mg/L·h)
- GDR: Glyphosate degradation rate (mg/L·h)
- Ic: Initial concentration (mg/L)
- Fc: Final concentration (mg/L)
- Dt: Degradation time (h)
2.9. Statistical Analyses
3. Results
3.1. Glyphosate Bacterial Resistance, Minimum Inhibitory Concentration (MIC) on Agar Plates
3.2. Bacterial Growth Inhibition Assays in Trypticase Soy Broth (TSB) Medium
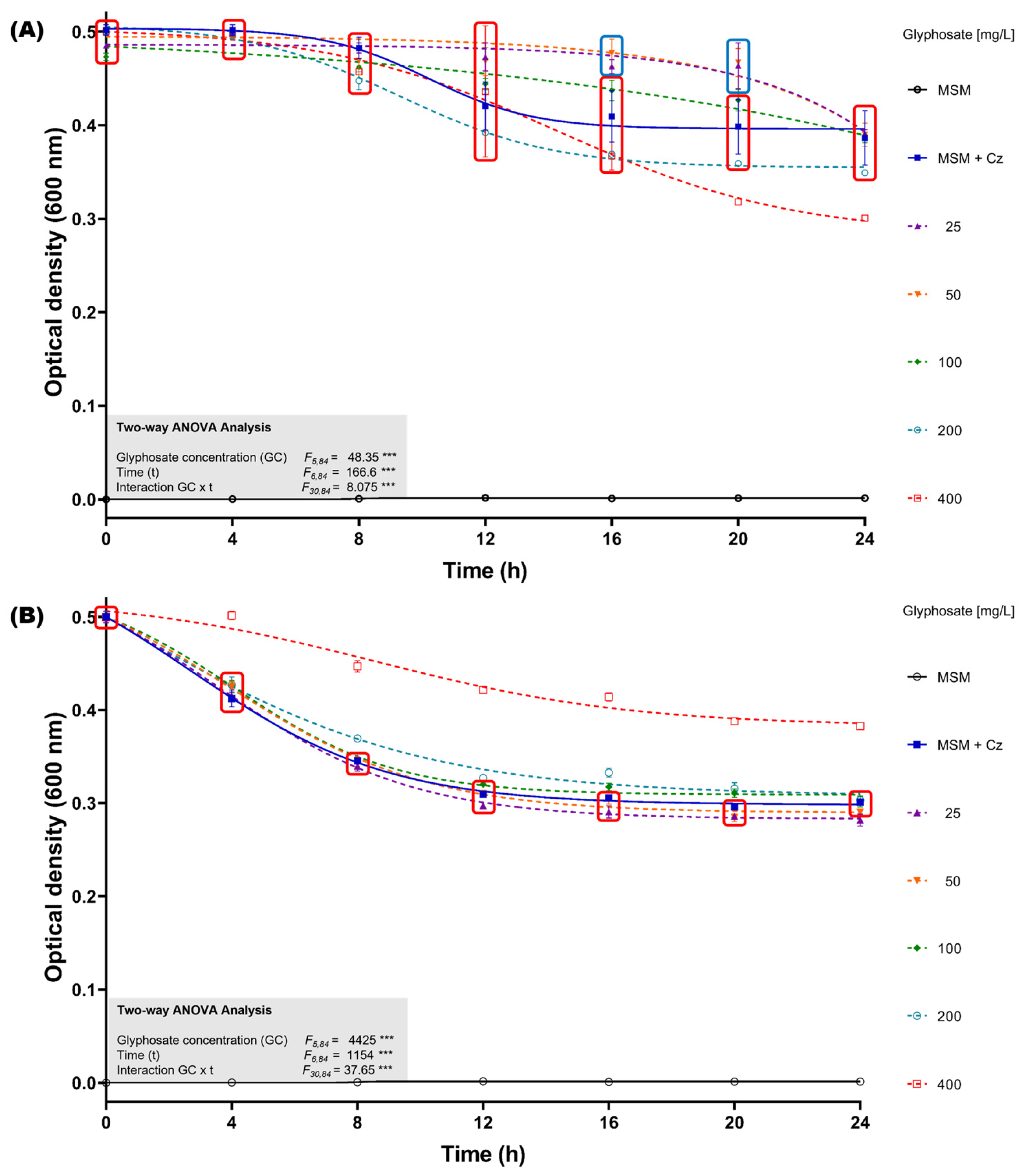
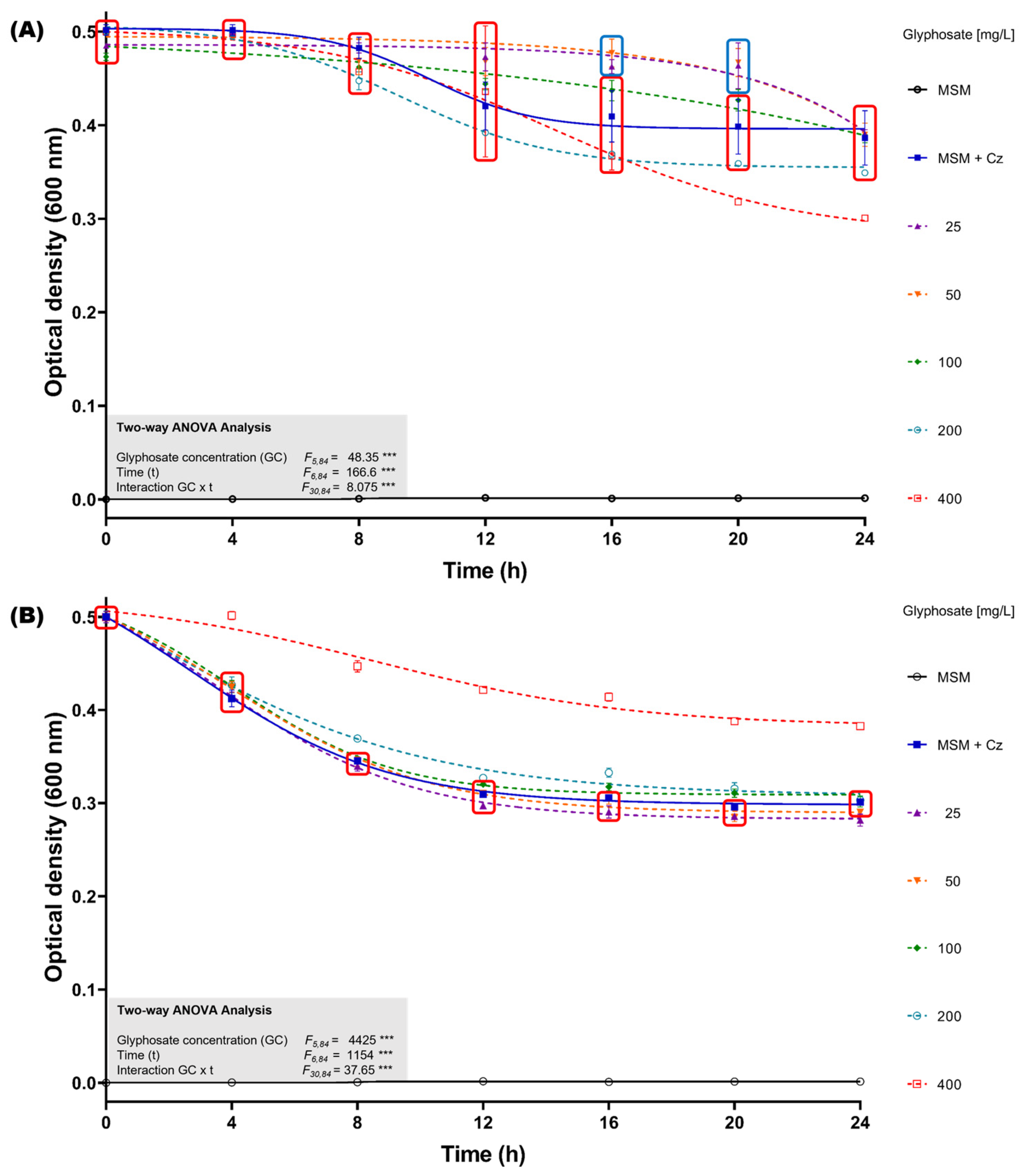
3.3. Bacterial Growth Inhibition Assays in Minimal Salts Medium (MSM)
3.4. Glyphosate Degradation Kinetics
3.5. Genomic Analyses
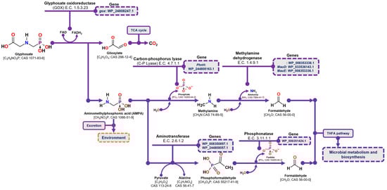
3.5.1. Identification of Genes Implicated in Glyphosate Degradation (Sarcosine Pathway)
3.5.2. Identification of Genes Involved in Glyphosate Degradation (AMPA Pathway)
4. Discussion
| Bacterial Strain | Concentration (mg/L) | Assay Duration (h) | Degradation (%) | Degradation Rate (mg/L·h) | Degradation Pathway | Reference |
|---|---|---|---|---|---|---|
| Comamonas odontotermitis P2 | 1500 | 104 | 100 | 14.4 | AMPA & Sarcosine | [84] |
| Rhizobium sp. SRG * | 5072 | 168 | 44 | 13.3 | - | [85] |
| Pseudomonas putida HE | 1800 | 96 | 70 | 13.1 | - | [86] |
| Sinorhizobium saheli SRI * | 5072 | 168 | 40.8 | 12.3 | - | [85] |
| Ensifer sp. SR * | 5072 | 168 | 38.7 | 11.7 | - | [85] |
| Pseudomonas putida DA | 1800 | 96 | 50 | 9.4 | - | [86] |
| Pseudomonas putida X | 1800 | 96 | 50 | 9.4 | - | [86] |
| Burkholderia cenocepacia CEIB S5-2 | 50 | 8 | 100 | 6.3 | AMPA | [57] |
| Ochrobactrum intermedium Sq20 | 500 | 104 | 100 | 4.8 | AMPA & Sarcosine | [79] |
| Enterobacter cloacae K7 | 845.5 | 120 | 40 | 2.8 | Sarcosine | [73] |
| Burkholderia vietnamiensis AQ5-12 ‡ | 100 | 36 | 92.3 | 2.6 | - | [56] |
| Caballeronia zhejiangensis CEIB S4-3 | 50 | 12 | 61.1 | 2.6 | AMPA | This work |
| Chryseobacterium sp. Y16C | 200 | 96 | 100 | 2.1 | AMPA | [87] |
| Ochrobactrum anthropi GPK 3 § | 500 | 150 | 56 | 1.9 | - | [88] |
| Pseudomonas sp. GC04 | 500 | 168 | 62.7 | 1.9 | AMPA | [89] |
| Pseudomonas sp. GA07 | 500 | 168 | 54.6 | 1.6 | AMPA | [89] |
| Ochrobactrum haematophilum SR | 254 | 96 | 56 | 1.5 | AMPA | [74] |
| Agrobacterium tumefaciens CHLDO | 254 | 96 | 47 | 1.2 | AMPA | [74] |
| Pseudomonas alcaligenes Z1–1 | 200 | 168 | 100 | 1.2 | AMPA | [90] |
| Achromobacter insolitus SOR2 | 253.6 | 96 | 40 | 1.1 | AMPA | [74] |
| Achromobacter xylosoxidans SOS3 | 253.6 | 96 | 41 | 1.1 | AMPA | [74] |
| Pseudomonas sp. GA09 | 500 | 168 | 35.5 | 1.1 | AMPA & Sarcosine | [89] |
| Achromobacter denitrificans SOS5 | 254 | 96 | 37 | 1.0 | AMPA | [74] |
| Achromobacter sp. MPK 7A § | 500 | 200 | 40 | 1.0 | Sarcosine | [88] |
| Rhizobium leguminosarum GP2 | 250 | 336 | 87.6 | 0.7 | AMPA & Sarcosine | [91] |
| Stenotrophomonas acidaminiphila Y4B | 50 | 72 | 98 | 0.7 | AMPA | [92] |
| Bacillus subtilis GP1 | 250 | 336 | 89.8 | 0.7 | AMPA & Sarcosine | [91] |
| Lysinibacillus sphaericus † | 679 | 720 | 79 | 0.7 | AMPA | [93] |
| Burkholderia sp. AQ5-13 | 50 | 60 | 74 | 0.6 | - | [55] |
| Streptomyces sp. GP3 | 250 | 336 | 86.2 | 0.6 | AMPA & Sarcosine | [91] |
| Bacillus cereus 6P | 169 | 240 | 37.7 | 0.3 | - | [94] |
| Ochrobactrum sp. BTU1 | 100 | 96 | 20 | 0.2 | AMPA | [95] |
| Enterobacter ludwigii WAG11 | 100 | 672 | 99.6 | 0.15 | - | [70] |
| Pseudomonas aeruginosa WAG9 | 100 | 672 | 99.4 | 0.15 | - | [70] |
| Enterobacter cloacae WAG5 | 100 | 672 | 95.9 | 0.14 | - | [70] |
| Klebsiella variicola WAG4 | 100 | 672 | 96 | 0.14 | - | [70] |
| Serratia liquefaciens WAG2 | 100 | 672 | 94.1 | 0.14 | - | [70] |
| Ochrobactrum sp. B18 | 50 | 360 | 70 | 0.1 | - | [96] |
| Ochrobactrum sp. DGG-1-3 | 50 | 360 | 60 | 0.08 | - | [96] |
| Ochrobactrum sp. Ge-14 | 50 | 360 | 60 | 0.08 | - | [96] |
| Pseudomonas citronellolis ADA-23B | 50 | 360 | 60 | 0.08 | - | [96] |
| Bacillus megaterium | 25 | 1440 | 71 | 0.01 | - | [97] |
| Azotobacter sp. | 20 | 1440 | 80 | 0.01 | - | [98] |
| Bacillus megaterium | 20 | 1440 | 87.3 | 0.01 | - | [98] |
| Bacillus subtilis | 20 | 1440 | 75.1 | 0.01 | - | [98] |
| Rhizobium sp. | 20 | 1440 | 80 | 0.01 | - | [98] |
5. Conclusions
Author Contributions
Funding
Institutional Review Board Statement
Informed Consent Statement
Data Availability Statement
Conflicts of Interest
References
- Chandran, S.C.; Thomas, S.; Unni, M.R. Pesticides: Classification, detection, and degradation. In Organic Farming: New Advances Towards Sustainable Agricultural Systems; Chandran, S.C., Thomas, S., Unni, M., Eds.; Springer: Cham, Switzerland, 2019; pp. 71–87. [Google Scholar] [CrossRef]
- Giri, B.S.; Geed, S.; Vikrant, K.; Lee, S.S.; Kim, K.H.; Kailasa, S.K.; Vithanage, M.; Chaturvedi, P.; Rai, B.N.; Singh, R.S. Progress in bioremediation of pesticide residues in the environment. Environ. Eng. Res. 2021, 26, 200446. [Google Scholar] [CrossRef]
- Dhankhar, N.; Kumar, J. Impact of increasing pesticides and fertilizers on human health: A review. Mater. Today Proc. 2023, in press. [Google Scholar] [CrossRef]
- Vercellino, R.B.; Hernández, F.; Pandolfo, C.; Ureta, S.; Presotto, A. Agricultural weeds: The contribution of domesticated species to the origin and evolution of feral weeds. Pest Manag. Sci. 2023, 79, 922–934. [Google Scholar] [CrossRef] [PubMed]
- Mesnage, R.; Szekács, A.; Zaller, J.G. Herbicides: Brief history, agricultural use, and potential alternatives for weed control. In Herbicides: Chemistry, Efficacy, Toxicology, and Environmental Impacts Emerging Issues in Analytical Chemistry; Mesnage, R., Zaller, J., Eds.; Elsevier: Amsterdam, The Netherlands, 2021; pp. 1–20. [Google Scholar] [CrossRef]
- Kubiak, A.; Wolna-Maruwka, A.; Niewiadomska, A.; Pilarska, A.A. The problem of weed infestation of agricultural plantations vs. the assumptions of the European biodiversity strategy. Agronomy 2022, 12, 1808. [Google Scholar] [CrossRef]
- Gao, W.T.; Su, W.H. Weed Management Methods for Herbaceous Field Crops: A Review. Agronomy 2024, 14, 486. [Google Scholar] [CrossRef]
- Tessema, T.; Wondimagegnehu, M.; Amare, F.; Takele, N.; Firehun, Y.; Abate, T. Economically Important Weeds and their Management. In The Untold Stories of African Agriculture: Lessons from Ethiopia; CABI: Wallingford, UK, 2024; pp. 227–240. [Google Scholar]
- FAO. FAOSTAT Pesticides Use. Available online: https://www.fao.org/faostat/en/#data/RP (accessed on 2 November 2024).
- Islam, F.; Wang, J.; Farooq, M.A.; Khan, M.S.; Xu, L.; Zhu, J.; Zhao, M.; Muños, S.; Li, Q.X.; Zhou, W. Potential impact of the herbicide 2,4-dichlorophenoxyacetic acid on human and ecosystems. Environ. Int. 2018, 111, 332–351. [Google Scholar] [CrossRef]
- Haggblade, S.; Minten, B.; Pray, C.; Reardon, T.; Zilberman, D. The herbicide revolution in developing countries: Patterns, causes, and implications. Eur. J. Dev. Res. 2017, 29, 533–559. [Google Scholar] [CrossRef]
- Soares, D.; Silva, L.; Duarte, S.; Pena, A.; Pereira, A. Glyphosate use, toxicity and occurrence in food. Foods 2021, 10, 2785. [Google Scholar] [CrossRef]
- Werner, M.; Berndt, C.; Mansfield, B. The glyphosate assemblage: Herbicides, uneven development, and chemical geographies of ubiquity. Ann. Am. Assoc. Geogr. 2022, 112, 19–35. [Google Scholar] [CrossRef]
- de Araujo, L.G.; Zordan, D.F.; Celzard, A.; Fierro, V. Glyphosate uses, adverse effects and alternatives: Focus on the current scenario in Brazil. Environ. Geochem. Health 2023, 45, 9559–9582. [Google Scholar] [CrossRef]
- Lima, J.D.M.; Gomes, D.S.; Frazão, N.F.; Soares, D.J.B.; Sarmento, R.G. Glyphosate adsorption on C60 fullerene in aqueous medium for water reservoir depollution. J. Mol. Model. 2020, 26, 110. [Google Scholar] [CrossRef]
- Hertel, R.; Gibhardt, J.; Martienssen, M.; Kuhn, R.; Commichau, F.M. Molecular mechanisms underlying glyphosate resistance in bacteria. Environ. Microbiol. 2021, 23, 2891–2905. [Google Scholar] [CrossRef]
- Badani, H.; Haddad, F.Z.; ElOuissi, A. First Report of Enterobacter hormaechei Isolated from Agricultural Soil in the Biodegradation of Glyphosate. Pollution 2024, 10, 283–298. [Google Scholar] [CrossRef]
- Manogaran, M.; Yakasai, H.M.; Shukor, M.Y. Characterization of a Glyphosate-Degrading Bacterium from a Paddy Field in Kepala Batas, Penang. Bull. Environ. Sci. Sustain. Manag. 2023, 7, 38–43. [Google Scholar] [CrossRef]
- Rahman, M.F.; Khayat, M.E.; Nasution, F.I.; Umar, A.M.; Yakasai, H.M. Characterisation of a Bacillus sp. Isolated from Soils Near Lake Maninjau Capable of Degrading Glyphosate. J. Environ. Microbiol. Toxicol. 2023, 11, 69–76. [Google Scholar] [CrossRef]
- Yakasai, H.M.; Manogaran, M.; Halmi, M.I.E.; Abubakar, A.; Khayat, M.E. Characterization of a Pseudomonas sp. Isolated from Langkawi Capable of Degrading Glyphosate. Bull. Environ. Sci. Sustain. Manag. 2023, 7, 26–33. [Google Scholar] [CrossRef]
- Guo, B.F.; Hong, H.L.; Sun, L.P.; Guo, Y.; Qiu, L.J. Transcriptome analysis reveals differing response and tolerance mechanism of EPSPS and GAT genes among transgenic soybeans. Mol. Biol. Rep. 2021, 48, 7351–7360. [Google Scholar] [CrossRef]
- Ramzi, S.N.; Sohani, M.M.; Shirzadian-Khorramabad, R.; Asghari, J.; Amininasab, M. Enhancement of glyphosate tolerance in rice (Oryza sativa L.) through mutation induction in EPSPS (5-enolpyruvylshikimate-3-phosphate synthase). Plant Gene 2020, 22, 100225. [Google Scholar] [CrossRef]
- Budeguer, F.; Enrique, R.; Perera, M.F.; Racedo, J.; Castagnaro, A.P.; Noguera, A.S.; Welin, B. Genetic transformation of sugarcane, current status and future prospects. Front. Plant Sci. 2021, 12, 768609. [Google Scholar] [CrossRef]
- Green, J.M. The rise and future of glyphosate and glyphosate-resistant crops. Pest Manag. Sci. 2018, 74, 1035–1039. [Google Scholar] [CrossRef]
- Beckie, H.J.; Flower, K.C.; Ashworth, M.B. Farming without glyphosate? Plants 2020, 9, 96. [Google Scholar] [CrossRef] [PubMed]
- Rawat, D.; Bains, A.; Chawla, P.; Kaushik, R.; Yadav, R.; Kumar, A.; Sridhar, K.; Sharma, M. Hazardous impacts of glyphosate on human and environment health: Occurrence and detection in food. Chemosphere 2023, 329, 138676. [Google Scholar] [CrossRef] [PubMed]
- Maggi, F.; La Cecilia, D.; Tang, F.H.; McBratney, A. The global environmental hazard of glyphosate use. Sci. Total Environ. 2020, 717, 137–167. [Google Scholar] [CrossRef] [PubMed]
- Rodrigues, L.D.B.; Costa, G.G.; Thá, E.L.; da Silva, L.R.; de Oliveira, R.; Leme, D.M.; Cestari, M.M.; Grisolia, C.K.; Valadares, M.C.; de Oliveira, G.A.R. Impact of the glyphosate-based commercial herbicide, its components and its metabolite AMPA on non-target aquatic organisms. Mutat. Res. Toxicol. Environ. Mutagen. 2019, 842, 94–101. [Google Scholar] [CrossRef]
- Castrejón-Godínez, M.L.; Tovar-Sánchez, E.; Valencia-Cuevas, L.; Rosas-Ramírez, M.; Rodríguez, A.; Mussali-Galante, P. Glyphosate Pollution Treatment and Microbial Degradation Alternatives, a Review. Microorganisms 2021, 9, 2322. [Google Scholar] [CrossRef]
- Tresnakova, N.; Stara, A.; Velisek, J. Effects of Glyphosate and Its Metabolite AMPA on Aquatic Organisms. Appl. Sci. 2021, 11, 9004. [Google Scholar] [CrossRef]
- Martins-Gomes, C.; Silva, T.L.; Andreani, T.; Silva, A.M. Glyphosate vs. Glyphosate-Based Herbicides Exposure: A Review on Their Toxicity. J. Xenobiot. 2022, 12, 21–40. [Google Scholar] [CrossRef]
- Ogunbiyi, O.D.; Akamo, D.O.; Oluwasanmi, E.E.; Adebanjo, J.; Isafiade, B.A.; Ogunbiyi, T.J.; Alli, Y.A.; Ayodele, D.T.; Oladoye, P.O. Glyphosate-based herbicide: Impacts, detection, and removal strategies in environmental samples. Groundw. Sust. Dev. 2023, 22, 100961. [Google Scholar] [CrossRef]
- Drechsel, V.; Krais, S.; Peschke, K.; Ziegler, M.; Kohler, H.-R.; Triebskorn, R. Glyphosate- and aminomethylphosphonic acid(AMPA)-induced mortality and residues in juvenile brown trout (Salmo trutta f. fario) exposed at different temperatures. Environ. Sci. Eur. 2024, 36, 30. [Google Scholar] [CrossRef]
- Marques-Brovini, E.; Cardoso, S.J.; Rebelo-Quadra, G.R.; Vilas-Boas, J.A.; Paranaiba, J.R.; Oliveira-Pereira, R.D.; Fernandes-Mendonca, R. Glyphosate concentrations in global freshwaters: Are aquatic organisms at risk? Environ. Sci. Pollut. Res. Int. 2021, 28, 60635–60648. [Google Scholar] [CrossRef]
- Sang, Y.; Mejuto, J.C.; Xiao, J.; Simal-Gandara, J. Assessment of glyphosate impact on the agrofood ecosystem. Plants 2021, 10, 405. [Google Scholar] [CrossRef] [PubMed]
- Aslam, S.; Arslan, M.; Nowak, K.M. Microbial activity, community composition and degraders in the glyphosate-spiked soil are driven by glycine formation. Sci. Total Environ. 2024, 907, 168206. [Google Scholar] [CrossRef] [PubMed]
- Silva, V.; Montanarella, L.; Jones, A.; Fernández-Ugalde, O.; Mol, H.G.; Ritsema, C.J.; Geissen, V. Distribution of glyphosate and aminomethylphosphonic acid (AMPA) in agricultural topsoils of the European Union. Sci. Total Environ. 2018, 621, 1352–1359. [Google Scholar] [CrossRef] [PubMed]
- Van Bruggen, A.H.; He, M.M.; Shin, K.; Mai, V.; Jeong, K.C.; Finckh, M.R.; Morris, J.G., Jr. Environmental and health effects of the herbicide glyphosate. Sci. Total Environ. 2018, 616–617, 255–268. [Google Scholar] [CrossRef]
- Mensah, P.K.; Palmer, C.G.; Odume, O.N. Ecotoxicology of glyphosate and glyphosate-based herbicides-toxicity to wildlife and humans. In Toxicity and Hazard of Agrochemicals; Larramendy, M.L., Soloneski, S., Eds.; IntechOpen: London, UK, 2015; pp. 9–37. [Google Scholar] [CrossRef]
- Rodríguez-Gil, J.L.; Prosser, R.S.; Duke, S.O.; Solomon, K.R. Ecotoxicology of glyphosate, its formulants, and environmental degradation products. In Reviews of Environmental Contamination and Toxicology Volume 255: Glyphosate; Knaak, J.B., Ed.; Springer: Cham, Switzerland, 2021; pp. 129–205. [Google Scholar] [CrossRef]
- Klátyik, S.; Simon, G.; Oláh, M.; Mesnage, R.; Antoniou, M.N.; Zaller, J.G.; Székács, A. Terrestrial ecotoxicity of glyphosate, its formulations, and co-formulants: Evidence from 2010–2023. Environ. Sci. Eur. 2023, 35, 51. [Google Scholar] [CrossRef]
- Galli, F.S.; Mollari, M.; Tassinari, V.; Alimonti, C.; Ubaldi, A.; Cuva, C.; Marcoccia, D. Overview of human health effects related to glyphosate exposure. Front. Toxicol. 2024, 6, 1474792. [Google Scholar] [CrossRef]
- Klátyik, S.; Simon, G.; Oláh, M.; Takács, E.; Mesnage, R.; Antoniou, M.N.; Zaller, J.G.; Székács, A. Aquatic ecotoxicity of glyphosate, its formulations, and co-formulants: Evidence from 2010 to 2023. Environ. Sci. Eur. 2024, 36, 22. [Google Scholar] [CrossRef]
- Singh, R.; Shukla, A.; Kaur, G.; Girdhar, M.; Malik, T.; Mohan, A. Systemic analysis of glyphosate impact on environment and human health. ACS Omega 2024, 9, 6165–6183. [Google Scholar] [CrossRef]
- Zhan, H.; Feng, Y.; Fan, X.; Chen, S. Recent advances in glyphosate biodegradation. Appl. Microbiol. Biotechnol. 2018, 102, 5033–5043. [Google Scholar] [CrossRef]
- Aluffi, M.E.; Carranza, C.S.; Magnoli, K.; Barberis, C.L.; Magnoli, C.E. Implications of the use of glyphosate-based herbicides in agriculture in Argentina—Contribution of fungi to the development of bioremediation strategies. J. Soil Sci. Plant Nutr. 2022, 22, 3428–3446. [Google Scholar] [CrossRef]
- Feng, D.; Soric, A.; Boutin, O. Treatment technologies and degradation pathways of glyphosate: A critical review. Sci. Total Environ. 2020, 742, 140559. [Google Scholar] [CrossRef] [PubMed]
- Klingelhöfer, D.; Braun, M.; Brüggmann, D.; Groneberg, D.A. Glyphosate: How do ongoing controversies, market characteristics, and funding influence the global research landscape? Sci. Total Environ. 2021, 765, 144271. [Google Scholar] [CrossRef] [PubMed]
- Sviridov, A.V.; Shushkova, T.V.; Ermakova, I.T.; Ivanova, E.V.; Epiktetov, D.O.; Leontievsky, A.A. Microbial degradation of glyphosate herbicides. Appl. Biochem. Microbiol. 2015, 51, 188–195. [Google Scholar] [CrossRef]
- Rodríguez, A.; Castrejón-Godínez, M.L.; Sánchez-Salinas, E.; Mussali-Galante, P.; Tovar-Sánchez, E.; Ortiz-Hernández, M.L. Pesticide bioremediation: OMICs technologies for understanding the processes. In Pesticides Bioremediation; Siddiqui, S., Meghvansi, M.K., Chaudhary, K.K., Eds.; Springer: Cham, Switzerland, 2022; pp. 197–242. [Google Scholar] [CrossRef]
- Rodríguez, A.; Castrejón-Godínez, M.L.; Mussali-Galante, P.; Tovar-Sánchez, E.; Díaz-Soto, J.A. Microbial-mediated Pesticide Bioremediation: An Approach Through the OMIC Technologies. In Microbial Bioremediation and Multiomics Technologies for Sustainable Development: Recent Trends; Ameen, F., Bhat, S.A., Kumar, V., Eds.; Royal Society of Chemistry: London, UK, 2024; pp. 1–48. [Google Scholar] [CrossRef]
- Chen, Y.; Chen, W.; Huang, Y.; Li, J.; Zhong, J.; Zhang, W.; Zou, Y.; Mishra, S.; Bhatt, P.; Chen, S. Insights into the microbial degradation and resistance mechanisms of glyphosate. Environ. Res. 2022, 215, 114153. [Google Scholar] [CrossRef]
- Shushkova, T.V.; Vinokurova, N.G.; Baskunov, B.P.; Zelenkova, N.F.; Sviridov, A.V.; Ermakova, I.T.; Leontievsky, A.A. Glyphosate acetylation as a specific trait of Achromobacter sp. Kg 16 physiology. Appl. Microbiol. Biotechnol. 2016, 100, 847–855. [Google Scholar] [CrossRef]
- Yuan, Y.; Zhou, Z.; Zhan, Y.; Ke, X.; Yan, Y.; Lin, M.; Li, P.; Jiang, S.; Wang, J.; Lu, W. A highly glyphosate-resistant EPSPS mutant from laboratory evolution. Appl. Sci. 2022, 12, 5723. [Google Scholar] [CrossRef]
- Manogaran, M.; Shukor, M.Y.; Yasid, N.A.; Johari, W.L.W.; Ahmad, S.A. Isolation and characterisation of glyphosate-degrading bacteria isolated from local soils in Malaysia. Rend. Lincei 2017, 28, 471–479. [Google Scholar] [CrossRef]
- Manogaran, M.; Ahmad, S.A.; Yasid, N.A.; Yakasai, H.M.; Shukor, M.Y. Characterisation of the simultaneous molybdenum reduction and glyphosate degradation by Burkholderia vietnamiensis AQ5-12 and Burkholderia sp. AQ5-13. 3 Biotech 2018, 8, 117. [Google Scholar] [CrossRef]
- Díaz-Soto, J.A.; Mussali-Galante, P.; Castrejón-Godínez, M.L.; Saldarriaga-Noreña, H.A.; Tovar-Sánchez, E.; Rodríguez, A. Glyphosate resistance and biodegradation by Burkholderia cenocepacia CEIB S5-2. Environ. Sci. Pollut. Res. 2024, 31, 37480–37495. [Google Scholar] [CrossRef]
- Dobritsa, A.P.; Samadpour, M. Transfer of eleven Burkholderia species to the genus Paraburkholderia and proposal of Caballeronia gen. nov., a new genus to accommodate twelve species of Burkholderia and Paraburkholderia. Int. J. Syst. Evol. Microbiol. 2016, 66, 2836–2846. [Google Scholar] [CrossRef]
- Popoca-Ursino, E.C.; Martínez-Ocampo, F.; Dantán-González, E.; Sánchez-Salinas, E.; Ortiz-Hernández, M.L. Characterization of methyl parathion degradation by a Burkholderia zhejiangensis strain, CEIB S4-3, isolated from agricultural soils. Biodegradation 2017, 28, 351–367. [Google Scholar] [CrossRef]
- Castrejón-Godínez, M.L.; Ortiz-Hernández, M.L.; Salazar, E.; Encarnación, S.; Mussali-Galante, P.; Tovar-Sánchez, E.; Sánchez-Salinas, E.; Rodríguez, A. Transcriptional analysis reveals the metabolic state of Burkholderia zhejiangensis CEIB S4-3 during methyl parathion degradation. PeerJ 2019, 7, e6822. [Google Scholar] [CrossRef]
- Roy, J.F.; Grossman, J.N.; Anumol, T. Measurement of Underivatized Glyphosate and Other Polar Pesticides in Aqueous Matrices Using LC-MS/MS. Application Notes, Water Analysis. Agilent Technologies, Inc. 2021. Available online: https://www.agilent.com/cs/library/applications/application-glyphosate-water-lc-tq-ms-5994-2986en-agilent.pdf (accessed on 2 November 2024).
- Hernández-Mendoza, A.; Martínez-Ocampo, F.; Lozano-Aguirre Beltrán, L.F.; Popoca-Ursino, E.C.; Ortiz-Hernández, L.; Sánchez-Salinas, E.; Dantán-González, E. Draft genome sequence of the organophosphorus compound-degrading Burkholderia zhejiangensis strain CEIB S4-3. Genome Announc. 2014, 2, e01323-14. [Google Scholar] [CrossRef] [PubMed]
- Thiour-Mauprivez, C.; Martin-Laurent, F.; Calvayrac, C.; Barthelmebs, L. Efects of herbicide on non-target microorganisms: Towards a new class of biomarkers? Sci. Total Environ. 2019, 684, 314–325. [Google Scholar] [CrossRef]
- Busse, M.D.; Ratclif, A.W.; Shestak, C.J.; Powers, R.F. Glyphosate toxicity and the efects of long-term vegetation control on soil microbial communities. Soil Biol. Biochem. 2001, 33, 1777–1789. [Google Scholar] [CrossRef]
- Mohamed, M.; Aliyat, F.Z.; Ben Messaoud, B.; Simone, C.; Marina, M.; Filippo, G.; Laila, N.; Jamal, I. Efects of pesticides use (glyphosate & paraquat) on biological nitrogen fxation. Water Air Soil Pollut. 2021, 232, 419. [Google Scholar] [CrossRef]
- Mendonca, C.M.; Reed, M.L.; Kukurugya, M.A.; Aristilde, L. Adverse metabolic outcomes in soil Pseudomonas species exposed to polyethoxylated tallow amine and glyphosate. Environ. Sci. Technol. Lett. 2019, 6, 448–455. [Google Scholar] [CrossRef]
- Gandhi, K.; Khan, S.; Patrikar, M.; Markad, A.; Kumar, N.; Choudhari, A.; Sagar, P.; Indurkar, S. Exposure risk and environmental impacts of glyphosate: Highlights on the toxicity of herbicide co-formulants. Environ. Chall. 2021, 4, 100149. [Google Scholar] [CrossRef]
- Nourouzi, M.M.; Chuah, T.G.; Choong, T.S.; Lim, C.J. Glyphosate utilization as the source of carbon: Isolation and identifcation of new bacteria. J. Chem. 2011, 8, 1582–1587. [Google Scholar] [CrossRef]
- Hove-Jensen, B.; Zechel, D.L.; Jochimsen, B. Utilization of glyphosate as phosphate source: Biochemistry and genetics of bacterial carbon-phosphorus lyase. Microbiol. Mol. Biol. Rev. 2014, 78, 176–197. [Google Scholar] [CrossRef]
- Mohy-Ud-Din, W.; Akhtar, M.J.; Bashir, S.; Asghar, H.N.; Nawaz, M.F.; Chen, F. Isolation of Glyphosate-Resistant Bacterial Strains to Improve the Growth of Maize and Degrade Glyphosate Under Axenic Condition. Agriculture 2023, 13, 886. [Google Scholar] [CrossRef]
- Moneke, A.N.; Okpala, G.N.; Anyanwu, C.U. Biodegradation of glyphosate herbicide in vitro using bacterial isolates from four rice felds. Afr. J. Biotechnol. 2010, 9, 4067–4074. [Google Scholar]
- Massot, F.; Gkorezis, P.; Van Hamme, J.; Marino, D.; Trifunovic, B.S.; Vukovic, G.; d’Haen, J.; Pintelon, I.; Giulietti, A.M.; Merini, L.; et al. Isolation, biochemical and genomic characterization of glyphosate tolerant bacteria to perform microbe-assisted phytoremediation. Front. Microbiol. 2021, 11, 598507. [Google Scholar] [CrossRef] [PubMed]
- Kryuchkova, Y.V.; Burygin, G.L.; Gogoleva, N.E.; Gogolev, Y.V.; Chernyshova, M.P.; Makarov, O.E.; Fedorov, E.E.; Turkovskaya, O.V. Isolation and characterization of a glyphosate-degrading rhizosphere strain, Enterobacter cloacae K7. Microbiol. Res. 2014, 169, 99–105. [Google Scholar] [CrossRef]
- Massoti, F.; Garavaglia, B.S.; Piazza, A.; Burdisso, P.; Altabe, S.; Gottig, N.; Ottado, J. Bacterial isolates from Argentine Pampas and their ability to degrade glyphosate. Sci. Total Environ. 2021, 774, 145761. [Google Scholar] [CrossRef]
- Nikmah, A.L.; Lisdiana, L. Penapisan Bakteri Rizosfer Pendegradasi Herbisida Glifosat dari Tanah Pertanian Cabai Rawit (Capsicum frutescent L.). LenteraBio Berk. Ilm. Biol. 2024, 13, 24–31. [Google Scholar] [CrossRef]
- Lisdiana, L.; Maulida, K.Z.R.; Anissa, R.K.; Arista, A.M. Identification of Promising Glyphosate-Degrading Bacteria Isolated from the Rhizosphere of Local Chili Pepper Plantation. Prism. Sains J. Pengkaj. Ilmu Pembelajaran Mat. IPA IKIP Mataram 2025, 13, 84–93. [Google Scholar]
- Staub, J.M.; Brand, L.; Tran, M.; Kong, Y.; Rogers, S.G. Bacterial glyphosate resistance conferred by overexpression of an E. coli membrane efflux transporter. J. Ind. Microbiol. Biotechnol. 2012, 39, 641–647. [Google Scholar] [CrossRef]
- Hertel, R.; Schöne, K.; Mittelstädt, C.; Meißner, J.; Zschoche, N.; Collignon, M.; Kohler, C.; Friedrich, I.; Schneider, D.; Hoppert, M.; et al. Characterization of glyphosate-resistant Burkholderia anthina and Burkholderia cenocepacia isolates from a commercial Roundup® solution. Environ. Microbiol. Rep. 2022, 14, 70–84. [Google Scholar] [CrossRef]
- Firdous, S.; Iqbal, S.; Anwar, S.; Jabeen, H. Identifcation and analysis of 5-enolpyruvylshikimate-3-phosphate synthase (EPSPS) gene from glyphosate-resistant Ochrobactrum intermedium Sq20. Pest. Manag. Sci. 2018, 74, 1184–1196. [Google Scholar] [CrossRef]
- Dick, R.E.; Quinn, J.P. Glyphosate-degrading isolates from environmental samples: Occurrence and pathways of degradation. Appl. Microbiol. Biotechnol. 1995, 43, 545–550. [Google Scholar] [CrossRef] [PubMed]
- Pipke, R.; Amrhein, N. Isolation and characterization of a mutant of Arthrobacter sp. strain GLP-1 which utilizes the herbicide glyphosate as its sole source of phosphorus and nitrogen. Appl. Environ. Microbiol. 1988, 54, 2868–2870. [Google Scholar] [CrossRef] [PubMed]
- Jacob, G.S.; Garbow, J.R.; Hallas, L.E.; Kimack, N.M.; Kishore, G.M.; Schaefer, J. Metabolism of glyphosate in Pseudomonas sp. strain LBr. Appl. Environ. Microbiol. 1988, 54, 2953–2958. [Google Scholar] [CrossRef]
- Bazot, S.; Lebeau, T. Simultaneous mineralization of glyphosate and diuron by a consortium of three bacteria as free-and/ or immobilized-cells formulations. Appl. Microbiol. Biotechnol. 2008, 77, 1351–1358. [Google Scholar] [CrossRef]
- Firdous, S.; Iqbal, S.; Anwar, S. Optimization and Modeling of Glyphosate Biodegradation by a Novel Comamonas odontotermitis P2 Through Response Surface Methodology. Pedosphere 2017, 30, 618–627. [Google Scholar] [CrossRef]
- Chauhan, M.P.; Singh, N.K.; Chaudhary, A.K.; Shalini, R. Characterization of rhizobium isolates from Sesbania rhizosphere and their role in bioremediation of glyphosate and Monocrotophos. Int. J. Appl. Nat. Sci. 2017, 6, 11–22. [Google Scholar]
- Wang, M.; Hao, Q.; Lessing, D.J.; Chu, W. Pseudomonas putida HE alleviates glyphosate-induced toxicity in earthworm: Insights from the neurological, reproductive and immunological status. Environ. Pollut. 2024, 359, 124554. [Google Scholar] [CrossRef]
- Zhang, W.; Li, J.; Zhang, Y.; Wu, X.; Zhou, Z.; Huang, Y.; Zhao, Y.; Mishra, S.; Bhatt, P.; Chen, S. Characterization of a novel glyphosate-degrading bacterial species, Chryseobacterium sp. Y16C, and evaluation of its effects on microbial communities in glyphosate-contaminated soil. J. Hazard. Mater. 2022, 432, 128689. [Google Scholar] [CrossRef]
- Ermakova, I.T.; Shushkova, T.V.; Sviridov, A.V.; Zelenkova, N.F.; Vinokurova, N.G.; Baskunov, B.P.; Leontievsky, A.A. Organophosphonates utilization by soil strains of Ochrobactrum anthropi and Achromobacter sp. Arch. Microbiol. 2017, 199, 665–675. [Google Scholar] [CrossRef]
- Zhao, H.; Tao, K.; Zhu, J.; Liu, S.; Gao, H.; Zhou, X. Bioremediation potential of glyphosate-degrading Pseudomonas spp. strains isolated from contaminated soil. J. Gen. Appl. Microbiol. 2015, 61, 165–170. [Google Scholar] [CrossRef]
- Zhang, Z.; Zhao, C.; Wu, T.; Xu, Y.; Wang, L.; Niu, Y. Physiological response and molecular mechanism of glyphosate degradation by Pseudomonas alcaligenes Z1-1. Biochem. Eng. J. 2024, 209, 109405. [Google Scholar] [CrossRef]
- Singh, S.; Kumar, V.; Singh, J. Kinetic study of the biodegradation of glyphosate by indigenous soil bacterial isolates in presence of humic acid, Fe (III) and Cu (II) ions. J. Environ. Chem. Eng. 2019, 7, 103098. [Google Scholar] [CrossRef]
- Li, J.; Chen, W.J.; Zhang, W.; Zhang, Y.; Lei, Q.; Wu, S.; Huang, Y.; Mishra, S.; Bhatt, P.; Chen, S. Effects of free or immobilized bacterium Stenotrophomonas acidaminiphila Y4B on glyphosate degradation performance and indigenous microbial community structure. J. Agric. Food. Chem. 2022, 70, 13945–13958. [Google Scholar] [CrossRef] [PubMed]
- Pérez-Rodríguez, M.; Melo, C.; Jiménez, E.; Dussán, J. Glyphosate bioremediation through the sarcosine oxidase pathway mediated by Lysinibacillus sphaericus in soils cultivated with potatoes. Agriculture 2019, 9, 217. [Google Scholar] [CrossRef]
- Acosta-Cortés, A.G.; Martinez-Ledezma, C.; López-Chuken, U.J.; Kaushik, G.; Nimesh, S.; Villarreal-Chiu, J.F. Polyphosphate recovery by a native Bacillus cereus strain as a direct effect of glyphosate uptake. ISME J. 2019, 13, 1497–1505. [Google Scholar] [CrossRef]
- Riedel, R.; Commichau, F.M.; Benndorf, D.; Hertel, R.; Holzer, K.; Hoelzle, L.E.; Mardoukhi, M.S.Y.; Noack, L.E.; Martienssen, M. Biodegradation of selected aminophosphonates by the bacterial isolate Ochrobactrum sp. BTU1. Microbiol. Res. 2024, 280, 127600. [Google Scholar] [CrossRef]
- Góngora-Echeverría, V.R.; García-Escalante, R.; Rojas-Herrera, R.; Giácoman-Vallejos, G.; Ponce-Caballero, C. Pesticide bioremediation in liquid media using a microbial consortium and bacteria-pure strains isolated from a biomixture used in agricultural areas. Ecotoxicol. Environ. Saf. 2020, 200, 110734. [Google Scholar] [CrossRef]
- Mousa, N.K.; Ali, A.J.; Hussein, M. Bacillus Megaterium Biodegradation Glyphosate; IntechOpen: Rijeka, Croatia, 2021; pp. 1–9. [Google Scholar] [CrossRef]
- Mousa, N.; Abdul Hassan, M. Biodegradation of Glyphosate by Four Plant Growth Promoting Bacteria (4PGPB). Pollution 2024, 11, 15–22. [Google Scholar] [CrossRef]






Disclaimer/Publisher’s Note: The statements, opinions and data contained in all publications are solely those of the individual author(s) and contributor(s) and not of MDPI and/or the editor(s). MDPI and/or the editor(s) disclaim responsibility for any injury to people or property resulting from any ideas, methods, instructions or products referred to in the content. |
© 2025 by the authors. Licensee MDPI, Basel, Switzerland. This article is an open access article distributed under the terms and conditions of the Creative Commons Attribution (CC BY) license (https://creativecommons.org/licenses/by/4.0/).
Share and Cite
Morales-Olivares, M.I.; Castrejón-Godínez, M.L.; Mussali-Galante, P.; Tovar-Sánchez, E.; Saldarriaga-Noreña, H.A.; Rodríguez, A. Characterization of Glyphosate Resistance and Degradation Profile of Caballeronia zhejiangensis CEIB S4-3 and Genes Involved in Its Degradation. Microorganisms 2025, 13, 651. https://doi.org/10.3390/microorganisms13030651
Morales-Olivares MI, Castrejón-Godínez ML, Mussali-Galante P, Tovar-Sánchez E, Saldarriaga-Noreña HA, Rodríguez A. Characterization of Glyphosate Resistance and Degradation Profile of Caballeronia zhejiangensis CEIB S4-3 and Genes Involved in Its Degradation. Microorganisms. 2025; 13(3):651. https://doi.org/10.3390/microorganisms13030651
Chicago/Turabian StyleMorales-Olivares, Manuel Isaac, María Luisa Castrejón-Godínez, Patricia Mussali-Galante, Efraín Tovar-Sánchez, Hugo Albeiro Saldarriaga-Noreña, and Alexis Rodríguez. 2025. "Characterization of Glyphosate Resistance and Degradation Profile of Caballeronia zhejiangensis CEIB S4-3 and Genes Involved in Its Degradation" Microorganisms 13, no. 3: 651. https://doi.org/10.3390/microorganisms13030651
APA StyleMorales-Olivares, M. I., Castrejón-Godínez, M. L., Mussali-Galante, P., Tovar-Sánchez, E., Saldarriaga-Noreña, H. A., & Rodríguez, A. (2025). Characterization of Glyphosate Resistance and Degradation Profile of Caballeronia zhejiangensis CEIB S4-3 and Genes Involved in Its Degradation. Microorganisms, 13(3), 651. https://doi.org/10.3390/microorganisms13030651

