Effect of Bacteria from the Genus Azospirillum on Oxidative Stress Levels in Wheat Triticum aestivum L. in the Presence of Copper, Nickel, and Lead
Abstract
1. Introduction
2. Materials and Methods
2.1. Cultivation of Bacteria
2.2. Plant Cultivation
2.3. Field Experiment
2.4. Assay of Catalase Activity
2.5. Assay of MDA Concentration
2.6. Assay of Pigments Level
2.7. Determination of Gene Expression Levels
2.8. Assay of Heavy Metal Content
2.9. Statistical Analysis
3. Results
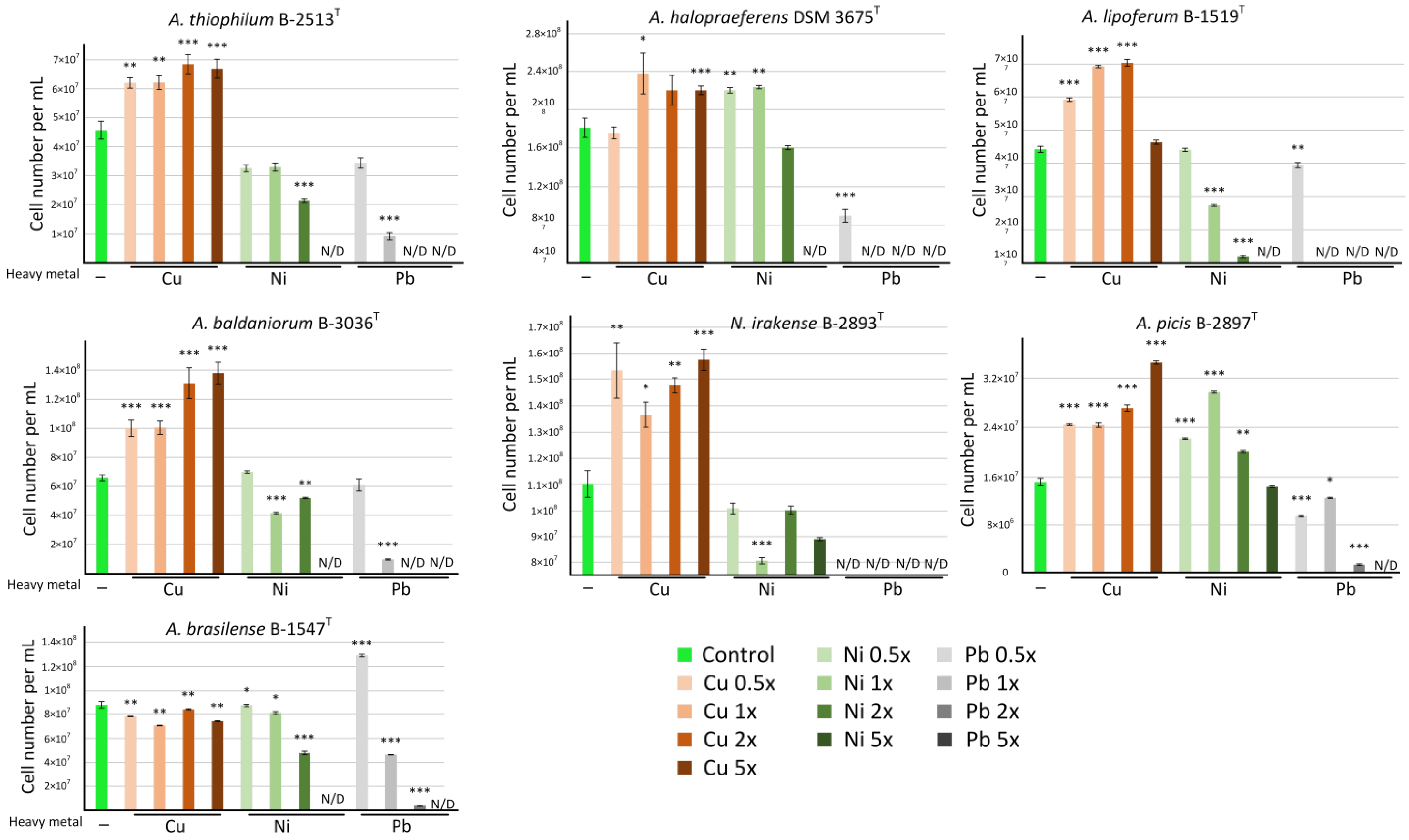
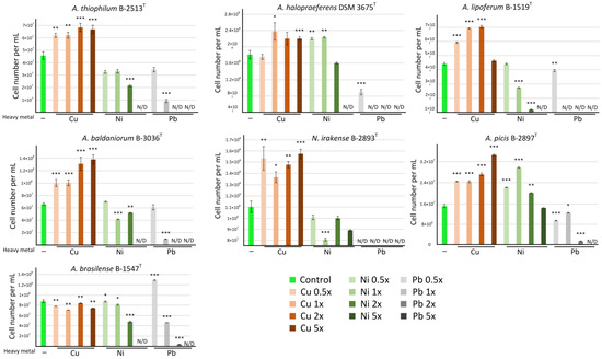
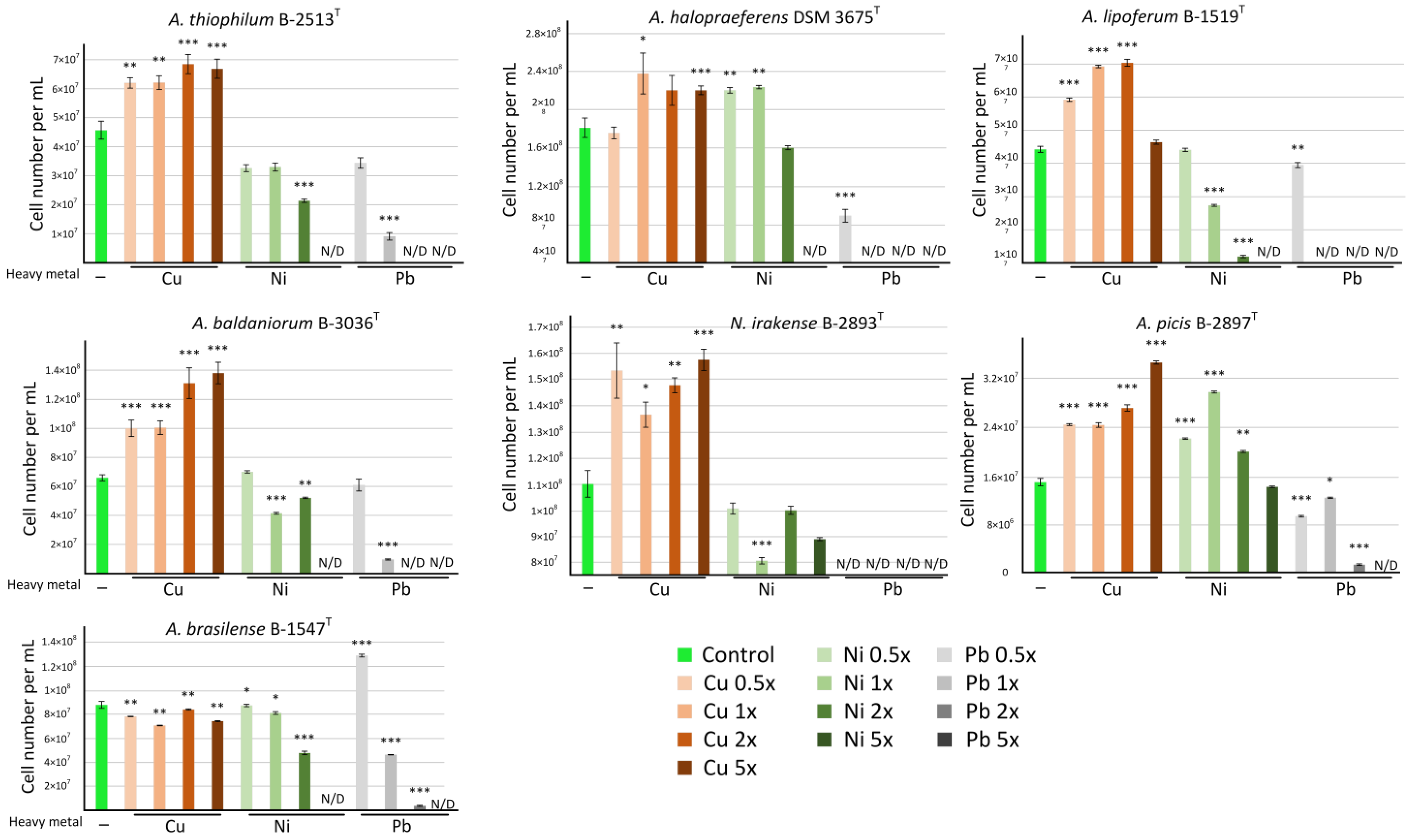
3.1. Resistance of Bacterial Strains to Heavy Metals
3.2. MDA Concentration and Catalase Activity in Different Azospirillum Strains
3.3. Wheat Growth and Oxidative Stress in a Petri Dish Experiment
3.4. Effect of Heavy Metal and Bacterial Inoculation on the Pigment Content
3.5. Effect of Heavy Metal and Bacterial Inoculation on the Gene Expression
3.6. Impact of Bacteria Inoculation on the Heavy Metal Content in the Biomass of Wheat
3.7. Effect of Heavy Metal and Bacterial Inoculation on the Wheat’s Harvest
4. Discussion
5. Conclusions
Supplementary Materials
Author Contributions
Funding
Institutional Review Board Statement
Informed Consent Statement
Data Availability Statement
Acknowledgments
Conflicts of Interest
Abbreviations
| HM | heavy metal |
| ROS | reactive oxygen species |
| PGPRs | plant growth-promoting rhizobacteria |
| MAC | maximum allowable concentration |
| MDA | malondialdehyde |
| NDOR | NADPH-dependent diflavin oxidoreductase |
| GST | glutathione-S transferase |
References
- Crop Prospects and Food Situation #2, July 2022. 2022. Available online: https://www.fao.org/3/cc6806en/cc6806en.pdf (accessed on 13 January 2025). [CrossRef]
- Alam, M.; Baenziger, P.S.; Frels, K. Emerging trends in wheat (Triticum spp.) breeding: Implications for the future. Front. Biosci. (Elite Ed.) 2024, 16, 2. [Google Scholar] [CrossRef] [PubMed]
- Alcamo, J.; Dronin, N.; Endejan, M.; Golubev, G.; Kirilenko, A. A new assessment of climate change impacts on food production shortfalls and water availability in Russia. Glob. Environ. Change 2007, 17, 429–444. [Google Scholar] [CrossRef]
- Temirbekova, S.K.; Kulikov, I.M.; Afanasyeva, Y.V.; Beloshapkina, O.O.; Kalashnikova, E.A.; Kirakosyan, R.N.; Dokukin, P.A.; Kucher, D.E.; Latati, M.; Rebouh, N.Y. The Evaluation of Winter Wheat Adaptation to Climate Change in the Central Non-Black Region of Russia: Study of the Gene Pool Resistance of Wheat from the N.I. Vavilov Institute of Plant Industry (VIR) World Collection to Abiotic Stress Factors. Plants 2021, 10, 2337. [Google Scholar] [CrossRef] [PubMed]
- Rizvi, A.; Ahmed, B.; Zaidi, A.; Khan, M.S. Heavy metal mediated phytotoxic impact on winter wheat: Oxidative stress and microbial management of toxicity by Bacillus subtilis BM2. RSC Adv. 2019, 9, 6125–6142. [Google Scholar] [CrossRef]
- Belhassan, M.; Farhat, A.; Abed, H.E.; Chaabeen, Z.; Bouzid, F.; Elleuch, A.; Fendri, I.; Khemakhem, B. Isolation and identification of a new Bacillus glycinifermentans strain from date palm rhizosphere and its effect on barley seeds under heavy metal stress. Braz. J. Microbiol. 2024, 55, 843–854. [Google Scholar] [CrossRef]
- Chandwani, S.; Kayasth, R.; Naik, H.; Amaresan, N. Current status and future prospect of managing lead (Pb) stress through microbes for sustainable agriculture. Environ. Monit. Assess. 2023, 195, 479. [Google Scholar] [CrossRef]
- Aslam, M.; Aslam, A.; Sheraz, M.; Ali, B.; Ulhassan, Z.; Najeeb, U.; Zhou, W.; Gill, R.A. Lead toxicity in cereals: Mechanistic insight into toxicity, mode of action, and management. Front. Plant. Sci. 2021, 11, 587785. [Google Scholar] [CrossRef]
- Joshi, S.; Gangola, S.; Bhandari, G.; Bhandari, N.S.; Nainwal, D.; Rani, A.; Malik, S.; Slama, P. Rhizospheric bacteria: The key to sustainable heavy metal detoxification strategies. Front. Microbiol. 2023, 14, 1229828. [Google Scholar] [CrossRef]
- Zhou, X.; Zhang, X.; Ma, C.; Wu, F.; Jin, X.; Dini-Andreote, F.; Wei, Z. Biochar amendment reduces cadmium uptake by stimulating cadmium-resistant PGPR in tomato rhizosphere. Chemosphere 2022, 307 Pt 4, 136138. [Google Scholar] [CrossRef]
- Méndez-Gómez, M.; Castro-Mercado, E.; Alexandre, G.; García-Pineda, E. Oxidative and antioxidative responses in the wheat-Azospirillum brasilense interaction. Protoplasma 2016, 253, 477–486. [Google Scholar] [CrossRef]
- Vazquez, A.; Zawoznik, M.; Benavides, M.P.; Groppa, M.D. Azospirillum brasilense Az39 restricts cadmium entrance into wheat plants and mitigates cadmium stress. Plant Sci. 2021, 312, 111056. [Google Scholar] [CrossRef] [PubMed]
- Muratova, A.Y.; Lyubun, E.V.; Golubev, S.N.; Turkovskaya, O.V. Effect of copper ions on the associations of Azospirillum bacteria with wheat seedlings (Triticum aestivum L.). Vavilovskii Zhurnal Genet. Selektsii. 2022, 26, 477–485. [Google Scholar] [CrossRef] [PubMed]
- El-Ballat, E.M.; Elsilk, S.E.; Ali, H.M.; Ali, H.E.; Hano, C.; El-Esawi, M.A. Metal-Resistant PGPR Strain Azospirillum brasilense EMCC1454 Enhances Growth and Chromium Stress Tolerance of Chickpea (Cicer arietinum L.) by Modulating Redox Potential, Osmolytes, Antioxidants, and Stress-Related Gene Expression. Plants 2023, 12, 2110. [Google Scholar] [CrossRef] [PubMed]
- Carrillo-Castañeda, G.; Muñoz, J.J.; Peralta-Videa, J.R. A spectrophotometric method to determine the siderophore production by strains of fluorescent Pseudomonas in the presence of copper and iron. Microchem. J. 2005, 81, 35–40. [Google Scholar] [CrossRef]
- Salam, L.B.; Apollos, E.E.; Obayori, O.S.; Michael, G.I. Physicochemistry and comparative metagenomics of a tropical estuary persistently inundated with anthropogenic pollutants. Folia Microbiol. 2024. Advance online publication. [Google Scholar] [CrossRef]
- Khudur, L.S.; Gleeson, D.B.; Ryan, M.H.; Shahsavari, E.; Haleyur, N.; Nugegoda, D.; Ball, A.S. Implications of co-contamination with aged heavy metals and total petroleum hydrocarbons on natural attenuation and ecotoxicity in Australian soils. Environ. Pollut. 2018, 243 Pt A, 94–102. [Google Scholar] [CrossRef]
- Ogar, A.; Sobczyk, Ł.; Turnau, K. Effect of combined microbes on plant tolerance to Zn-Pb contaminations. Environ. Sci. Pollut. Res. Int. 2015, 22, 19142–19156. [Google Scholar] [CrossRef]
- Pfennig, N.; Lippert, K.D. Über das Vitamin B12-Bedürfnis phototropher Schwefelbakterien. Arch. Mikrobiol. 1966, 55, 245. [Google Scholar] [CrossRef]
- Dennis, M.T.; Arnaud, S.D.; Malatesta, F.J. Hydrogen peroxide is the end of oxygen reduction by the terminal oxidase in the marin bacterium Pseudomonas palustris strain 617. FEBS Lett. 1989, 247, 475–479. [Google Scholar] [CrossRef]
- Lowry, O.H.; Rosenbrough, N.; Farr, A.; Randall, R.J. Protein measurement with the folin phenol reagent. J. Biol. Chem. 1951, 193, 265–275. [Google Scholar] [CrossRef]
- Al-Fawaeir, S.; Akgul, E.O.; Cayci, T.; Demirin, H.; Kurt, Y.G.; Aydin, I.; Agilli, M.; Özkan, E.; Yaman, H.; Cakir, E.; et al. Comparison of two methods for malondialdehyde measurement. J. Clin. Anal. Med. 2011, 2, 11–14. [Google Scholar] [CrossRef]
- Lorenzen, C.J. Determination of chlorophyll and pheo-pigments: Spectrophotometric equations. Limnol. Oceanogr. 1967, 12, 343–346. [Google Scholar] [CrossRef]
- Campillo-Cora, C.; González-Feijoo, R.; Arias-Estévez, M.; Fernández-Calviño, D. Influence of soil properties on the development of bacterial community tolerance to Cu, Ni, Pb and Zn. Environ. Res. 2022, 214, 113920. [Google Scholar] [CrossRef] [PubMed]
- Dos Santos Ferreira, N.; Hayashi Sant’ Anna, F.; Massena Reis, V.; Ambrosini, A.; Gazolla Volpiano, C.; Rothballer, M.; Schwab, S.; Baura, V.A.; Balsanelli, E.; Pedrosa, F.O.; et al. Genome-based reclassification of Azospirillum brasilense Sp245 as the type strain of Azospirillum baldaniorum sp. nov. Int. J. Syst. Evol. Microbiol. 2020, 70, 6203–6212. [Google Scholar] [CrossRef]
- Kamnev, A.A.; Renou-Gonnord, M.F.; Antonyuk, L.P.; Colina, M.; Chernyshev, A.V.; Frolov, I.; Ignatov, V.V. Spectroscopic characterization of the uptake of essential and xenobiotic metal cations in cells of the soil bacterium Azospirillum brasilense. Biochem. Mol. Biol. Int. 1997, 41, 123–130. [Google Scholar] [CrossRef]
- Shelud’ko, A.V.; Varshalomidze, O.E.; Petrova, L.P.; Katsy, E.I. Effect of genomic rearrangement on heavy metal tolerance in the plant-growth-promoting rhizobacterium Azospirillum brasilense Sp245. Folia Microbiol. 2012, 57, 5–10. [Google Scholar] [CrossRef]
- Zhao, X.; Wu, Y.; Wang, L.; Li, W.; Jin, M.; Li, S. Removal of Ni (II) and microbial dynamics in single-chamber microbial electrolysis cell. Wei Sheng Wu Xue Bao = Acta Microbiol. Sin. 2016, 56, 1794–1801. [Google Scholar]
- Weismann, D.; Hartvigsen, K.; Lauer, N.; Bennett, K.L.; Scholl, H.P.N.; Issa, P.C.; Cano, M.; Brandstätter, H.; Tsimikas, S.; Skerka, C.; et al. Complement factor H binds malondialdehyde epitopes and protects from oxidative stress. Nature 2011, 478, 76–81. [Google Scholar] [CrossRef]
- Glorieux, C.; Calderon, P.B. Catalase, a remarkable enzyme: Targeting the oldest antioxidant enzyme to find a new cancer treatment approach. Biol. Chem. 2017, 398, 1095–1108. [Google Scholar] [CrossRef] [PubMed]
- Kumar, R.; Mehrotra, N.K.; Nautiyal, B.D.; Kumar, P.; Singh, P.K. Effect of copper on growth, yield and concentration of Fe, Mn, Zn and Cu in wheat plants (Triticum aestivum L.). J. Environ. Biol. 2009, 30, 485–488. [Google Scholar] [PubMed]
- Moustakas, M.; Ouzounidou, G.; Symeonidis, L.; Karataglis, S. Field study of the effects of excess copper on wheat photosynthesis and productivity. Soil Sci. Plant Nutr. 1997, 43, 531–539. [Google Scholar] [CrossRef]
- Nianiou-Obeidat, I.; Madesis, P.; Kissoudis, C.; Voulgari, G.; Chronopoulou, E.; Tsaftaris, A.; Labrou, N.E. Plant glutathione transferase-mediated stress tolerance: Functions and biotechnological applications. Plant Cell Rep. 2017, 36, 791–805. [Google Scholar] [CrossRef]
- Schröder, P.; Lyubenova, L.; Huber, C. Do heavy metals and metalloids influence the detoxification of organic xenobiotics in plants? Environ. Sci. Pollut. Res. Int. 2009, 16, 795–804. [Google Scholar] [CrossRef]
- Li, G.; Peng, X.; Xuan, H.; Wei, L.; Yang, Y.; Guo, T.; Kang, G. Proteomic analysis of leaves and roots of common wheat (Triticum aestivum L.) under copper-stress conditions. J. Proteome Res. 2013, 12, 4846–4861. [Google Scholar] [CrossRef]
- Gureeva, M.V.; Gureev, A.P. Molecular mechanisms determining the role of bacteria from the genus Azospirillum in plant adaptation to damaging environmental factors. Int. J. Mol. Sci. 2023, 24, 9122. [Google Scholar] [CrossRef]
- Pishchik, V.; Mirskaya, G.; Chizhevskaya, E.; Chebotar, V.; Chakrabarty, D. Nickel stress-tolerance in plant-bacterial associations. PeerJ 2021, 9, e12230. [Google Scholar] [CrossRef]
- Cummins, I.; Dixon, D.P.; Freitag-Pohl, S.; Skipsey, M.; Edwards, R. Multiple roles for plant glutathione transferases in xenobiotic detoxification. Drug Metab. Rev. 2011, 43, 266. [Google Scholar] [CrossRef]
- Li, S.; Wang, J.; Gao, N.; Liu, L.; Chen, Y. The effects of Pantoea sp. strain Y4-4 on alfalfa in the remediation of heavy-metal-contaminated soil, and auxiliary impacts of plant residues on the remediation of saline-alkali soils. Can. J. Microbiol. 2017, 63, 278–286. [Google Scholar] [CrossRef]
- Zhang, H.; Xu, Z.; Guo, K.; Huo, Y.; He, G.; Sun, H.; Sun, G. Toxic effects of heavy metal Cd and Zn on chlorophyll, carotenoid metabolism and photosynthetic function in tobacco leaves revealed by physiological and proteomics analysis. Ecotoxicol. Environ. Saf. 2020, 202, 110856. [Google Scholar] [CrossRef]








| Salt | Concentration Relative to MAC * | Salt Concentration | HM Concentration | ||
|---|---|---|---|---|---|
| mg/L | mmol/L | mg/L | mmol/L | ||
| Pb(NO3)2 | 0.5× | 25.5 | 0.08 | 15.9 | 0.08 |
| 1× | 51 | 0.15 | 31.9 | 0.15 | |
| 2× | 102 | 0.31 | 63.8 | 0.31 | |
| 5× | 255 | 0.77 | 159.4 | 0.77 | |
| Cu(SO4)·5H2O | 0.5× | 5.85 | 0.02 | 1.5 | 0.02 |
| 1× | 11.7 | 0.05 | 3 | 0.05 | |
| 2× | 23.4 | 0.09 | 6 | 0.09 | |
| 5× | 58.5 | 0.23 | 15 | 0.23 | |
| NiSO4·7H2O | 0.5× | 9.5 | 0.03 | 2 | 0.03 |
| 1× | 19 | 0.07 | 4 | 0.07 | |
| 2× | 38 | 0.14 | 8 | 0.14 | |
| 5× | 95 | 0.34 | 20 | 0.34 | |
| Primer Name | Sequence (5′–3′) | Gene ID |
|---|---|---|
| GAPDH forward | CACCCAACGAAACCCCGTTA | 543418 |
| GAPDH reverse | AGGAAATCTGGAGCTGCGAC | |
| GST forward | CTTAGACAGGCAGTCAATCCTC | 100037529 |
| GST reverse | ACCGTAGCCTTGGAGAGGT | |
| NDOR forward | CTTAGACAGGCAGTCAATCCTC | 123070686 |
| NDOR reverse | GGCGGCTTGATTTTACGAAGT |
| Sample | MDA Content, µmol/mg Protein |
|---|---|
| A. picis B-2897T | 0.04 ± 0.02 |
| A. picis B-2897T + Cu | 0.33 ± 0.02 * |
| A. picis B-2897T + Ni | 0.53 ± 0.02 * |
| A. picis B-2897T + Pb | 0.07 ± 0.01 |
| A. baldaniorum B-3036T | 0.22 ± 0.03 |
| A. baldaniorum B-3036T + Cu | 0.14 ± 0.02 |
| N. irakense B-2893T | 0.16 ± 0.01 |
| N. irakense B-2893T + Ni | 0.37 ± 0.02 ** |
| A. brasilense B-1547T | 0.03 ± 0.01 |
| A. brasilense B-1547T + Pb | 0.07 ± 0.01 * |
Disclaimer/Publisher’s Note: The statements, opinions and data contained in all publications are solely those of the individual author(s) and contributor(s) and not of MDPI and/or the editor(s). MDPI and/or the editor(s) disclaim responsibility for any injury to people or property resulting from any ideas, methods, instructions or products referred to in the content. |
© 2025 by the authors. Licensee MDPI, Basel, Switzerland. This article is an open access article distributed under the terms and conditions of the Creative Commons Attribution (CC BY) license (https://creativecommons.org/licenses/by/4.0/).
Share and Cite
Gureeva, M.V.; Kirillova, M.S.; Trandina, V.A.; Kryukova, V.A.; Eremina, A.A.; Alimova, A.A.; Grabovich, M.Y.; Gureev, A.P. Effect of Bacteria from the Genus Azospirillum on Oxidative Stress Levels in Wheat Triticum aestivum L. in the Presence of Copper, Nickel, and Lead. Microorganisms 2025, 13, 334. https://doi.org/10.3390/microorganisms13020334
Gureeva MV, Kirillova MS, Trandina VA, Kryukova VA, Eremina AA, Alimova AA, Grabovich MY, Gureev AP. Effect of Bacteria from the Genus Azospirillum on Oxidative Stress Levels in Wheat Triticum aestivum L. in the Presence of Copper, Nickel, and Lead. Microorganisms. 2025; 13(2):334. https://doi.org/10.3390/microorganisms13020334
Chicago/Turabian StyleGureeva, Maria V., Marina S. Kirillova, Veronika A. Trandina, Vera A. Kryukova, Anna A. Eremina, Alina A. Alimova, Margarita Y. Grabovich, and Artem P. Gureev. 2025. "Effect of Bacteria from the Genus Azospirillum on Oxidative Stress Levels in Wheat Triticum aestivum L. in the Presence of Copper, Nickel, and Lead" Microorganisms 13, no. 2: 334. https://doi.org/10.3390/microorganisms13020334
APA StyleGureeva, M. V., Kirillova, M. S., Trandina, V. A., Kryukova, V. A., Eremina, A. A., Alimova, A. A., Grabovich, M. Y., & Gureev, A. P. (2025). Effect of Bacteria from the Genus Azospirillum on Oxidative Stress Levels in Wheat Triticum aestivum L. in the Presence of Copper, Nickel, and Lead. Microorganisms, 13(2), 334. https://doi.org/10.3390/microorganisms13020334

