Unveiling the Occupational Exposure to Microbial Contamination in Conservation–Restoration Settings
Abstract
:1. Introduction
2. Materials and Methods
2.1. Working Settings Assessed
2.2. Sampling Approach Characterization through Culture-Dependent Methods
2.3. Azole Resistance Screenin
2.4. Molecular Detection of Aspergillus Sections
2.5. Mycotoxins Analysis
2.6. Assessment of Cytotoxicity
2.7. Statistical Analysis
3. Results
3.1. Viable Bacterial Contamination
3.2. Viable Fungal Contamination
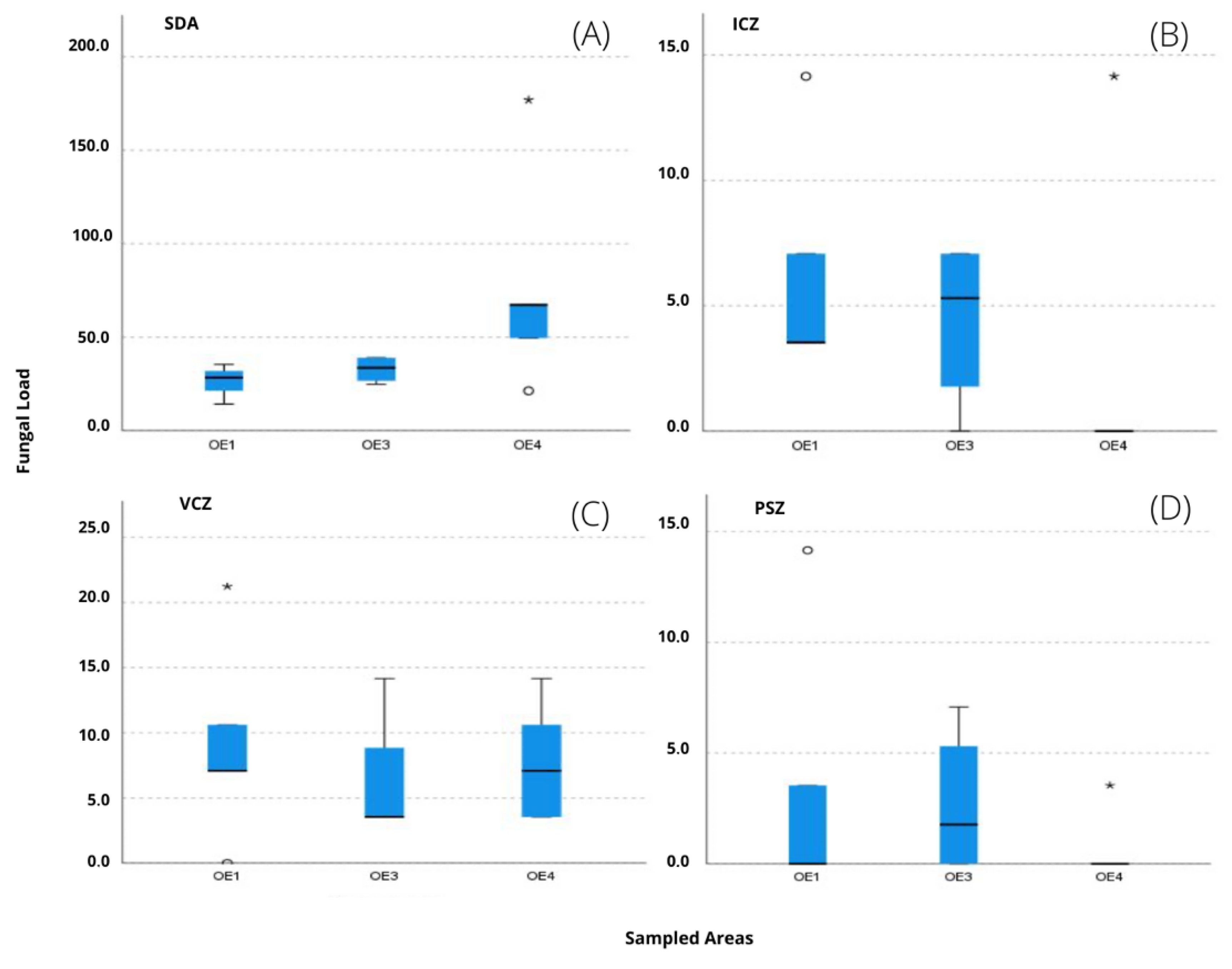
3.3. Fungal Growth in Azole-Supplemented Media
3.4. Contamination of EDCs by Mycotoxins and Cytotoxicity Assessment
3.5. Correlation Analysis
4. Discussion
5. Conclusions
Author Contributions
Funding
Institutional Review Board Statement
Informed Consent Statement
Data Availability Statement
Acknowledgments
Conflicts of Interest
References
- Sterflinger, K. Fungi: Their role in deterioration of cultural heritage. Fungal Biol. Rev. 2010, 24, 47–55. [Google Scholar] [CrossRef]
- Pinheiro, A.C.; Sequeira, S.O.; Macedo, M.F. Fungi in archives, libraries, and museums: A review on paper conservation and human health. Crit. Rev. Microbiol. 2019, 45, 686–700. [Google Scholar] [CrossRef] [PubMed]
- Directive 89/391/EEC, on the Introduction of Measures to Encourage Improvements in the Safety and Health of Workers at Work. Off. J. Eur. Commun. 1989. Available online: https://osha.europa.eu/pt/legislation/directives/the-osh-framework-directive/1 (accessed on 2 February 2022).
- Lugauskas, A.; Krikštaponis, A.; Šveistyté, L. Airborne fungi in industrial environments—Potential agents of respiratory diseases. Ann. Agric. Environ. Med. 2004, 11, 19–25. [Google Scholar] [PubMed]
- Skorge, T.D.; Eagan, T.; Eide, G.E.; Gulsvik, A.; Bakke, P.S. Indoor exposures and respiratory symptoms in a Norwegian community sample. Thorax 2005, 60, 937–942. [Google Scholar] [CrossRef] [PubMed] [Green Version]
- Rusca, S.; Charrière, N.; Droz, P.O.; Oppliger, A. Effects of bioaerosol exposure on work-related symptoms among Swiss sawmill workers. Int. Arch. Occup. Environ. Health. 2008, 81, 415–421. [Google Scholar] [CrossRef] [PubMed]
- Domingo, J.L.; Nadal, M. Domestic waste composting facilities: A review of human health risks. Environ. Int. 2009, 35, 382–389. [Google Scholar] [CrossRef]
- Pinzari, F.; Fanelli, C.; Canhoto, O.; Magan, N. Electronic Nose for the Early Detection of Moulds in Libraries and Archives. Indoor Built Environ. 2004, 13, 387–395. [Google Scholar] [CrossRef]
- Bembibre, C.; Strlič, M. Smell of heritage: A framework for the identification, analysis and archival of historic odours. Heritage Sci. 2017, 5, 2. [Google Scholar] [CrossRef] [Green Version]
- Zielinska-Jankiewicz, K.; Kozajda, A.; Piotrowska, M.; SzadkowskaStanczyk, I. Microbiological contamination with moulds in workenvironment in libraries and archive storage facilities. Ann. Agric. Environ. Med. 2008, 15, 71–78. [Google Scholar] [PubMed]
- Varnai, V.M.; Macan, J.; Ćalušić, A.L.; Prester, L.; Macan, B.K. Upper Respiratory Impairment in Restorers of Cultural Heritage. Occup. Med. 2011, 61, 45–52. [Google Scholar] [CrossRef] [PubMed] [Green Version]
- Roussel, S.; Reboux, G.; Millon, L.; Parchas, M.-D.; Boudih, S.; Skana, F.; Delaforge, M.; Rakotonirainy, M.S. Microbiological evaluation of ten French archives and link to occupational symptoms. Indoor Air 2012, 22, 514–522. [Google Scholar] [CrossRef] [PubMed]
- Mesquita, N.; Portugal, A.; Videira, S.; Rodríguez-Echeverría, S.; Bandeira, A.; Santos, M.; Freitas, H. Fungal diversity in ancient documents. A case study on the Archive of the University of Coimbra. Int. Biodeterior. Biodegrad. 2009, 63, 626–629. [Google Scholar] [CrossRef]
- Karbowska-Berent, J.; Górny, R.L.; Strzelczyk, A.B.; Wlazło, A. Airborne and dust borne microorganisms in selected Polish libraries and archives. Build. Environ. 2011, 46, 1872–1879. [Google Scholar] [CrossRef]
- Skóra, J.; Zduniak, K.; Gutarowska, B.; Rembisz, D. Harmful biological agents at museum workposts. Med. Pracy 2012, 63, 153–165. [Google Scholar]
- Michaelsen, A.; Pinzari, F.; Barbabietola, N.; Piñar, G. Monitoring the effects of different conservation treatments on paper-infecting fungi. Int. Biodeterior. Biodegrad. 2013, 84, 333–341. [Google Scholar] [CrossRef] [Green Version]
- Snelders, E.; Camps, S.M.T.; Karawajczyk, A.; Schaftenaar, G.; Kema, G.H.; Van Der Lee, H.A.; Klaassen, C.H.; Melchers, W.J.G.; Verweij, P.E. Triazole Fungicides Can Induce Cross-Resistance to Medical Triazoles in Aspergillus fumigatus. PLoS ONE 2012, 7, e31801. [Google Scholar] [CrossRef] [Green Version]
- Verweij, P.E.; Chowdhary, A.; Melchers, W.J.; Meis, J.F. Azole Resistance in Aspergillus fumigatus: Can We Retain the Clinical Use of Mold-Active Antifungal Azoles? Clin. Infect Dis. 2016, 62, 362–368. [Google Scholar] [CrossRef] [Green Version]
- Schoustra, S.E.; Debets, A.J.; Rijs, A.J.; Zhang, J.; Snelders, E.; Leendertse, P.C.; Melchers, W.J.; Rietveld, A.G.; Zwaan, B.J.; Verweij, P.E. Environmental Hotspots for Azole Resistance Selection of Aspergillus fumigatus, the Netherlands. Emerg. Infect. Dis. 2019, 25, 1347–1353. [Google Scholar] [CrossRef] [Green Version]
- Bennett, J.W.; Klich, M. Mycotoxins. Clin. Microbiol. Rev. 2003, 16, 497–516. [Google Scholar] [CrossRef] [Green Version]
- Marin, S.; Ramos, A.J.; Cano-Sancho, G.; Sanchis, V. Mycotoxins: Occurrence, toxicology, and exposure assessment. Food Chem. Toxicol. 2013, 60, 218–237. [Google Scholar] [CrossRef]
- IARC. International Agency for Research on Cancer. Improving Public Health through Mycotoxin Control. IARC Scientific Publication No. 158. 2012. Available online: https://publications.iarc.fr/Book-And-Report-Series/Iarc-Scientific-Publications/Improving-Public-Health-Through-Mycotoxin-Control-2012 (accessed on 2 June 2022).
- Assunção, R.; Martins, C.; Viegas, S.; Viegas, C.; Jakobsen, L.S.; Pires, S.; Alvito, P. Climate change and the health impact of aflatoxins exposure in Portugal—an overview. Food Addit. Contam. Part A 2018, 35, 1610–1621. [Google Scholar] [CrossRef] [PubMed] [Green Version]
- Halstensen, A.S. Species-specific Fungal DNA in Airborne Dust as Surrogate for Occupational Mycotoxin Exposure? Int. J. Mol. Sci. 2008, 9, 2543–2558. [Google Scholar] [CrossRef] [PubMed]
- Viegas, S.; Martins, C. The Usefulness of Human Biomonitoring in the Case of Mycotoxins Exposure Assessment. In Reference Module in Life Sciences; Elsevier: Amsterdam, The Netherlands, 2020; pp. 1–6. [Google Scholar] [CrossRef]
- Viegas, C.; Sousa, P.; Dias, M.; Caetano, L.A.; Ribeiro, E.; Carolino, E.; Twarużek, M.; Kosicki, R.; Viegas, S. Bioburden contamination and Staphylococcus aureus colonization associated with firefighter's ambulances. Environ. Res. 2021, 197, 111125. [Google Scholar] [CrossRef] [PubMed]
- Viegas, C.; Gomes, B.; Pimenta, R.; Dias, M.; Cervantes, R.; Caetano, L.A.; Carolino, E.; Twarużek, M.; Soszczyńska, E.; Kosicki, R.; et al. Microbial contamination in firefighter Headquarters’: A neglected occupational exposure scenario. Build. Environ. 2022, 213, 108862. [Google Scholar] [CrossRef]
- Viegas, C.; Gomes, B.; Dias, M.; Carolino, E.; Aranha Caetano, L. Aspergillus Section Fumigati in Firefighter Headquarters. Microorganisms 2021, 9, 2112. [Google Scholar] [CrossRef]
- Hoog, D.; Guarro, J.; Gene, G.; Figueras, M. Atlas of Clinical Fungi—The Ultimate Benchtool for Diagnosis; Version 4.1.4; Utr. Centraalbureau voor Schimmelcultures: Utrecht, The Netherlands, 2016. [Google Scholar]
- Arendrup, M.C.; Rodriguez-Tudela, J.L.; Lass-Flörl, C.; Cuenca-Estrella, M.; Donnelly, J.P.; Hope, W. EUCAST technical note on anidulafungin. Clin. Microbiol. Infect. 2013, 19, 278–280. [Google Scholar] [CrossRef] [Green Version]
- European Committee on Antimicrobial Susceptibility Testing (EUCAST). Routine and Extended Internal Quality Control for MIC Determination and Agar Dilution for Yeasts, Moulds and Dermatophytes as Recommended by EUCAST. Version 5.0; EUCAST: 2020 Online Platform. Available online: http://www.eucast.org (accessed on 2 February 2022).
- Viegas, C.; Almeida, B.; Caetano, L.A.; Afanou, A.; Straumfors, A.; Veríssimo, C.; Gonçalves, P.; Sabino, R. Algorithm to assess the presence of Aspergillus fumigatus resistant strains: The case of Norwegian sawmills. Int. J. Environ. Health Res. 2020, 32, 963–971. [Google Scholar] [CrossRef]
- Hanelt, M.; Gareis, M.; Kollarczik, B. Cytotoxicity of mycotoxins evaluated by the MTT-cell culture assay. Mycopathologia 1994, 128, 167–174. [Google Scholar] [CrossRef]
- Santos, M.; Almeida, A. Principais Riscos e Fatores de Risco Ocupacionais dos Conservadores- Restauradores de Obras de Arte, bem como Doenças Profissionais associadas e medidas de Proteção recomendadas. Rev. Port. Saúde Ocup. Online 2019, 8, S108–S155. [Google Scholar] [CrossRef]
- Santos, M.; Almeida. A. Danos Ocupacionais associados ao Cádmio, com ênfase no setor da Conservação e Restauro de Obras de Arte. Rev. Port. Saúde Ocup. Online 2020, 9, S59–S73. [Google Scholar] [CrossRef]
- Pinheiro, A.C.; Ramos, A. Heritage Keepers: The Perils in Textile Conservation. Heritage 2021, 4, 4716–4725. [Google Scholar] [CrossRef]
- Blaser, L.; Peckham, S. Archives Conservators Discussion Group 2005: Hazardous holdings. Book Pap. Group Annu. 2005, 24, 73–83. [Google Scholar]
- Žuskin, E.; Schachter, E.N.; Mustajbegović, J.; Pucarin-Cvetković, J.; Lipozenčić, J. Occupational health hazards of artists. Acta Dermatovenerol. Croatica. 2007, 15, 167–177. [Google Scholar]
- Viegas, C.; Twarużek, M.; Dias, M.; Carolino, E.; Soszczyńska, E.; Caetano, L.A. Cytotoxicity of Aspergillus Section Fumigati Isolates Recovered from Protection Devices Used on Waste Sorting Industry. Toxins 2022, 14, 70. [Google Scholar] [CrossRef] [PubMed]
- Viegas, C.; Pena, P.; Dias, M.; Gomes, B.; Cervantes, R.; Carolino, E.; Twarużek, M.; Soszczyńska, E.; Kosicki, R.; Caetano, L.A.; et al. Microbial contamination in waste collection: Unveiling this Portuguese occupational exposure scenario. J. Environ. Manag. 2022, 314, 115086. [Google Scholar] [CrossRef] [PubMed]
- Buttner, M.P.; Stetzenbach, L.D. Monitoring airborne fungal spores in an experimental indoor environment to evaluate sampling methods and the effects of human activity on air sampling. Appl. Environ. Microbiol. 1993, 59, 219–226. [Google Scholar] [CrossRef] [PubMed] [Green Version]
- Chen, Q.; Hildemann, L.M. The Effects of Human Activities on Exposure to Particulate Matter and Bioaerosols in Residential Homes. Environ. Sci. Technol. 2009, 43, 4641–4646. [Google Scholar] [CrossRef] [PubMed]
- Heo, K.J.; Lim, C.E.; Kim, H.B.; Lee, B.U. Effects of human activities on concentrations of culturable bioaerosols in indoor air environments. J. Aerosol Sci. 2017, 104, 58–65. [Google Scholar] [CrossRef]
- Adams, R.I.; Miletto, M.; Taylor, J.W.; Bruns, T.D. Dispersal in microbes: Fungi in indoor air are dominated by outdoor air and show dispersal limitation at short distances. ISME J. 2013, 7, 1262–1273. [Google Scholar] [CrossRef] [Green Version]
- Kavkler, K.; Gunde-Cimerman, N.; Zalar, P.; Demšar, A. Fungal contamination of textile objects preserved in Slovene museums and religious institutions. Int. Biodeterior. Biodegrad. 2015, 97, 51–59. [Google Scholar] [CrossRef]
- AIHA. American Industrial Hygiene Association. In Field Guide for the Determination of Biological Contaminants in Environmental Samples; Fairfax: Toronto, ON, Canada, 1996. [Google Scholar]
- Viegas, C.; Santos, P.; Almeida, B.; Monteiro, A.; Carolino, E.; Gomes, A.Q.; Viegas, S. Electrostatic dust collector: A passive screening method to assess occupational exposure to organic dust in primary health care centers. Air Qual. Atmos. Health 2019, 12, 573–583. [Google Scholar] [CrossRef]
- Gutarowska, B.; Pietrzak, K.; Machnowski, W.; Milczarek, J. Historical textiles—A review of microbial deterioration analysis and disinfection methods. Text. Res. J. 2017, 87, 2388–2406. [Google Scholar] [CrossRef]
- Canadian Conservation Institute. CCI Notes 13/1: Textiles and the Environment. Canadian Conservation Institute (CCI), 2013. Available online: https://www.canada.ca/en/conservation-institute/services/conservation-preservation-publications/canadian-conservation-institute-notes/textiles-environment.html (accessed on 24 July 2022).
- Gonçalves, P.; Melo, A.; Dias, M.; Almeida, B.; Caetano, L.A.; Veríssimo, C.; Viegas, C.; Sabino, R. Azole-Resistant Aspergillus fumigatus Harboring the TR34/L98H Mutation: First Report in Portugal in Environmental Samples. Microorganisms 2021, 9, 57. [Google Scholar] [CrossRef] [PubMed]
- Zahar, J.R.; Jolivet, S.; Adam, H.; Dananché, C.; Lizon, J.; Alfandari, S.; Boulestreau, H.; Baghdadi, N.; Bay, J.O.; Bénéteau, A.M.; et al. French recommendations on control measures to reduce the infectious risk in immunocompromised patients. J. Mycol. Med. 2017, 27, 449–456. [Google Scholar] [CrossRef]
- Fisher, M.C.; Hawkins, N.J.; Sanglard, D.; Gurr, S.J. Worldwide emergence of resistance to antifungal drugs challenges human health and food security. Science 2018, 360, 739–742. [Google Scholar] [CrossRef] [Green Version]
- Verweij, P.E.; Lucas, J.A.; Arendrup, M.C.; Bowyer, P.; Brinkmann, A.J.; Denning, D.W.; Dyer, P.S.; Fisher, M.C.; Geenen, P.L.; Gisi, U.; et al. The one health problem of azole resistance in Aspergillus fumigatus: Current insights and future research agenda. Fungal Biol. Rev. 2020, 34, 202–214. [Google Scholar] [CrossRef]
- Viegas, C.; Monteiro, A.; dos Santos, M.; Faria, T.; Caetano, L.A.; Carolino, E.; Gomes, A.Q.; Marchand, G.; Lacombe, N.; Viegas, S. Filters from taxis air conditioning system: A tool to characterize driver's occupational exposure to bioburden? Environ. Res. 2018, 164, 522–529. [Google Scholar] [CrossRef]
- Viegas, S.; Viegas, C.; Oppliger, A. Occupational Exposure to Mycotoxins: Current Knowledge and Prospects. Ann. Work. Expo. Health 2018, 62, 923–941. [Google Scholar] [CrossRef]
- Swain, R.J.; Kemp, S.J.; Goldstraw, P.; Tetley, T.D.; Stevens, M.M. Assessment of Cell Line Models of Primary Human Cells by Raman Spectral Phenotyping. Biophys. J. 2010, 98, 1703–1711. [Google Scholar] [CrossRef] [Green Version]
- Heussner, A.H.; Dietrich, D.R. Primary porcine proximal tubular cells as an alternative to human primary renal cells in vitro: An initial characterization. BMC Cell Biol. 2013, 14, 55. [Google Scholar] [CrossRef] [Green Version]
- Viegas, C.; Twarużek, M.; Dias, M.; Almeida, B.; Carolino, E.; Soszczyńska, E.; Viegas, S.; Caetano, L.A. Cytotoxicity of filtering respiratory protective devices from the waste sorting industry: A comparative study between interior layer and exhalation valve. Environ. Int. 2021, 155, 106603. [Google Scholar] [CrossRef] [PubMed]








| Mycotoxins | LOD | 
|---|---|
| (ng/g) | |
| 15-Acetyldeoxynivalenol | 8 | 
| 3-Acetyldeoxynivalenol Aflatoxin B1 | 4 | 
| Aflatoxin B2 | 1 | 
| Aflatoxin G1 | 1 | 
| Aflatoxin G2 | 1 | 
| Aflatoxin M1 | 1 | 
| Deepoxydeoxynivalenol | 5 | 
| Deoxynivalenol | 8 | 
| Deoxynivalenol-3-glucoside | 5 | 
| Diacetoxyscirpenol | 2 | 
| Fumonisin B1 | 4 | 
| Fumonisin B2 | 3 | 
| Fusarenon X | 10 | 
| Griseofulvin | 2 | 
| HT-2 toxin | 4 | 
| Mevinolin | 7 | 
| Monoacetoxyscirpenol | 2 | 
| Mycophenolic acid | 3 | 
| Neosolaniol | 3 | 
| Nivalenol | 4 | 
| Ochratoxin A | 2 | 
| Ochratoxin B | 2 | 
| Patulin | 8 | 
| Roquefortine C | 2 | 
| Sterigmatocystin | 1 | 
| T-2 tetraol | 2 | 
| T-2 toxin | 2 | 
| T-2 triol | 5 | 
| Zearalanone | 2 | 
| Zearalenone | 1 | 
| α-Zearalanol | 2 | 
| α-Zearalenol | 2 | 
| β-Zearalanol | 2 | 
| β-Zearalenol | 3 | 
| Sampled Areas | Species | Culture Media MEA (CFU/g−1·day−1) | Shannon Index (H) | Simpson Index (D) | 
|---|---|---|---|---|
| OE1 | Alternaria sp. | 3.539 | 1.514 | 3.408 | 
| Aspergillus section Fumigati | 102.619 | |||
| Aureobasidium sp. | 10.616 | |||
| Chrysosporium sp. | 7.077 | |||
| Cladosporium sp. | 67.233 | |||
| Fusarium verticilloides | 7.077 | |||
| Penicillium sp. | 24.770 | |||
| Rhizopus sp. | 10.616 | |||
| Totals | 8 | 233.546 | ||
| OE2 | Aureobasidium sp. | 3.539 | 0.227 | 1.199 | 
| Cladosporium sp. | 17.693 | |||
| Penicillium sp. | 24.770 | |||
| Totals | 3 | 46.001 | ||
| OE3 | Aspergillus section Fumigati | 3.539 | 0.416 | 0.425 | 
| Cladosporium sp. | 152.159 | |||
| Penicillium sp. | 17.693 | |||
| Totals | 3 | 173.390 | ||
| OE4 | Aspergillus section Fumigati | 3.539 | 1.977 | 0.371 | 
| Aspergillus section Nidulantes | 3.539 | |||
| Cladosporium sp. | 38.924 | |||
| Mucor sp. | 3.539 | |||
| Penicillium sp. | 28.309 | |||
| Trichoderma sp. | 7.077 | |||
| Totals | 6 | 84.926 | 
| Bacteria | Fungi | Fungal Resistance | ||||||
|---|---|---|---|---|---|---|---|---|
| VRBA | MEA | DG18 | SDA | ITZ | VCZ | PSZ | ||
| Bacteria | TSA | - | 0.621 * | −0.003 | 0.191 | −0.149 | −0.403 | 0.480 | 
| VRBA | - | - | - | - | - | - | ||
| Fungi | MEA | 0.209 | −0.329 | −0.072 | −0.177 | 0.239 | ||
| DG18 | −0.016 | 0.139 | −0.482 | 0.073 | ||||
| Fungal resistance | SDA | −0.269 | −0.505 | 0.157 | ||||
| ICZ | −0.098 | 0.018 | ||||||
| VCZ | −0.108 | |||||||
| Publisher’s Note: MDPI stays neutral with regard to jurisdictional claims in published maps and institutional affiliations. | 
© 2022 by the authors. Licensee MDPI, Basel, Switzerland. This article is an open access article distributed under the terms and conditions of the Creative Commons Attribution (CC BY) license (https://creativecommons.org/licenses/by/4.0/).
Share and Cite
Viegas, C.; Cervantes, R.; Dias, M.; Gomes, B.; Pena, P.; Carolino, E.; Twarużek, M.; Kosicki, R.; Soszczyńska, E.; Viegas, S.; et al. Unveiling the Occupational Exposure to Microbial Contamination in Conservation–Restoration Settings. Microorganisms 2022, 10, 1595. https://doi.org/10.3390/microorganisms10081595
Viegas C, Cervantes R, Dias M, Gomes B, Pena P, Carolino E, Twarużek M, Kosicki R, Soszczyńska E, Viegas S, et al. Unveiling the Occupational Exposure to Microbial Contamination in Conservation–Restoration Settings. Microorganisms. 2022; 10(8):1595. https://doi.org/10.3390/microorganisms10081595
Chicago/Turabian StyleViegas, Carla, Renata Cervantes, Marta Dias, Bianca Gomes, Pedro Pena, Elisabete Carolino, Magdalena Twarużek, Robert Kosicki, Ewelina Soszczyńska, Susana Viegas, and et al. 2022. "Unveiling the Occupational Exposure to Microbial Contamination in Conservation–Restoration Settings" Microorganisms 10, no. 8: 1595. https://doi.org/10.3390/microorganisms10081595
APA StyleViegas, C., Cervantes, R., Dias, M., Gomes, B., Pena, P., Carolino, E., Twarużek, M., Kosicki, R., Soszczyńska, E., Viegas, S., Caetano, L. A., & Pinheiro, A. C. (2022). Unveiling the Occupational Exposure to Microbial Contamination in Conservation–Restoration Settings. Microorganisms, 10(8), 1595. https://doi.org/10.3390/microorganisms10081595
 
         
                                                







 
       