Tick-Borne Encephalitis Risk Increases with Dog Ownership, Frequent Walks, and Gardening: A Case-Control Study in Germany 2018–2020
Abstract
:1. Introduction
2. Materials and Methods
2.1. Study Population and Data Collection
2.2. Variable Classification
2.3. Data Analyses
3. Results
3.1. Study Population
3.2. Tick Bites, Activities Leading to Tick Bites, and Raw Milk Intake
3.3. Tick Removal Practices
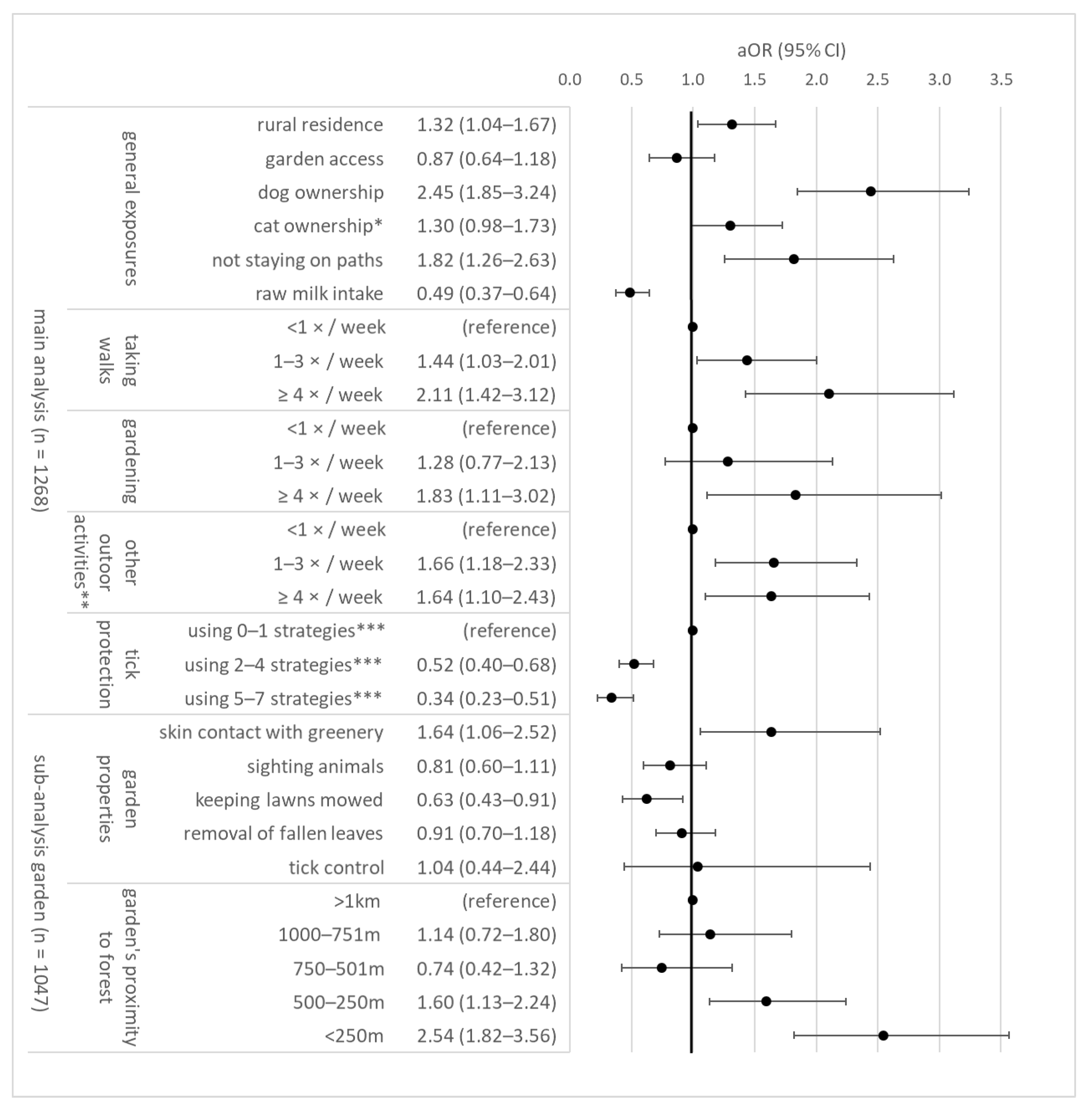
3.4. Risk Factors for TBE
3.5. TBE Risk Behavior during the COVID-19 Pandemic
3.6. Tick-Protective Strategies
3.7. Exploring Why TBE Incidence Is Higher in Males Than Females
4. Discussion
5. Conclusions
Supplementary Materials
Author Contributions
Funding
Data Availability Statement
Acknowledgments
Conflicts of Interest
References
- Robert-Koch-Institut. FSME: Risikogebiete in Deutschland (Stand: Januar 2022). Epid. Bull. 2022, 9, 3–21. [Google Scholar] [CrossRef]
- Nygren, T.M.; Pilic, A.; Böhmer, M.M.; Wagner-Wiening, C.; Wichmann, O.; Hellenbrand, W. Tick-Borne Encephalitis: Acute Clinical Manifestations, Severity, and Quality of Life in 581 cases from Germany, 2018–2020. Pathogens, 2022; manuscript submitted. [Google Scholar]
- Stefanoff, P.; Rosinska, M.; Samuels, S.; White, D.J.; Morse, D.L.; Randolph, S.E. A national case-control study identifies human socio-economic status and activities as risk factors for tick-borne encephalitis in Poland. PLoS ONE 2012, 7, e45511. [Google Scholar] [CrossRef] [PubMed]
- Bušová, A.; Dorko, E.; Feketeová, E.; Bereš, M.; Rimárová, K.; Diabelková, J.; Rovenská, T.; Čellár, R.; Csank, T. Serostatus and risk factors of tick-borne encephalitis. Cent. Eur. J. Public Health 2018, 26 (Suppl.), S56–S60. [Google Scholar] [CrossRef] [PubMed]
- Markovinovic, L.; Kosanovic Licina, M.L.; Tesic, V.; Vojvodic, D.; Vladusic Lucic, I.; Kniewald, T.; Vukas, T.; Kutlesa, M.; Krajinovic, L.C. An outbreak of tick-borne encephalitis associated with raw goat milk and cheese consumption, Croatia, 2015. Infection 2016, 44, 661–665. [Google Scholar] [CrossRef]
- Hudopisk, N.; Korva, M.; Janet, E.; Simetinger, M.; Grgič-Vitek, M.; Gubenšek, J.; Natek, V.; Kraigher, A.; Strle, F.; Avšič-Županc, T. Tick-borne Encephalitis Associated with Consumption of Raw Goat Milk, Slovenia, 2012. Emerg. Infect. Dis. 2013, 19, 806–808. [Google Scholar] [CrossRef]
- Robert Koch Institute. Risikofaktoren für Lyme-Borreliose: Ergebnisse einer Studie in einem Brandenburger Landkreis [Risk factors for Lyme disease: Results of a study in a district in Brandenburg]. Epid. Bull. 2001, 21, 147–149. [Google Scholar]
- Smith, G.; Wileyto, E.P.; Hopkins, R.B.; Cherry, B.R.; Maher, J.P. Risk factors for lyme disease in Chester County, Pennsylvania. Public Health Rep. 2001, 116 (Suppl. 1), 146–156. [Google Scholar] [CrossRef]
- Finch, C.; Al-Damluji, M.S.; Krause, P.J.; Niccolai, L.; Steeves, T.; O’Keefe, C.F.; Diuk-Wasser, M.A. Integrated assessment of behavioral and environmental risk factors for Lyme disease infection on Block Island, Rhode Island. PLoS ONE 2014, 9, e84758. [Google Scholar] [CrossRef]
- Goossens, H.A.; van den Bogaard, A.E.; Nohlmans, M.K. Dogs as sentinels for human Lyme borreliosis in The Netherlands. J. Clin. Microbiol. 2001, 39, 844–848. [Google Scholar] [CrossRef]
- Aenishaenslin, C.; Bouchard, C.; Koffi, J.K.; Ogden, N.H. Exposure and preventive behaviours toward ticks and Lyme disease in Canada: Results from a first national survey. Ticks Tick Borne Dis. 2017, 8, 112–118. [Google Scholar] [CrossRef]
- Woudenberg, T.; Böhm, S.; Böhmer, M.; Katz, K.; Willrich, N.; Stark, K.; Kuhnert, R.; Fingerle, V.; Wilking, H. Dynamics of Borrelia burgdorferi-Specific Antibodies: Seroconversion and Seroreversion between Two Population-Based, Cross-Sectional Surveys among Adults in Germany. Microorganisms 2020, 8, 1859. [Google Scholar] [CrossRef] [PubMed]
- Mulder, S.; van Vliet, A.J.; Bron, W.A.; Gassner, F.; Takken, W. High risk of tick bites in Dutch gardens. Vector Borne Zoonotic Dis. 2013, 13, 865–871. [Google Scholar] [CrossRef] [PubMed]
- Blasko-Markic, M.; Socan, M. Tick-borne encephalitis in slovenia: Data from a questionnaire survey. Vector Borne Zoonotic Dis. 2012, 12, 496–502. [Google Scholar] [CrossRef] [PubMed]
- Niesobecki, S.; Hansen, A.; Rutz, H.; Mehta, S.; Feldman, K.; Meek, J.; Niccolai, L.; Hook, S.; Hinckley, A. Knowledge, attitudes, and behaviors regarding tick-borne disease prevention in endemic areas. Ticks Tick Borne Dis. 2019, 10, 101264. [Google Scholar] [CrossRef]
- Zöldi, V.; Turunen, T.; Lyytikäinen, O.; Sane, J. Knowledge, attitudes, and practices regarding ticks and tick-borne diseases, Finland. Ticks Tick Borne Dis. 2017, 8, 872–877. [Google Scholar] [CrossRef]
- Robert Koch-Institut. Falldefinitionen des Robert Koch-Instituts zur Übermittlung von Erkrankungs-oder Todesfällen und Nachweisen von Krankheitserregern [Case Definitions of the Robert Koch Institute for Reporting Communicable Diseases]; Robert Koch-Institut: Berlin, Germany, 2019.
- Textor, J.; van der Zander, B.; Gilthorpe, M.S.; Liskiewicz, M.; Ellison, G.T. Robust causal inference using directed acyclic graphs: The R package ‘dagitty’. Int. J. Epidemiol. 2016, 45, 1887–1894. [Google Scholar] [CrossRef]
- Hellenbrand, W.; Kreusch, T.; Bohmer, M.M.; Wagner-Wiening, C.; Dobler, G.; Wichmann, O.; Altmann, D. Epidemiology of Tick-Borne Encephalitis (TBE) in Germany, 2001–2018. Pathogens 2019, 8, 42. [Google Scholar] [CrossRef]
- Robert Koch-Institut. FSME: Risikogebiete in Deutschland (Stand: Januar 2021) [TBE risk areas in Germany, as of January 2021]. Epi. Bull. 2021, 9, 3–20. [Google Scholar] [CrossRef]
- Jereb, M.; Karner, P.; Muzlovic, I.; Jurca, T. Severe tick-borne encephalitis in Slovenia in the years 2001-2005: Time for a mass vaccination campaign? Wien Klin. Wochenschr. 2006, 118, 765–768. [Google Scholar] [CrossRef]
- Zielicka-Hardy, A.; Rosińska, M.; Kondrusik, M.; Hlebowicz, M.; Konior, R.; Stefanoff, P. Predictors for diagnosis of tick-borne encephalitis infection in Poland, 2009–2010. Infect. Dis. 2015, 47, 604–610. [Google Scholar] [CrossRef]
- Nejezchlebova, H.; Kiewra, D.; Žákovská, A.; Ovesná, P. Students’ attitudes to tick risks. Ann. Agric. Environ. Med. 2016, 23, 437–441. [Google Scholar] [CrossRef] [PubMed]
- Hügli, D.; Moret, J.; Rais, O.; Moosmann, Y.; Erard, P.; Malinverni, R.; Gern, L. Tick bites in a Lyme borreliosis highly endemic area in Switzerland. Int. J. Med. Microbiol. 2009, 299, 155–160. [Google Scholar] [CrossRef] [PubMed]
- Alekseev, A.N.; Chunikhin, S.P. The exchange of the tick-borne encephalitis virus between ixodid ticks feeding jointly on animals with a subthreshold level of viremia. Med. Parazitol. 1990, 2, 48–50. [Google Scholar]
- Mowbray, F.; Amlôt, R.; Rubin, G.J. Predictors of protective behaviour against ticks in the UK: A mixed methods study. Ticks Tick-Borne Dis. 2014, 5, 392–400. [Google Scholar] [CrossRef]
- Bayles, B.R.; Evans, G.; Allan, B.F. Knowledge and prevention of tick-borne diseases vary across an urban-to-rural human land-use gradient. Ticks Tick-Borne Dis. 2013, 4, 352–358. [Google Scholar] [CrossRef]
- Vázquez, M.; Muehlenbein, C.; Cartter, M.; Hayes, E.B.; Ertel, S.; Shapiro, E.D. Effectiveness of personal protective measures to prevent Lyme disease. Emerg. Infect. Dis. 2008, 14, 210–216. [Google Scholar] [CrossRef]
- Stjernberg, L.; Berglund, J. Detecting ticks on light versus dark clothing. Scand. J. Infect. Dis. 2005, 37, 361–364. [Google Scholar] [CrossRef]
- Dhanashekar, R.; Akkinepalli, S.; Nellutla, A. Milk-borne infections. An analysis of their potential effect on the milk industry. Germs 2012, 2, 101–109. [Google Scholar] [CrossRef]
- Maertl, T.; De Bock, F.; Huebl, L.; Oberhauser, C.; Coenen, M.; Jung-Sievers, C.; On Behalf of The Cosmo Study, T. Physical Activity during COVID-19 in German Adults: Analyses in the COVID-19 Snapshot Monitoring Study (COSMO). Int. J. Environ. Res. Public Health 2021, 18, 507. [Google Scholar] [CrossRef]
- Sulik, M.; Toczyłowski, K.; Grygorczuk, S. Epidemiology of tick-borne encephalitis in Poland (2010–2019) and the impact of the COVID-19 pandemic on the notified incidence of the disease. Przegl. Epidemiol. 2021, 75, 76–85. [Google Scholar] [CrossRef]
- Beaujean, D.J.M.A.; Bults, M.; van Steenbergen, J.E.; Voeten, H.A.C.M. Study on public perceptions and protective behaviors regarding Lyme disease among the general public in the Netherlands: Implications for prevention programs. BMC Public Health 2013, 13, 1–11. [Google Scholar] [CrossRef] [PubMed]



| Cases | Controls | p-Value | |
|---|---|---|---|
| n = 581 a | n = 975 | ||
| n (%) | n (%) | ||
| Demographics | |||
| Age in years (mean and standard deviation) | 48.6 (20) | 49.9 (19) | 0.337 | 
| Age group < 18 years | 66 (11%) | 83 (9%) | 0.176 | 
| Age group 18–65 years | 406 (70%) | 698 (72%) | |
| Age group > 65 years | 109 (19%) | 194 (20%) | |
| Male | 368 (63%) | 608 (62%) | 0.699 | 
| ≥1 comorbidity (self-reported) | 118 (21%) | 236 (24%) | 0.172 | 
| Home in TBE risk area | 565 (97%) | 945 (97%) | 0.716 | 
| Highest level of completed secondary education * | |||
| Abitur (12–13 years) | 162 (29%) | 307 (31%) | 0.049 | 
| Fachabitur (12–13 years) | 55 (10%) | 81 (8%) | |
| Realschulabschluss (10 years) | 142 (25%) | 300 (31%) | |
| Hauptschulabschluss (9 years) | 133 (24%) | 194 (20%) | |
| Still in school/none/missing | 66 (12%) | 93 (10%) | |
| TBE vaccination | |||
| Unvaccinated (for cases: before onset) | 503 (87%) | 397 (41%) | <0.001 | 
| Partial (<3 doses/time interval too long/details missing) | 61 (10%) | 343 (35%) | |
| Complete (≥3 doses) and on-time | 17 (3%) | 235 (24%) | |
| Selected potential TBE risk factors | |||
| Rural residence (<5000 inhabitants) | 268 (48%) | 413 (42%) | 0.095 | 
| Tick bite: never | 103 (18%) | 300 (31%) | <0.001 | 
| Tick bite: last bite > 1 year ago | 87 (16%) | 407 (42%) | |
| Tick bite: 1–2 bites in last year | 198 (35%) | 181 (19%) | |
| Tick bite: ≥3 bites in last year | 170 (30%) | 87 (9%) | |
| Dog ownership | 167 (30%) | 147 (15%) | <0.001 | 
| Cat ownership (only outdoor cats) | 150 (27%) | 215 (22%) | 0.033 | 
| Occupational exposure b | 77 (23%) | 112 (18%) | 0.096 | 
| Using ≥ 2 tick protective strategies | 365 (65%) | 774 (79%) | <0.001 | 
| Garden’s distance to forest <500 m c | 266 (58%) | 327 (40%) | <0.001 | 
| Gardening ≥ 4×/week d | 266 (48%) | 400 (41%) | 0.037 | 
| Taking walks ≥ 4×/week d | 203 (36%) | 176 (18%) | <0.001 | 
| Other outdoor activity ≥ 4×/week d | 179 (32%) | 253 (26%) | 0.01 | 
| Not staying on paths when walking, e.g., through meadows or underbrush d | 133 (24%) | 100 (10%) | <0.001 | 
| Raw milk (-product) intake e | 105 (19%) | 302 (31%) | <0.001 | 
| Activity | Cases | Controls | p-Value For | Total | |||
|---|---|---|---|---|---|---|---|
| n = 434 | n = 647 | Difference | n = 1081 | ||||
| n | % | n | % | p | n | % | |
| Taking a walk | 139 | 32.0% | 198 | 30.6% | 0.62 | 337 | 31.2% | 
| Gardening | 109 | 25.1% | 170 | 26.3% | 0.67 | 279 | 25.8% | 
| Hiking | 86 | 19.8% | 133 | 20.6% | 0.77 | 219 | 20.3% | 
| Forestry/logging | 67 | 15.4% | 85 | 13.1% | 0.25 | 152 | 14.1% | 
| Mushroom picking | 18 | 4.1% | 41 | 6.3% | 0.12 | 59 | 5.5% | 
| (Mountain-) biking | 27 | 6.2% | 20 | 3.1% | 0.01 | 47 | 4.3% | 
| Spending time in forest | 20 | 4.6% | 14 | 2.2% | 0.02 | 34 | 3.1% | 
| Running/Nordic Walking | 11 | 2.5% | 23 | 3.6% | 0.35 | 34 | 3.1% | 
| Camping | 12 | 2.8% | 12 | 1.9% | 0.32 | 24 | 2.2% | 
| Other outdoor sport | 8 | 1.8% | 12 | 1.9% | 0.99 | 20 | 1.9% | 
| Other outdoor activity | 10 | 2.3% | 9 | 1.4% | 0.26 | 19 | 1.8% | 
| Fishing/being near water | 2 | 0.5% | 15 | 2.3% | 0.02 | 17 | 1.6% | 
| Hunting | 6 | 1.4% | 6 | 0.9% | 0.48 | 12 | 1.1% | 
| Berry picking | 5 | 1.2% | 7 | 1.1% | 0.91 | 12 | 1.1% | 
| Probably from pet | 3 | 0.7% | 7 | 1.1% | 0.04 | 10 | 0.9% | 
| Other activity | 6 | 1.4% | 2 | 0.3% | 0.29 | 8 | 0.7% | 
| Publisher’s Note: MDPI stays neutral with regard to jurisdictional claims in published maps and institutional affiliations. | 
© 2022 by the authors. Licensee MDPI, Basel, Switzerland. This article is an open access article distributed under the terms and conditions of the Creative Commons Attribution (CC BY) license (https://creativecommons.org/licenses/by/4.0/).
Share and Cite
Nygren, T.M.; Pilic, A.; Böhmer, M.M.; Wagner-Wiening, C.; Wichmann, O.; Harder, T.; Hellenbrand, W. Tick-Borne Encephalitis Risk Increases with Dog Ownership, Frequent Walks, and Gardening: A Case-Control Study in Germany 2018–2020. Microorganisms 2022, 10, 690. https://doi.org/10.3390/microorganisms10040690
Nygren TM, Pilic A, Böhmer MM, Wagner-Wiening C, Wichmann O, Harder T, Hellenbrand W. Tick-Borne Encephalitis Risk Increases with Dog Ownership, Frequent Walks, and Gardening: A Case-Control Study in Germany 2018–2020. Microorganisms. 2022; 10(4):690. https://doi.org/10.3390/microorganisms10040690
Chicago/Turabian StyleNygren, Teresa Marie, Antonia Pilic, Merle Margarete Böhmer, Christiane Wagner-Wiening, Ole Wichmann, Thomas Harder, and Wiebke Hellenbrand. 2022. "Tick-Borne Encephalitis Risk Increases with Dog Ownership, Frequent Walks, and Gardening: A Case-Control Study in Germany 2018–2020" Microorganisms 10, no. 4: 690. https://doi.org/10.3390/microorganisms10040690
APA StyleNygren, T. M., Pilic, A., Böhmer, M. M., Wagner-Wiening, C., Wichmann, O., Harder, T., & Hellenbrand, W. (2022). Tick-Borne Encephalitis Risk Increases with Dog Ownership, Frequent Walks, and Gardening: A Case-Control Study in Germany 2018–2020. Microorganisms, 10(4), 690. https://doi.org/10.3390/microorganisms10040690
 
        

 
       