Next Article in Journal
Accuracy Analysis and Synthesis of Planar Mechanism for Antenna Based on Screw Theory and Geometric Coordination
Previous Article in Journal
DNN-Augmented Kinematically Decoupled Three-DoF Origami Parallel Robot for High-Precision Heave and Tilt Control
 
 
Font Type:
Arial Georgia Verdana
Font Size:
Aa Aa Aa
Line Spacing:
Column Width:
Background:
Article

Dynamic Response Analysis of Tooth Root Crack Failure in Helical Idler Gear System Under Different Working Flank Conditions

1
College of Mechanical and Electrical Engineering, Nanjing University of Aeronautics and Astronautics, Nanjing 210016, China
2
School of Mechanical Engineering, University of Science and Technology Beijing, 30 Xueyuan Road, Haidian District, Beijing 100083, China
*
Author to whom correspondence should be addressed.
Actuators 2025, 14(6), 292; https://doi.org/10.3390/act14060292
Submission received: 19 May 2025 / Revised: 12 June 2025 / Accepted: 13 June 2025 / Published: 14 June 2025
(This article belongs to the Section Actuators for Manufacturing Systems)

Abstract

Helical idler gear transmission systems can adapt to high-speed, heavy-load working environments and are thus widely used in aerospace, shipbuilding, and other heavy industry sectors. Root crack is one of the common fault types. Prior studies generally only considered cracks at a single working flank, lacking comparative analysis between the crack at the working flank and the non-working flank. This paper examines the dynamic response of helical idler gears with root cracks at different working flanks, comparing dynamic response differences between working and non-working flank cracks. First, a comprehensive dynamics model of the helical idler gear system is established. Second, the influence of root crack location (the working flank or the non-working flank) on time-varying meshing stiffness is considered based on potential energy method, and a flexible model is established by finite element method for the faulty gear. Finally, solution results of the rigid-flexible coupling dynamics model are analyzed. The dynamic response signal characteristics of root cracks at the working flank and the non-working flank are analyzed in time domain, frequency domain and time frequency domain, respectively. Corresponding experiments are designed based on the FZG experimental platform, and the experimental results are in good agreement with the simulation results, which verified the accuracy of the model.

1. Introduction

Gear transmission is widely used in machinery, national defense, and other industries, and has evolved to accommodate high-speed, heavy-load applications. Helical idler gear transmissions are well-suited to such environments. One of the major faults in high-speed, heavy-duty transmission is root cracking in the gear teeth, which often changes the dynamic response characteristics. As such, the dynamic characteristics of gear transmission systems are a focus of many research efforts.
Andrade et al. [1] applied the KS test to the specific problem of condition monitoring of straight-tooth spur gears, giving trends in crack development. Al-shyyab and Kahraman [2] proposed a discrete nonlinear torsional vibration model for a single-stage planetary unit, which includes all possible power flow configurations. The semi-analytic solution results show the influence of key gear design parameters on the dynamic response. Inalpolat and Kahraman [3] verified the effects of coupling stiffness and kinematic configuration on natural modal and dynamic responses by proposing a generalized dynamic model for multistage planetary gear trains of automotive automatic transmission. Saryazdi and Durali [4] presented a routine for prediction of the crack growth path in gears, helping to determine failure modes and detect cracks by vibration monitoring. Chaari et al. [5] derived an analytical formula for the meshing stiffness of time-varying gears, proposed an original analytical model for tooth cracking and quantified the reduction in meshing stiffness caused by tooth cracking. Huang [6] proposed a dynamic stiffness matrix method (DSM) and calculated with numerical derivatives to obtain the dynamic response of gears caused by external torque and total motion excitation.
Omar et al. [7] proposed a nine-degree-of-freedom model of a one-stage gear system with realistic representation of different meshing stiffnesses and gearing errors and gear failures. Rincon et al. [8] evaluated the effect of defects such as cracks and pitting on relevant parameters such as load transfer error or load sharing. Mohammed et al. [9] presented a new method to calculate the gear mesh stiffness during tooth root extension cracking. The effects of gear mesh stiffness on vibration-based fault detection metrics RMS, cliffness and peak factor are investigated. Pandya and Parey [10,11,12] used a finite element method based on linear elastic fracture mechanics (LEFM) to investigate the crack expansion path of HCR spur gears containing tooth root cracks under two gear parameters of prepared tooth ratio and pressure angle. Rincon et al. [13] developed a model to analyze the contact forces and deformations of spur gear drives by imposing compatibility and complementarity conditions through finite element models and Hertzian contact theory. Liang et al. [14] applied the potential energy method to evaluate the time-varying mesh stiffness of a planetary gear set. Ma et al. [15,16] proposed an improved mesh stiffness model for a healthy gear pair considering the misalignment of the tooth root and base circles and the accuracy of the transition curve, and verified it using the finite element method. Zhao et al. [17] established the finite element model of nonlinear multi-clearance planetary gear system of wind turbine, and studied the variation law of dynamic transmission error of planetary gear system under different speeds and loads.
Chen and Shao [18] develop a new method to transform the gear tooth errors (TEs) to be the appropriate dynamic excitations through the mesh stiffness and the unloaded static transmission error (USTE). Wang and Zhang [19] modelled the effects of tooth misalignment and assembly errors on helical gear mesh stiffness, load transmission errors, tooth contact stresses and tooth root stresses. Salagianni et al. [20] considered the effects of backlash and friction of gears under mixed lubrication, established a planetary gearbox model of complex states, and characterized the system dynamics with eigenvalues and eigenmodes of corresponding linearized systems. Yang and Tang [21] studied the dynamic characteristics of a hoist equipped with a two-stage planetary gear reducer, and gave the natural frequency and corresponding mode. Liu et al. [22] established a multi-body dynamic model of planetary gear train with local faults of planetary bearing and elastic gear ring foundation, and analysed the influence of local faults on vibration. Guo and Fang [23] calculated the dynamic excitation including time-varying meshing stiffness and meshing impact based on the contact analysis of loading tooth surface based on the superposition of random pitch error and initial gap between matching teeth. Hou et al. [24] established the rigid-flexible coupling dynamics model of gear transmission system, and studied the effects of the thickness of gear rim and gear billet web on NVH excitation source, dynamic meshing force and the dynamic response of the system at bearings and bearing housings.
In order to synthesize the sources of excitation for the analysis of gear trains, Bruzzone and Rosso [25] discuss the use of various sources of excitation in different dynamic models, which include simple analytical models, concentrated mass models and finite element models, among others. Yu et al. [26] proposed a new model for cylindrical gear pair dynamics, the main improvement of this model is to consider the effect of nonlinear elliptical tooth contact pattern. Tang et al. [27] developed a novel analytical model of a curved cylindrical gear based on the sound-vibration coupling theory using the finite element boundary element method. In order to investigate at the level of the overall system, Lin [28] used a time-varying displacement excitation model of the half-sine function type to describe the fault-induced excitation and developed a new dynamic model for rotor-rolling bearing-housing systems (RBHSs). Dai et al. [29] developed a comprehensive model of the gear-rotor-bearing system based on the excitation generated by localized faults, and the model and analysis results were verified by several sets of experiments.
Matania et al. [30] systematically explored fault diagnosis methods for rotating machinery, categorizing the research objectives into two main directions: fault severity and remaining useful life estimation. Wang et al. investigated gears with four different faults using several well-accepted techniques (phase and amplitude demodulation, beta kurtosis, and wavelet transform), comparing the sensitivity of various fault diagnosis methods to signal variations [31]. The spectral kurtosis (SK) technique employs fourth-order statistical measures to decompose the variation of signal power with frequency and can be applied to fault diagnosis of rotating machinery such as bearings and gears (Wang 2016) [32]. Lee et al. [33] analysed the impulse character in the corresponding vibration signals by comparing the transmission errors under normal operating conditions with those observed during broken-tooth failures. Ravikumar et al. [34] employed machine learning methods to examine the fault features associated with various degrees of failure (25% defect, 50% defect, 75% defect, and complete tooth breakage). Zhang et al. [35] proposed a modulation signal bispectrum-based sideband estimator (MSB-SE) method for gear wear faults. This method can extract the sideband information of the acceleration of the faulty gear and evaluate the degree of wear. Gao and Wang [36] proposed the concept of cumulative comprehensive energy ratio as a new indicator to intuitively evaluate the wear degree of gears. Hu et al. [37] established a damage dynamics model for the helicopter’s main reduction gearbox, incorporating coupling effects to investigate the influence mechanism of sun gear cracks on vibration characteristics. Meanwhile, Chen et al. [38] identified faults associated with sun gear and inner ring tooth cracks using the fast spectral kurtosis method and analysed the corresponding fault response characteristics.
Previous studies have mostly focused on analysing the dynamic characteristics of undamaged gear transmission systems and single-flank cracks. Therefore, the innovation of this paper lies in dividing the cracks into two cases—those occurring on the working flank of the gear tooth and those on the non-working flank—and in conducting a comparative analysis of their dynamic responses. In this paper, Section 2 describes the structure of a practical helical idler gear system and develops its corresponding dynamic model. The finite element method is employed to conduct flexible modelling of a faulty gear, which is then integrated into the established dynamic model. In Section 3, a simulation analysis of the rigid–flexible coupling model is performed. Dynamic response signals of the helical idler gear system under various fault conditions are obtained, and the influence of gear root cracks on the working flank and the non-working flank is analysed in the time and frequency domains. Additionally, a time–frequency spectrum is derived based on the short-time Fourier transform, and the results are discussed. In Section 4, experiments using an FZG closed power flow gear test bench are conducted to validate the accuracy of the developed dynamic model of the helical idler drive system.

2. Dynamics Model of Helical Idler Gear System

The dynamics model of helical idler gear system is established, as shown in Figure 1. The tooth dynamic mesh force along y direction is:
F y 1 = cos α cos β k m 1 ( y 2 y 1 e 1 + c m 1 ( y 2 ˙ y 1 ˙ e 1 ˙ ) ) F y 2 = cos α cos β k m 2 ( y 2 y 3 e 2 + c m 2 ( y 2 ˙ y 3 ˙ e 2 ˙ ) )
where   α is pressure angle; β is helix angle of the helical gear;   k m 1 ,   k m 2 ,   c m 1 ,   c m 2 are, respectively, normal mesh stiffness and damping of gear pair I (gear I and gear II) and II (gear II and gear III);   y 1 ,   y 2 ,   y 3 are, respectively, linear displacements of gear I, II and III along y direction; and e 1 ,   e 2 are static transmission error of the gear pair I and II which takes profile modification, crowning, machining error, assembly error and mesh phase difference into consideration.
Then the formula of dynamics model of integral helical idler gear system is established:
m 1 y 1 ¨ + c 1 y 1 ˙ + k 1 y 1 = F y 1 m 3 y 3 ¨ + c 3 y 3 ˙ + k 3 y 3 = F y 2 m 2 y 2 ¨ + c 2 y 2 ˙ + k 2 y 2 = F y 1 F y 2
where, m 1 ,   m 2 ,   m 3 are equivalent mass of gear I, II and III;   c 1 ,   c 2 ,   c 3 are bearing damping of shaft I, II and III; and k 1 ,   k 2 ,   k 3 are bearing stiffness of shaft I, II and III.
The formation of crack failures is a complex process. When gears are subjected to cyclic loads over prolonged periods, the effects of gear contact fatigue can induce fatigue damage, which in turn leads to the initiation and propagation of cracks [39,40]. Fuchs et al. [41] found that initial cracks appeared at the sites of non-metallic inclusions in gears, while Vukelic et al. [42] similarly indicated that cracks originate at inclusion points. These findings suggest that under complex operating conditions, the locations where cracks initiate may vary. Consequently, in practical environments, cracks may develop on either the working flank or the non-working flank, necessitating a clear distinction of the specific positions at which they appear. Thereafter, under the continued influence of contact fatigue, cracks propagate from their points of origin until ultimate fracture occurs.
The time-varying meshing stiffness is an important parameter of the dynamics model of a helical idler gear system, and the influence of root crack fault is primarily manifested in this parameter. Considering the different scenarios in which cracks appear at the working flank and the non-working flank, based on the potential energy method, stiffness calculation models under different conditions are established, and the principle is depicted in Figure 2.
The energy method assumes that the potential energy stored in a meshing gear consists of four parts: Hertzian energy U h , bending energy U b , compressive energy U a , and shear energy U s . They are used separately for calculating Hertzian contact stiffness k h , bending stiffness k b , compressive stiffness k a and shear stiffness k s . The total mesh stiffness is the series form of each stiffness, according to elastic mechanics, mechanics of materials:
U h = F 2 2 k h
U b = F 2 2 k b = 0 d ( F b d x F a h ) 2 2 E I x d x + 0 R b R f ( F b d + x 1 F a h ) 2 2 E I x d x 1
U a = F 2 2 k a = 0 d 1.2 F a 2 2 G A x d x + 0 R b R f 1.2 F a 2 2 G A x d x 1
U s = F 2 2 k s = 0 d 1.2 F b 2 2 G A x d x + 0 R b R f 1.2 F b 2 2 G A x d x 1
where F is the meshing force at the meshing point, the direction is along the line of engagement, F a is the radial component of F, F b is the tangential component of F, E is elastic modulus, G is shear modulus, I x is the moment of inertia of the tooth section at the distance x from the base circle, A x is cross-sectional area, d is the horizontal distance between the meshing point and the base circle, h is the distance between the meshing point and the symmetry line of the gear teeth, x is the distance from any point on the involute curve to the base circle, and x 1 is the distance from any point on the transition curve to the root circle.
In addition, the effect of the flexible deformation of the gear base has to be considered, and the expression corresponding to the flexible deformation of the gear base is given by:
1 k f = c o s 2 α E W ( L * d S f 2 + M * d S f + P * ( 1 + Q * t a n 2 α ) )
where S f is tooth thickness at the critical section according to Weber, and α is the pressure angle. The coefficients L*, M*, P* and Q* are fitted by polynomial functions, and they can be found in Ref. [43].
According to Equation (8), single-tooth-pair mesh stiffness can be given as:
k = 1 1 k h + 1 k b 1 + 1 k a 1 + 1 k s 1 + 1 k f 1 + 1 k b 2 + 1 k a 2 + 1 k s 2 + 1 k f 2
And the double pair tooth mesh stiffness can be given as:
k = i = 1 2 1 1 k h , i + 1 k b 1 , i + 1 k a 1 , i + 1 k s 1 , i + 1 k f 1 , i + 1 k b 2 , i + 1 k a 2 , i + 1 k s 2 , i + 1 k f 2 , i
where the subscript numbers 1 and 2 represent the driving and driven gears, respectively, and i indicates the gear meshing of the ith pair.
As shown in Figure 2b,c, root cracks appear at the working flank and the non-working flank separately. Component F b of the meshing force along the vertical direction tends to make the cracks open, thus affecting the meshing stiffness of the gear teeth. When root cracks exist, the effective area A x and the moment of inertia I x of the tooth section at the distance from the gear base circle x can be expressed as:
A x = h c + h x L ,   x g c 2 h x L ,   x > g c
I x = 1 12 ( h c + h x ) 3 L ,   x g c 1 12 ( 2 h x ) 3 L ,   x > g c
where, L represents the gear width, h c represents the vertical distance between the crack tip and the centre line of the gear teeth, h x represents the distance between the tooth profile at the base circle x and the centre line of the gear teeth, and g c represents the horizontal distance between the tooth profile at the crack tip and the base circle. By substituting Equations (10) and (11) into Equations (3)–(9), the formula for calculating the time-varying meshing stiffness of helical gear with root crack fault can be simplified. According to the formula, the time-varying meshing stiffness of helical gear under the influence of root crack fault can be solved and applied to the solution of dynamics model.
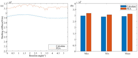
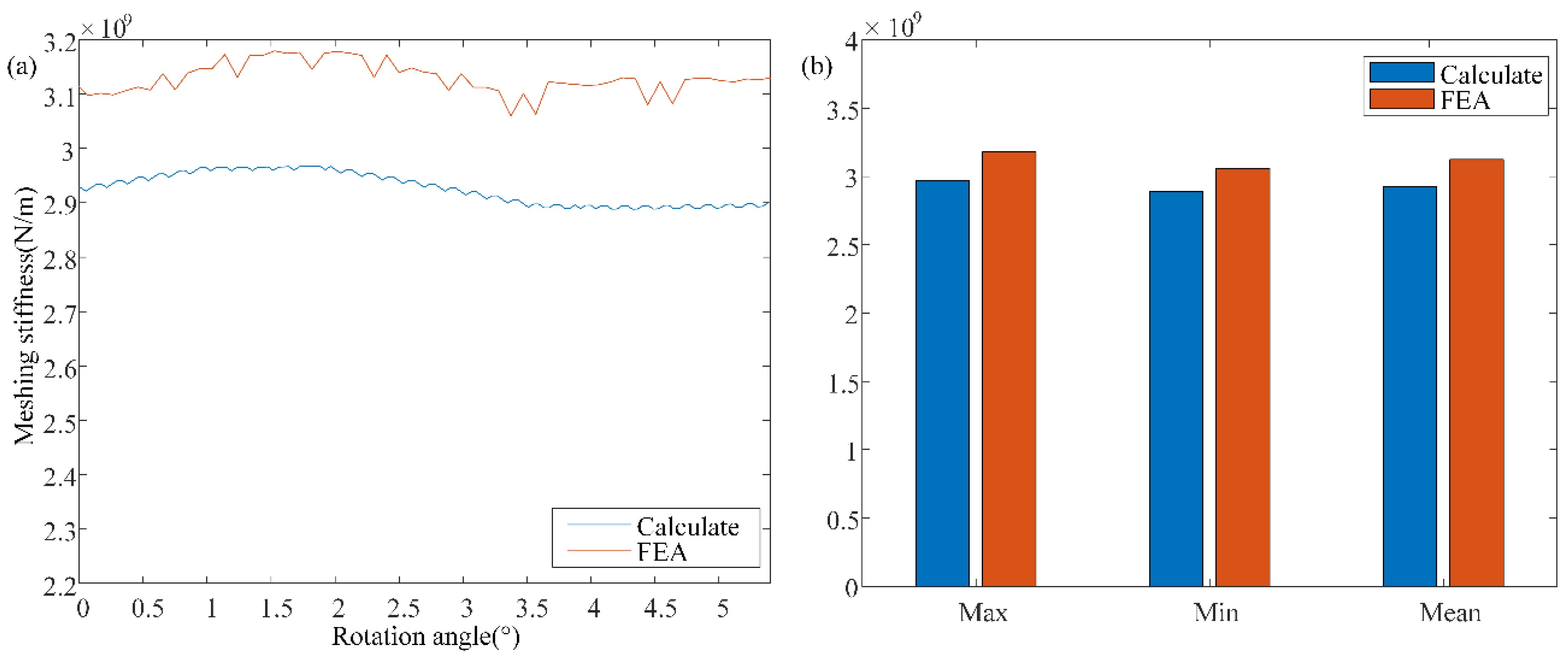
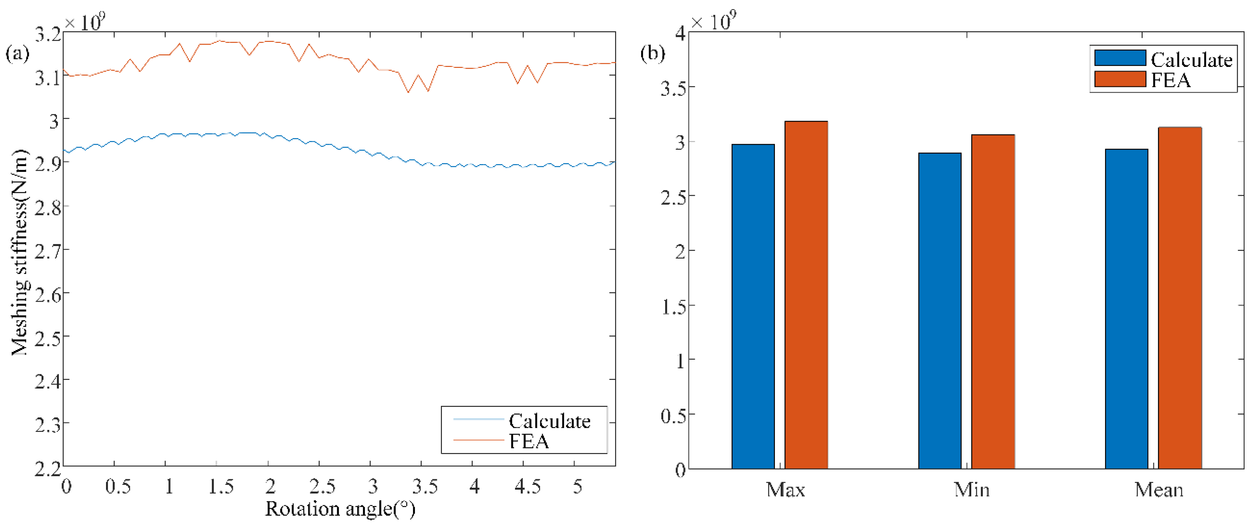
It is essential to note that numerous effective and advanced methods exist for calculating gear tooth stiffness, capable of considering nonlinear and non-Hertzian hypotheses on either a 2D or 3D basis [44,45,46]. Typical methods encompass analytical, finite element, hybrid, and approximated analytical models. Among the widely used methods, the finite element method can more comprehensively account for the effects of tooth-structure features, such as thin-rimmed and slot structures [47]. Therefore, it is necessary to establish a finite element model of the gear. By comparing the results obtained from the finite element model, the accuracy of the proposed stiffness calculation method can be verified. The results of the comparison are depicted in Figure 3.
Figure 3a reveals that the computational model and the finite element model exhibit similar curves in computational results. Comparing the maximum, minimum and average values of the computational results to make Figure 3b, the errors are found to be 6.7%, 5.6% and 6.3%, respectively. These findings indicate that the errors of the computational model and the finite element model can be kept within 10%.

3. Simulation Analysis of Dynamics Model of Helical Idler Gear System

Considering the different situations of cracks that appear at the working flank and the non-working flank, a rigid–flexible coupling dynamics model is established according to professional dynamics simulation software, the relevant parameters and the schematic diagrams of the three-dimensional model which are shown in Table 1 and Figure 4.
The solution of the model follows the dynamics model formula provided in the previous section. The transmission system of helical idler gear with different crack locations was modelled, as shown in Figure 4b,c, corresponding to Figure 2b,c. The crack appears at the root of the input gear. The dynamic model is solved by simulation and its dynamic characteristics are analysed.

3.1. Time Domain Analysis of Dynamic Response

Dynamic simulation analysis was conducted on the established model of a helical idler gear transmission system to study its dynamic response, as shown in Figure 5. When the dynamic load of undamaged gear transmission system is evenly distributed and the crack appears at the working flank, periodic impact will occur in the time domain. The period T 1 is 0.032 s (equal to the reciprocal of the input gear frequency f r 1 ), and the impact amplitude reaches 209.8% of the amplitude of the undamaged gear transmission system.
The dynamic load around the impact area changes dramatically, and the dynamic load far away from the impact area also fluctuates to a certain extent, with the amplitude up to 159.7% of that of undamaged gear transmission system. When the crack appears at the non-working flank, periodic impact will also occur in the time domain. The period is equal to T 1 , and the impact amplitude is about 203.1% of that of undamaged gear transmission system. However, in the area far from the impact, the crack at the non-working flank is close to the dynamic load response of undamaged gear, that is, the dynamic load is evenly distributed, and the fault characteristics is not obvious.
From an overall perspective, root mean square (RMS) under different states are calculated. It is found that when the crack appears at the working flank, the RMS of the damaged gear transmission system increases significantly compared to the undamaged gear transmission system, reaching 132.4%. Furthermore, as shown in Figure 5b,d, the dynamic load curve fluctuates more violently in this state than in the undamaged gear transmission system, indicating that the overall operating state of the system tends to be unstable when periodic shocks occur. When the crack appears at the non-working flank, its RMS is very close to that of the undamaged gear transmission system, about 97.3%, which can be regarded as a very small gap. Observe the time-domain response curves in Figure 5c,d. When the crack appears at the non-working flank, the dynamic load curve far away from the impact area basically coincides with that of the undamaged gear transmission system, indicating that the dynamic load of the system in this state will quickly return to the state of smooth operation after the impact. This is different from the case where the crack appears at the working flank.

3.2. Frequency Domain Analysis Based on Fast Fourier Transform

Fast Fourier transform is performed on the dynamic load time domain signal to obtain its frequency domain response, as shown in Figure 6.
Figure 6 shows that the peaks of the gear transmission system in different states all occur at the meshing frequency n f m ( f m is the meshing frequency of gear transmission system, n = 1, 2, 3, 4). When the crack appears at the working flank, the peaks at 1 f m and 2 f m are significantly higher than those of the undamaged gear transmission system. However, the peak gap decreases at 3 f m and 4 f m . When the crack appears at the non-working flank, the peak gap from that of the undamaged gear transmission system is smaller than crack appears at the working flank. Compared with an undamaged gear transmission system, the most important characteristic of cracks in the frequency domain should be the sideband phenomenon near n f m , so the areas near f m , 2 f m , 3 f m and 4 f m in Figure 6 need to be enlarged for further observation, as shown in Figure 7.
As can be seen from Figure 7, due to complex working conditions of a helical idler gear transmission system, the n f m   ( f m is the meshing frequency, n = 1, 2, 3, 4) of an undamaged gear transmission system is not completely level, but exhibits a certain degree of sideband phenomenon, but is not periodic at all and has low amplitude, as shown in Figure 7a. When the crack appears at the working flank, as shown in Figure 7b, there are sideband phenomena with high amplitude and great fluctuation in the n f m , and the interval between adjacent amplitudes is equal to the reciprocal of the axial frequency f r 1 of the input gear, showing obvious periodicity. When the crack appears at the non-working flank, as shown in Figure 7c, a sideband with low amplitude and uniform distribution appears on the n f m , and the interval between adjacent amplitudes is equal to the reciprocal of shaft frequency f r 1 of the input gear. The periodicity is the same as when the crack appears at the working flank. The amplitude indicates that the sideband amplitude in this state can be completely distinguished from the irregular band in the undamaged gear state, but the amplitude is far lower than that when the crack appears at the working flank. At the same time, it is found that with the increase in frequency, the sideband amplitude difference decreases gradually when the crack appears at the working flank and the crack appears at the non-working flank.
In the high frequency region, namely, near 3 f m and 4 f m , the peaks of gear transmission systems in different states have little difference, while in the low frequency region, namely, near 1 f m and 2 f m , when the crack appears at the working flank, the peaks are obviously greater than those in the undamaged gear state or crack at the non-working flank. In the undamaged gear state, there are frequency bands with low amplitude and no periodicity near n f m ( f m is the meshing frequency, n = 1, 2, 3, 4) of gear transmission system, which can be regarded as no sideband phenomenon, while the cracked gear appears with obvious periodic sideband phenomenon near n f m . The period is equal to the reciprocal of the shaft frequency of the faulty gear. When the crack appears at the working flank, the sideband generally has a high amplitude and large fluctuation, when the crack appears at the non-working flank, the sideband generally has a low amplitude and uniform distribution. This difference always exists, but the comparison is more obvious in the low-frequency region, which can be used as a reference to distinguish the crack location at the working flank or the non-working flank.

3.3. Energy Spectrum Analysis Based on Time–Frequency Domain

The time–frequency domain response energy spectrum of helical idler gear transmission system was obtained, as shown in Figure 8. In the undamaged gear state, energy is mainly concentrated at n f m , and is most obvious near 1 f m and 2 f m , as shown in the bright color area in Figure 8a. The energy spectral density at any frequency does not change significantly with time. When the crack appears at the working flank, as shown in Figure 8b, the location of the bright colour region remains at n f m , and the colour is significantly deepened, indicating that the energy spectrum density increases and the width increases in the frequency direction, corresponding to the sideband phenomenon in the frequency domain response. Periodic fluctuations appear in the time direction, corresponding to the periodic impact T 1 in the time domain response. When the crack appears at the non-working flank, compared with the undamaged gear state, the colour of the bright area at n f m is deepened and the width in the frequency direction is increased. This phenomenon is similar to when the crack appears at the working flank, but less obvious. The periodic fluctuation period in the time direction is the same as the period when the crack appears at the working flank.
In conclusion, the concentration of energy spectrum density always appears at n f m and decreases with increasing frequency, whether the crack appears at the working flank or the non-working flank. This phenomenon is most obvious near the 1 f m and 2 f m . When the crack appears at the working flank, the energy spectral density of 1 f m and 2 f m apparently increases, and there is obvious diffusion in the frequency domain. When the crack appears at the non-working flank, the energy spectral density of 1 f m and 2 f m only increases to some extent, and there is a tendency of diffusion in the frequency domain; as shown in Figure 8b,c, the widths of the brightly coloured areas in the frequency domain around 1 f m and 2 f m increased. As long as cracks occur, periodic impact phenomena can be found on the time axis of the energy spectral density diagram, which is relatively obvious near n f m . With the increase in frequency, the energy spectral density decreases continuously, leading the periodic phenomenon gradually to become less obvious. The analysis results in the time–frequency domain show that, in order to distinguish whether the crack occurs at the working flank or the non-working flank, the main observation area should be near 1 f m and 2 f m .

4. Experimental Verification

The vibration experiment of the gear system was carried out using the FZG closed power flow gear experimental platform, and the corresponding position was selected for wire cutting based on the actual fatigue crack location, as shown in Figure 9.
The experimental gears exhibited cracks appearing at the working flank and the non-working flank. The vibration signal of the gear system is captured by a vibration acceleration sensor, installed on the bearing end cover of the gearbox. As the gear transmission system is a closed whole, the vibration signal of the gear during operation will be transmitted outward along the transmission route of gear–key–shaft–bearing–bearing cover, so the vibration signal measured by the sensor on the bearing end cover can be considered as the reflection of the gear body’s vibration signal.
Considering the complex experimental conditions, Empirical Mode Decomposition processing is applied to signals collected by a vibration acceleration sensor, and appropriate signal components are selected to yield response results in both the time and frequency domains. In the time domain, we observe that the vibration amplitude of the cracked gear transmission system is significantly increased compared to the undamaged gear state and is more obviously increased when the crack appears at the working flank. However, due to interference from other vibration signals on the transmission path, the periodic impact is only relatively obvious when the crack appears at the working flank. When the crack appears at the non-working flank, the periodic impact in the time domain is difficult to recognize. This experimental phenomenon aligns with the trend of the model solution presented in Section 3.
The response signals in the frequency domain are obtained via fast Fourier transform, and it is found that the main differences are concentrated in the vicinity of 1 f m and 2 f m ; f m is the meshing frequency of the experimental gear transmission system. When the crack appears, the peaks at 1 f m and 2 f m increase obviously. The spectrum exhibits sidebands near 1 f m and 2 f m , with a period equal to f r 1 ; f r 1 is the shaft frequency of the test gear with crack fault. When the crack appears at the working flank, the increase in the peaks at 1 f m and 2 f m is more obvious. The sideband is periodic but the amplitude is obviously larger than that of the crack at the non-working flank. The occurrence of the crack and the location of the crack can be preliminarily judged based on these two phenomena.
To verify the accuracy of the calculation model, according to the relevant parameters of the experiment, the previous method is used for modelling. The frequency domain responses of the experimental and computational results are compared in Figure 10. The trends of their curves in the frequency domain are consistent. When the crack appears, the sidebands with a period of f r appear near 1 f m and 2 f m . The amplitude of the sidebands is significantly higher when the crack appears at the working flank compared to when it appears at the non-working flank.
Taking the experimental results as the standard value, the sideband amplitudes of the two results near 1 f m and 2 f m are extracted for error analysis, and the results are shown in Table 2. Table 2 illustrates that the error between the experimental and computational results can be kept within 20%, indicating good correspondence between the experimental and computational models.
To study the response results of experimental signals in the time–frequency domain, short-time Fourier transform is applied to the collected signals, and the results are shown in Figure 10. Due to complex experimental conditions, the energy spectral density in the time–frequency domain is less stable than the dynamics model solution results, showing non-uniformity. Therefore, the positions of 1 f m and 2 f m are marked by dotted lines in the figure, and the nearby energy spectral density is observed. In the undamaged gear state, the energy bands of 1 f m and 2 f m can be identified as shown in Figure 11a.
When the crack appears at the working flank, as shown in Figure 11b, the energy bands at 1 f m and 2 f m obviously widen and deepen in colour, indicating that the energy spectral density increases and sidebands appear around them. As the energy spectral density increases, the non-uniformity of energy spectral density becomes more obvious, leading to the appearance of energy gap. When the crack appears at the non-working flank, as shown in Figure 11c, the energy band at 1 f m and 2 f m tends to widen and deepen in color, and there is no obvious energy gap phenomenon, indicating that the amplitude growth and sideband phenomenon at the 1 f m and 2 f m are not as obvious as the crack at the working flank state.

5. Conclusions

This paper presents the development of a dynamics model for an actual helical idler gear transmission system, considering the different scenarios of crack appearance at the working flank and the non-working flank. Corresponding experiments were designed using the FZG closed power flow gear experimental platform to investigate the dynamic response characteristics when cracks appear at different working flanks of the gear. The major conclusions are as follows:
(1)
When the crack appears, periodic impact and RMS increase should occur in the time domain of the fault gear transmission system, and the obvious degree of this phenomenon depends on the location of the crack, that is, whether the crack appears at the working flank or the non-working flank. From the model solution and experimental results, the time domain phenomenon when the crack appears at the working flank is the most obvious, and it is not easily to be disturbed by noise under actual working conditions.
(2)
Whether the crack appears at the working flank or the non-working flank, the main phenomenon is an increase in the peak at n f m ( f m is the meshing frequency of the gear transmission system) and the occurrence of a periodic sideband nearby. The location of the crack primarily affects the increase in the peak at n f m and the stability of the sideband.
(3)
Analysis of the energy spectrum in the time–frequency domain reveals differences between cracks at the working flank and the non-working flank, primarily in the low-frequency range with higher energy spectrum density. This manifests as a widened energy band around 1 f m and 2 f m , increased amplitude, and potential energy gap occurrence in complex working conditions.

Author Contributions

Conceptualization, H.S. and W.L.; methodology, H.S.; validation, H.S., W.L. and W.Z.; data curation, H.S.; writing—original draft preparation, H.S.; writing—review and editing, H.S. and W.Z.; supervision, W.Z.; funding acquisition, W.L. All authors have read and agreed to the published version of the manuscript.

Funding

The authors would like to acknowledge the financial support from the NSFC, the research is funded by National Natural Science Foundation of China (contract No. 52475049), these supports are gracefully acknowledged.

Data Availability Statement

The data are available from the corresponding author on reasonable request.

Conflicts of Interest

The authors declared no potential conflicts of interest with respect to the research, authorship, and publication of this article.

References

  1. Andrade, F.A.; Esat, I.I.; Badi, M.N.M. Gear condition monitoring by a new application of the Kolmogorov—Smirnov test. Proc. Inst. Mech. Eng. Part C J. Mech. Eng. Sci. 2001, 215, 653–661. [Google Scholar] [CrossRef]
  2. Al-Shyyab, A.; Kahraman, A. A non-linear dynamic model for planetary gear sets. Proc. Inst. Mech. Eng. Part K J. Multi-Body Dyn. 2007, 221, 567–576. [Google Scholar] [CrossRef]
  3. Inalpolat, M.; Kahraman, A. Dynamic Modelling of Planetary Gears of Automatic Transmissions. Proc. Inst. Mech. Eng. Part K J. Multi-Body Dyn. 2008, 222, 229–242. [Google Scholar] [CrossRef]
  4. Saryazdi, M.G.; Durali, M. The effect of three-dimensional crack growth on the force distribution and meshing stiffness of a spur gear: Ideal and misaligned contacts. Proc. Inst. Mech. Eng. Part C J. Mech. Eng. Sci. 2009, 223, 1633–1644. [Google Scholar] [CrossRef]
  5. Chaari, F.; Fakhfakh, T.; Haddar, M. Analytical modelling of spur gear tooth crack and influence on gearmesh stiffness. Eur. J. Mech.-A Solids 2009, 28, 461–468. [Google Scholar] [CrossRef]
  6. Huang, K.J. Dynamic analysis of gear pairs with a gross motion effect using the dynamic stiffness matrix method. Proc. Inst. Mech. Eng. Part K J. Multi-Body Dyn. 2010, 224, 203–210. [Google Scholar] [CrossRef]
  7. Omar, F.K.; Moustafa, K.A.; Emam, S. Mathematical modeling of gearbox including defects with experimental verification. J. Vib. Control 2012, 18, 1310–1321. [Google Scholar] [CrossRef]
  8. del Rincon, A.F.; Viadero, F.; Iglesias, M.; de-Juan, A.; Garcia, P.; Sancibrian, R. Effect of cracks and pitting defects on gear meshing. Proc. Inst. Mech. Eng. Part C J. Mech. Eng. Sci. 2012, 226, 2805–2815. [Google Scholar] [CrossRef]
  9. Mohammed, O.D.; Rantatalo, M.; Aidanpää, J.-O. Improving mesh stiffness calculation of cracked gears for the purpose of vibration-based fault analysis. Eng. Fail. Anal. 2013, 34, 235–251. [Google Scholar] [CrossRef]
  10. Pandya, Y.; Parey, A. Crack behavior in a high contact ratio spur gear tooth and its effect on mesh stiffness. Eng. Fail. Anal. 2013, 34, 69–78. [Google Scholar] [CrossRef]
  11. Pandya, Y.; Parey, A. Failure path based modified gear mesh stiffness for spur gear pair with tooth root crack. Eng. Fail. Anal. 2013, 27, 286–296. [Google Scholar] [CrossRef]
  12. Pandya, Y.; Parey, A. Simulation of crack propagation in spur gear tooth for different gear parameter and its influence on mesh stiffness. Eng. Fail. Anal. 2013, 30, 124–137. [Google Scholar] [CrossRef]
  13. Fernandez del Rincon, A.; Viadero, F.; Iglesias, M.; García, P.; de-Juan, A.; Sancibrian, R. A model for the study of meshing stiffness in spur gear transmissions. Mech. Mach. Theory 2013, 61, 30–58. [Google Scholar] [CrossRef]
  14. Liang, X.; Zuo, M.J.; Pandey, M. Analytically evaluating the influence of crack on the mesh stiffness of a planetary gear set. Mech. Mach. Theory 2014, 76, 20–38. [Google Scholar] [CrossRef]
  15. Ma, H.; Song, R.; Pang, X.; Wen, B. Time-varying mesh stiffness calculation of cracked spur gears. Eng. Fail. Anal. 2014, 44, 179–194. [Google Scholar] [CrossRef]
  16. Ma, H.; Pang, X.; Feng, R.; Song, R.; Wen, B. Fault features analysis of cracked gear considering the effects of the extended tooth contact. Eng. Fail. Anal. 2015, 48, 105–120. [Google Scholar] [CrossRef]
  17. Zhao, Y.; Ahmat, M.; Bari, K. Nonlinear dynamics modeling and analysis of transmission error of wind turbine planetary gear system. Proc. Inst. Mech. Eng. Part K J. Multi-Body Dyn. 2014, 228, 438–448. [Google Scholar] [CrossRef]
  18. Chen, Z.; Shao, Y. Dynamic features of planetary gear train with tooth errors. Proc. Inst. Mech. Eng. Part C J. Mech. Eng. Sci. 2015, 229, 1769–1781. [Google Scholar] [CrossRef]
  19. Wang, Q.; Zhang, Y. A model for analyzing stiffness and stress in a helical gear pair with tooth profile errors. J. Vib. Control 2017, 23, 272–289. [Google Scholar] [CrossRef]
  20. Salagianni, K.; Nikolakopoulos, P.; Theodossiades, S. Dynamic and tribological study of a planetary gearbox with local nonlinearities. Proc. Inst. Mech. Eng. Part K J. Multi-Body Dyn. 2017, 231, 504–518. [Google Scholar] [CrossRef]
  21. Yang, W.; Tang, X. Modelling and modal analysis of a hoist equipped with two-stage planetary gear transmission system. Proc. Inst. Mech. Eng. Part K J. Multi-Body Dyn. 2017, 231, 739–749. [Google Scholar] [CrossRef]
  22. Liu, J.; Wang, L.; Ma, J.; Yu, W.; Shao, Y. A multi-body dynamic study of vibration of a planetary gear train with the planetary bearing fault. Proc. Inst. Mech. Eng. Part K J. Multi-Body Dyn. 2019, 233, 677–695. [Google Scholar] [CrossRef]
  23. Guo, F.; Fang, Z. The statistical analysis of the dynamic performance of a gear system considering random manufacturing errors under different levels of machining precision. Proc. Inst. Mech. Eng. Part K J. Multi-Body Dyn. 2020, 234, 3–18. [Google Scholar] [CrossRef]
  24. Hou, L.; Lei, Y.; Fu, Y.; Hu, J. Effects of lightweight gear blank on noise, vibration and harshness for electric drive system in electric vehicles. Proc. Inst. Mech. Eng. Part K J. Multi-Body Dyn. 2020, 234, 447–464. [Google Scholar] [CrossRef]
  25. Bruzzone, F.; Rosso, C. Sources of Excitation and Models for Cylindrical Gear Dynamics: A Review. Machines 2020, 8, 37. [Google Scholar] [CrossRef]
  26. Yu, W.; Mechefske, C.K.; Timusk, M. A new dynamic model of a cylindrical gear pair with localized spalling defects. Nonlinear Dyn. 2018, 91, 2077–2095. [Google Scholar] [CrossRef]
  27. Tang, Z.; Chen, Z.; Sun, J.; Lu, M.; Liu, H. Noise Prediction Study of Traction Arc Tooth Cylindrical Gears for New Generation High-Speed Electric Multiple Units. Lubricants 2023, 11, 357. [Google Scholar] [CrossRef]
  28. Liu, J. A dynamic modelling method of a rotor-roller bearing-housing system with a localized fault including the additional excitation zone. J. Sound Vib. 2020, 469, 115144. [Google Scholar] [CrossRef]
  29. Dai, P.; Liang, X.; Wang, K.; Wang, J.; Wang, F.; Yang, G. Dynamic modeling and vibration analysis for the gear-rotor-bearing system with localized failures. Mech. Syst. Signal Process. 2023, 200, 110551. [Google Scholar] [CrossRef]
  30. Matania, O.; Bachar, L.; Bechhoefer, E.; Bortman, J. Signal Processing for the Condition-Based Maintenance of Rotating Machines via Vibration Analysis: A Tutorial. Sensors 2024, 24, 454. [Google Scholar] [CrossRef]
  31. Wang, W.Q.; Ismail, F.; Farid Golnaraghi, M. Assessment of Gear Damage Monitoring Techniques Using Vibration Measurements. Mech. Syst. Signal Process. 2001, 15, 905–922. [Google Scholar] [CrossRef]
  32. Wang, Y.; Xiang, J.; Markert, R.; Liang, M. Spectral kurtosis for fault detection, diagnosis and prognostics of rotating machines: A review with applications. Mech. Syst. Signal Process. 2016, 66–67, 679–698. [Google Scholar] [CrossRef]
  33. Lee, D.-H.; Moon, K.-H.; Lee, W.-Y. Characteristics of transmission error and vibration of broken tooth contact. J. Mech. Sci. Technol. 2016, 30, 5547–5553. [Google Scholar] [CrossRef]
  34. Ravikumar, K.N.; Madhusudana, C.K.; Kumar, H.; Gangadharan, K.V. Classification of gear faults in internal combustion (IC) engine gearbox using discrete wavelet transform features and K star algorithm. Eng. Sci. Technol. Int. J. 2022, 30, 101048. [Google Scholar] [CrossRef]
  35. Zhang, R.; Gu, X.; Gu, F.; Wang, T.; Ball, A. Gear Wear Process Monitoring Using a Sideband Estimator Based on Modulation Signal Bispectrum. Appl. Sci. 2017, 7, 274. [Google Scholar] [CrossRef]
  36. Gao, J.; Wang, Y. Vibration-based gear wear area monitoring for quantitative assessment of wear severity under variable speed conditions. Mech. Syst. Signal Process. 2025, 224, 112213. [Google Scholar] [CrossRef]
  37. Hu, J.; Yang, Y.; Hu, N.; Lin, X. Dynamic modeling and characteristic analysis of a helicopter main reducer for tooth crack diagnosis. Measurement 2025, 247, 116823. [Google Scholar] [CrossRef]
  38. Chen, L.; Zhang, X.; Wang, L. Research on Root Strain Response Characteristics of Inner Ring of Planetary Gear Transmission System with Crack Fault. Sensors 2022, 23, 253. [Google Scholar] [CrossRef]
  39. Xu, X.; Yu, Z. Failure of a Diesel Engine Timing Gear. J. Fail. Anal. Prev. 2012, 12, 295–299. [Google Scholar] [CrossRef]
  40. Lima, B.; Rego, R. Comprehensive surface integrity evaluation during early stages of gear contact fatigue. Int. J. Fatigue 2024, 180, 108114. [Google Scholar] [CrossRef]
  41. Fuchs, D.; Schurer, S.; Tobie, T.; Stahl, K. Investigations into non-metallic inclusion crack area characteristics relevant for tooth root fracture damages of case carburised and shot-peened high strength gears of different sizes made of high-quality steels. Forsch. Im Ingenieurwesen 2019, 83, 579–587. [Google Scholar] [CrossRef]
  42. Vukelic, G.; Pastorcic, D.; Vizentin, G.; Bozic, Z. Failure investigation of a crane gear damage. Eng. Fail. Anal. 2020, 115, 104613. [Google Scholar] [CrossRef]
  43. Sainsot and, P.; Velex, P.; Duverger, O. Contribution of Gear Body to Tooth Deflections—A New Bidimensional Analytical Formula. J. Mech. Des. 2004, 126, 748–752. [Google Scholar] [CrossRef]
  44. Marafona, J.D.M.; Marques, P.M.T.; Martins, R.C.; Seabra, J.H.O. Mesh stiffness models for cylindrical gears: A detailed review. Mech. Mach. Theory 2021, 166, 104472. [Google Scholar] [CrossRef]
  45. Yang, L.; Wang, L.; Shao, Y.; Gu, F.; Ball, A.; Mba, D. A double-layer iterative analytical model for mesh stiffness and load distribution of early-stage cracked gear based on the slicing method. Mech. Syst. Signal Process. 2023, 198, 110456. [Google Scholar] [CrossRef]
  46. Cao, Z.; Chen, Z.; Jiang, H. Nonlinear dynamics of a spur gear pair with force-dependent mesh stiffness. Nonlinear Dyn. 2020, 99, 1227–1241. [Google Scholar] [CrossRef]
  47. Chen, K.; Huangfu, Y.; Ma, H.; Xu, Z.; Li, X.; Wen, B. Calculation of mesh stiffness of spur gears considering complex foundation types and crack propagation paths. Mech. Syst. Signal Process. 2019, 130, 273–292. [Google Scholar] [CrossRef]
Figure 1. Dynamics model of helical idle gear system.
Figure 1. Dynamics model of helical idle gear system.
Actuators 14 00292 g001
Figure 2. Calculation of time varying meshing stiffness by energy method.
Figure 2. Calculation of time varying meshing stiffness by energy method.
Actuators 14 00292 g002
Figure 3. Comparison of finite element model and calculation model.
Figure 3. Comparison of finite element model and calculation model.
Actuators 14 00292 g003
Figure 4. Three-dimensional dynamics model of helical idler gear system of different cracked working flanks.
Figure 4. Three-dimensional dynamics model of helical idler gear system of different cracked working flanks.
Actuators 14 00292 g004
Figure 5. Dynamic load response in the time domain.
Figure 5. Dynamic load response in the time domain.
Actuators 14 00292 g005
Figure 6. Dynamic load frequency domain response.
Figure 6. Dynamic load frequency domain response.
Actuators 14 00292 g006
Figure 7. Dynamic load response around n f m (n = 1, 2, 3, 4).
Figure 7. Dynamic load response around n f m (n = 1, 2, 3, 4).
Actuators 14 00292 g007
Figure 8. Time–frequency response of helical idler gear system.
Figure 8. Time–frequency response of helical idler gear system.
Actuators 14 00292 g008
Figure 9. Diagram of the components of the laboratory bench.
Figure 9. Diagram of the components of the laboratory bench.
Actuators 14 00292 g009
Figure 10. Comparison of experimental results and calculation results.
Figure 10. Comparison of experimental results and calculation results.
Actuators 14 00292 g010
Figure 11. Time–frequency domain response of experimental signal.
Figure 11. Time–frequency domain response of experimental signal.
Actuators 14 00292 g011
Table 1. Gearing system-related parameters.
Table 1. Gearing system-related parameters.
Gear ParametersInput GearIdler GearOutput Gear
Equivalent modulus (mm)6
Tooth width (mm)150
Helix angle (°)13
Pressure angle (°)20
Number of teeth3959125
Rotational speed (r/min)19001256593
Torque   ( N · m )4876737615,627
Table 2. Error of sideband amplitude near 1 f m and 2 f m .
Table 2. Error of sideband amplitude near 1 f m and 2 f m .
ErrorThe Amplitude of the Sideband Near 1 f m The Amplitude of the Sideband Near 2 f m
Crack at the working flank5.08%16.60%
Crack at the non-working flank14.74%0.96%
Disclaimer/Publisher’s Note: The statements, opinions and data contained in all publications are solely those of the individual author(s) and contributor(s) and not of MDPI and/or the editor(s). MDPI and/or the editor(s) disclaim responsibility for any injury to people or property resulting from any ideas, methods, instructions or products referred to in the content.

Share and Cite

MDPI and ACS Style

Shi, H.; Li, W.; Zhou, W. Dynamic Response Analysis of Tooth Root Crack Failure in Helical Idler Gear System Under Different Working Flank Conditions. Actuators 2025, 14, 292. https://doi.org/10.3390/act14060292

AMA Style

Shi H, Li W, Zhou W. Dynamic Response Analysis of Tooth Root Crack Failure in Helical Idler Gear System Under Different Working Flank Conditions. Actuators. 2025; 14(6):292. https://doi.org/10.3390/act14060292

Chicago/Turabian Style

Shi, Hengzhe, Wei Li, and Wanlin Zhou. 2025. "Dynamic Response Analysis of Tooth Root Crack Failure in Helical Idler Gear System Under Different Working Flank Conditions" Actuators 14, no. 6: 292. https://doi.org/10.3390/act14060292

APA Style

Shi, H., Li, W., & Zhou, W. (2025). Dynamic Response Analysis of Tooth Root Crack Failure in Helical Idler Gear System Under Different Working Flank Conditions. Actuators, 14(6), 292. https://doi.org/10.3390/act14060292

Note that from the first issue of 2016, this journal uses article numbers instead of page numbers. See further details here.

Article Metrics

Back to TopTop