Adaptive Predefined Time Control for Strict-Feedback Systems with Actuator Quantization
Abstract
1. Introduction
2. Prior Knowledge and Problem Statement
2.1. Prior Knowledge
2.2. Problem Statement
2.3. RBF Neural Networks
3. Predefined-Time Neural Networks Control Design
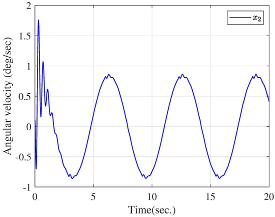
4. Simulation Example
5. Conclusions
Author Contributions
Funding
Data Availability Statement
Conflicts of Interest
References
- Elia, N.; Mitter, S. Stabilization of linear systems with limited information. IEEE Trans. Autom. Control 2001, 9, 1384–1400. [Google Scholar] [CrossRef]
- Hayakawaa, T.; Ishii, H.; Tsumurac, K. Adaptive quantized control for linear uncertain discrete-time systems. Automatica 2009, 3, 692–700. [Google Scholar] [CrossRef]
- Liberzon, D.; Hespanha, J. Stabilization of nonlinear systems with limited information feedback. IEEE Trans. Autom. Control 2005, 6, 910–915. [Google Scholar] [CrossRef]
- Gao, H.; Chen, T. A new approach to quantized feedback control systems. Automatica 2008, 2, 534–542. [Google Scholar] [CrossRef]
- Persis, C.D.; Isidori, A. Stabilizability by state feedback implies stabilizability by encoded state feedback. Syst. Control Lett. 2004, 11, 249–258. [Google Scholar] [CrossRef]
- Gao, H.; Meng, X.; Chen, T. Stabilization of networked control systems with a new delay characterization. IEEE Trans. Autom. Control 2008, 10, 2142–2148. [Google Scholar] [CrossRef]
- Hayakawaa, T.; Ishii, H.; Tsumurac, K. Adaptive quantized control for nonlinear uncertain systems. Syst. Control Lett. 2009, 9, 625–632. [Google Scholar] [CrossRef]
- Zhou, J.; Wen, C.; Yang, G. Adaptive backstepping stabilization of nonlinear uncertain systems with quantized input signal. IEEE Trans. Autom. Control 2014, 2, 460–464. [Google Scholar] [CrossRef]
- Liu, Z.; Wang, F.; Zhang, Y.; Chen, C.L.P. Fuzzy adaptive quantized control for a class of stochastic nonlinear uncertain systems. IEEE Trans. Cybern. 2016, 2, 524–534. [Google Scholar] [CrossRef]
- Wang, F.; Liu, Z.; Zhang, Y.; Chen, C.L.P. Adaptive quantized controller design via backstepping and stochastic small-gain approach. IEEE Trans. Fuzzy Syst. 2016, 4, 330–343. [Google Scholar] [CrossRef]
- Wang, H.; Liu, P.X.; Xie, X.; Liu, X.; Hayat, T.; Alsaadi, F.E. Adaptive fuzzy asymptotical tracking control of nonlinear systems with unmodeled dynamics and quantized actuator. Inf. Sci. 2021, 10, 779–792. [Google Scholar] [CrossRef]
- Wang, F.; Liu, Z.; Zhang, Y.; Chen, C.L.P. Adaptive quantized fuzzy control of stochastic nonlinear systems with actuator dead-zone. Inf. Sci. 2016, 11, 779–792. [Google Scholar] [CrossRef]
- Tang, Y. Terminal sliding mode control for rigid robots. Automatica 1998, 1, 51–56. [Google Scholar] [CrossRef]
- Bhat, S.P.; Bernstein, D.S. Continuous finite-time stabilization of the translational and rotational double integrators. IEEE Trans. Autom. Control 1998, 5, 678–682. [Google Scholar] [CrossRef]
- Bhat, S.P.; Bernstein, D.S. Finite-time stability of continuous autonomous systems. SIAM J. Control Optim. 2000, 6, 751–766. [Google Scholar] [CrossRef]
- Li, H.; Zhao, S.; He, W.; Lu, R. Adaptive finite-time tracking control of full state constrained nonlinear systems with dead-zone. Automatica 2019, 2, 99–107. [Google Scholar] [CrossRef]
- Zhang, Y.; Wang, F.; Yan, F. Fast finite time adaptive neural network control for a class of uncertain nonlinear systems subject to unmodeled dynamics. Inf. Sci. 2021, 7, 306–325. [Google Scholar] [CrossRef]
- Wang, F.; Chen, B.; Sun, Y.; Gao, Y.; Lin, C. Finite-time fuzzy control of stochastic nonlinear systems. IEEE Trans. Cybern. 2020, 6, 2617–2626. [Google Scholar] [CrossRef]
- Lu, K.X.; Liu, Z.; Lai, G.Y.; Chen, C.L.P.; Zhang, Y. Adaptive fuzzy output feedback control for nonlinear systems based on event-triggered mechanism. Inf. Sci. 2019, 6, 419–433. [Google Scholar] [CrossRef]
- Sui, S.; Chen, C.L.P.; Tong, S.C. Event-trigger-based finite-time fuzzy adaptive control for stochastic nonlinear system with unmodeled dynamics. IEEE Trans. Fuzzy Syst. 2021, 7, 1914–1926. [Google Scholar] [CrossRef]
- Huang, J.; Wen, C.; Wang, W.; Song, Y.D. Design of adaptive finite-time controllers for nonlinear uncertain systems based on given transient specifications. Automatica 2016, 7, 395–404. [Google Scholar] [CrossRef]
- Wang, F.; Zhang, Y.; Zhang, L.; Zhang, J.; Huang, Y. Finite-Time Consensus of Stochastic Nonlinear Multi-agent Systems. Int. J. Fuzzy Syst. 2020, 2, 77–88. [Google Scholar] [CrossRef]
- Sui, S.; Chen, C.L.P.; Tong, S.C. Neural network filtering control design for non-triangular structure switched nonlinear systems in finite-time. IEEE Trans. Neural Netw. 2019, 7, 2153–2162. [Google Scholar]
- Wu, J.; Chen, W.S.; Li, J. Global finite-time adaptive stabilization for nonlinear systems with multiple unknown control directions. Automatica 2016, 7, 298–307. [Google Scholar] [CrossRef]
- Zhu, Z.; Xia, Y.Q.; Fu, M.Y. Attitude stabilization of rigid spacecraft with finite-time convergence. Int. J. Robust Nonlinear Control 2011, 4, 686–702. [Google Scholar] [CrossRef]
- Polyakov, A. Nonlinear feedback design for fixed-time stabilization of linear control systems. IEEE Trans. Automat. Control 2012, 8, 2106–2110. [Google Scholar] [CrossRef]
- Zuo, Z.Y. Non-singular fixed-time terminal sliding mode control of nonlinear systems. IET Control Theory Appl. 2015, 2, 545–552. [Google Scholar]
- Li, J.P.; Yang, Y.N.; Hua, C.C. Fixed-time backstepping control design for high-order strictfeedback non-linear systems via terminal sliding mode. IET Control Theory Appl. 2017, 5, 1184–1193. [Google Scholar] [CrossRef]
- Hua, C.C.; Li, Y.F.; Guan, X.P. Finite/Fixed-Time Stabilization for Nonlinear Interconnected Systems with Dead-Zone Input. IEEE Trans. Autom. Control 2017, 5, 2554–2560. [Google Scholar] [CrossRef]
- Sun, Y.M.; Wang, F.; Liu, Z.; Zhang, Y.; Chen, C.L.P. Fixed-time fuzzy control for a class of nonlinear systems. IEEE Trans. Cybern. 2022, 5, 3880–3887. [Google Scholar] [CrossRef]
- Sun, J.L.; Yi, J.Q.; Pu, Z.Q. Fixed-time adaptive fuzzy control for uncertain nonstrict-feedback systems with time-varying constraints and input saturations. IEEE Trans. Fuzzy Syst. 2022, 4, 1114–1128. [Google Scholar] [CrossRef]
- Sánchez-Torres, J.D.; Sanchez, E.N.; Loukianov, A.G. Predefined time stability of dynamical systems with sliding modes. In Proceedings of the 2015 American Control Conference (ACC), Chicago, IL, USA, 1–3 July 2015; Volume 7, pp. 5842–5846. [Google Scholar]
- Sánchez-Torres, J.D.; Gómez-Gutiérrez, D.; López, E.; Loukianov, A.G. A class of predefined-time stable dynamical systems. IMA J. Math. Control Inf. 2018, 3, 1–29. [Google Scholar] [CrossRef]
- Ni, J.; Liu, L.; Tang, Y.; Liu, C. Predefined-time consensus tracking of second-order multiagent systems. IEEE Trans. Syst. Man, Cybern. Syst. 2021, 4, 2550–2560. [Google Scholar] [CrossRef]
- Ferrara, A.; Incremona, G.P. Predefined-time output stabilization with second order sliding mode generation. IEEE Trans. Autom. Control. 2021, 3, 1445–1451. [Google Scholar] [CrossRef]
- Li, K.; Hua, C.C.; Ahn, X.Y.C.K. Output feedback predefined-time bipartite consensus control for high-order nonlinear multiagent systems. IEEE Trans. Circuits Syst. I 2021, 7, 3069–3078. [Google Scholar] [CrossRef]
- Ni, J.K.; Shi, P. Global Predefined Time and Accuracy Adaptive Neural Network Control for Uncertain Strict-Feedback Systems with Output Constraint and Dead Zone. IEEE Trans. Syst. Man Cybern. Syst. 2021, 12, 7903–7918. [Google Scholar] [CrossRef]
- Muñoz-Vázquez, A.J.; Fernández-Anaya, G.; Sánchez-Torres, J.D.; Meléndez-Vázquez, F. Predefined-time control of distributed-order systems. Nonlin. Dyn. 2021, 2, 2689–2700. [Google Scholar]
- Liu, D.C.; Liu, Z.; Chen, C.L.P.; Zhang, Y. Distributed adaptive fuzzy control approach for prescribed-time containment of uncertain nonlinear multi-agent systems with unknown hysteresis. Nonlin. Dyn. 2021, 6, 257–285. [Google Scholar] [CrossRef]
- Zhang, J.X.; Yang, G.H. Low-complexity tracking control of strictfeedback systems with unknown control directions. IEEE Trans. Autom. Control 2019, 4, 5175–5182. [Google Scholar] [CrossRef]
- Mazhar, N.; Malik, F.M.; Raza, A.; Khan, R. Predefined-time control of nonlinear systems: A sigmoid function based sliding manifold design approach. Alexandria Eng. J. 2022, 9, 6831–6841. [Google Scholar] [CrossRef]
- Liu, B.J.; Hou, M.S.; Wu, C.H.; Wang, W.C.; Wu, Z.H.; Huang, B. Predefined-time backstepping control for a nonlinear strict-feedback system. Int. J. Robust Nonlinear Control 2021, 5, 3354–3372. [Google Scholar] [CrossRef]
- Liu, L.; Wang, D.; Peng, Z.; Li, T.; Chen, C.L.P. Cooperative path following ring-networked under-actuated autonomous surface vehicles: Algorithms and experimental results. IEEE Trans. Cybern. 2020, 4, 1519–1529. [Google Scholar] [CrossRef] [PubMed]
- Li, W.Q.; Krstic, M. Prescribed-time output-feedback control of stochastic nonlinear systems. IEEE Trans. Autom. Control 2023, 3, 1431–1446. [Google Scholar] [CrossRef]
- Zhang, Y.; Chadli, M.; Xiang, Z. Predefined-Time Adaptive Fuzzy Control for a Class of Nonlinear Systems with Output Hysteresis. IEEE Trans. Fuzzy Syst. 2023, 8, 2522–2531. [Google Scholar] [CrossRef]
- Wang, F.; Lai, G.Y. Fixed-time control design for nonlinear uncertain systems via adaptive method. Syst. Control Lett. 2020, 6, 104704. [Google Scholar] [CrossRef]
- Hardy, G.H.; Littlewood, J.E.; Polya, G. Inequalities; Cambridge University Press: Cambridge, UK, 1952. [Google Scholar]
- Qian, C.; Lin, W. Non-Lipschitz continuous stabilizers for nonlinear systems with uncontrollable unstable linearization. Syst. Control Lett. 2001, 3, 185–200. [Google Scholar] [CrossRef]
- Polycarpou, M.M.; Ioannou, A.P. A robust adaptive nonlinear control design. Automatica 1993, 6, 1365–1369. [Google Scholar]
- Dawson, D.M.; Carroll, J.J.; Schneider, M. Integrator backstepping control of a rush DC motor turning a robotic load. IEEE Trans. Control Syst. Technol. 1994, 9, 233–244. [Google Scholar] [CrossRef]








| Gravity coefficient | G = 9.8 N/kg |
| Rotor inertia | |
| Link mass | kg |
| Viscous friction coefficient at joint | |
| Armature resistance | |
| Armature inductance | L = 6 H |
| Radius of the load | |
| Load mass | |
| Link length | |
| Back-emf coefficient | |
| Coefficient of the armature current to torque conversion |
| Metric | Control Input u | Quantized Input |
|---|---|---|
| Mean value | 11.0639 | 10.9726 |
| Variance | 61,306.3621 | 61,306.3007 |
Disclaimer/Publisher’s Note: The statements, opinions and data contained in all publications are solely those of the individual author(s) and contributor(s) and not of MDPI and/or the editor(s). MDPI and/or the editor(s) disclaim responsibility for any injury to people or property resulting from any ideas, methods, instructions or products referred to in the content. |
© 2024 by the authors. Licensee MDPI, Basel, Switzerland. This article is an open access article distributed under the terms and conditions of the Creative Commons Attribution (CC BY) license (https://creativecommons.org/licenses/by/4.0/).
Share and Cite
Zhang, W.; Yu, B. Adaptive Predefined Time Control for Strict-Feedback Systems with Actuator Quantization. Actuators 2024, 13, 366. https://doi.org/10.3390/act13090366
Zhang W, Yu B. Adaptive Predefined Time Control for Strict-Feedback Systems with Actuator Quantization. Actuators. 2024; 13(9):366. https://doi.org/10.3390/act13090366
Chicago/Turabian StyleZhang, Wentong, and Bo Yu. 2024. "Adaptive Predefined Time Control for Strict-Feedback Systems with Actuator Quantization" Actuators 13, no. 9: 366. https://doi.org/10.3390/act13090366
APA StyleZhang, W., & Yu, B. (2024). Adaptive Predefined Time Control for Strict-Feedback Systems with Actuator Quantization. Actuators, 13(9), 366. https://doi.org/10.3390/act13090366

