Numerical Study on the Internal Flow Field Characteristics of a Novel High-Speed Switching Control Valve
Abstract
1. Introduction
2. Control Valve Structure and Principle
2.1. Control Valve Structure
2.2. Control Valve Characteristics
2.3. Calculation of Flow Area
3. Simulation Analysis of Flow Field of Laver Fluffiness Control Valve
3.1. Modeling and Meshing
3.2. Setting of Boundary Conditions and Related Parameters
4. Analysis of Results
4.1. Control Valve Flow Regulation Characteristics
4.1.1. Relative Volume Flow Rate and Flow Coefficient of the Control Valve
4.1.2. Experimental Validation
4.2. Head Loss of the Control Valve
4.3. Mechanical Characteristics of the Upper and Lower Chambers of the Control Valve
4.3.1. Force on Bottom Surface of the Upper Chamber
4.3.2. Stress on the Wall of the Lower Cavity
4.4. Flow Field Analysis
4.4.1. Pressure Cloud Diagram
4.4.2. Velocity Cloud Diagram
4.4.3. Flow Diagram
5. Conclusions
- (1)
- The proposed control valve consists of a static part, a moving part, and a locking support part. The lower grinding plate is fixed onto the valve body to maintain a static state, while the upper grinding plate of the dynamic valve body can rotate relative to the lower grinding plate due to the drive of the motor. As a result, the valve’s opening or closing action is achieved through the surface contact and dynamic friction between the upper and lower grinding plates. When the through-holes of the upper grinding plate and lower grinding plate overlap each other, the upper chamber of the valve communicates with the lower chamber, thus realizing the opening of the valve. When the through-holes of the upper grinding plate and lower grinding plate are completely staggered, the upper chamber of the valve is separated from the lower chamber, and the valve is closed.
- (2)
- When the opening is less than 40%, the flow-regulating characteristics approximately linearly increase with the increase in the opening. When the opening is greater than 40%, the growth rate of the flow decreases, and the flow regulation characteristic increases approximately in a parabolic fashion, indicating that with the increase in the opening, the influence of the flow area at the orifice outlet on the flow rate of the control valve is weakened.
- (3)
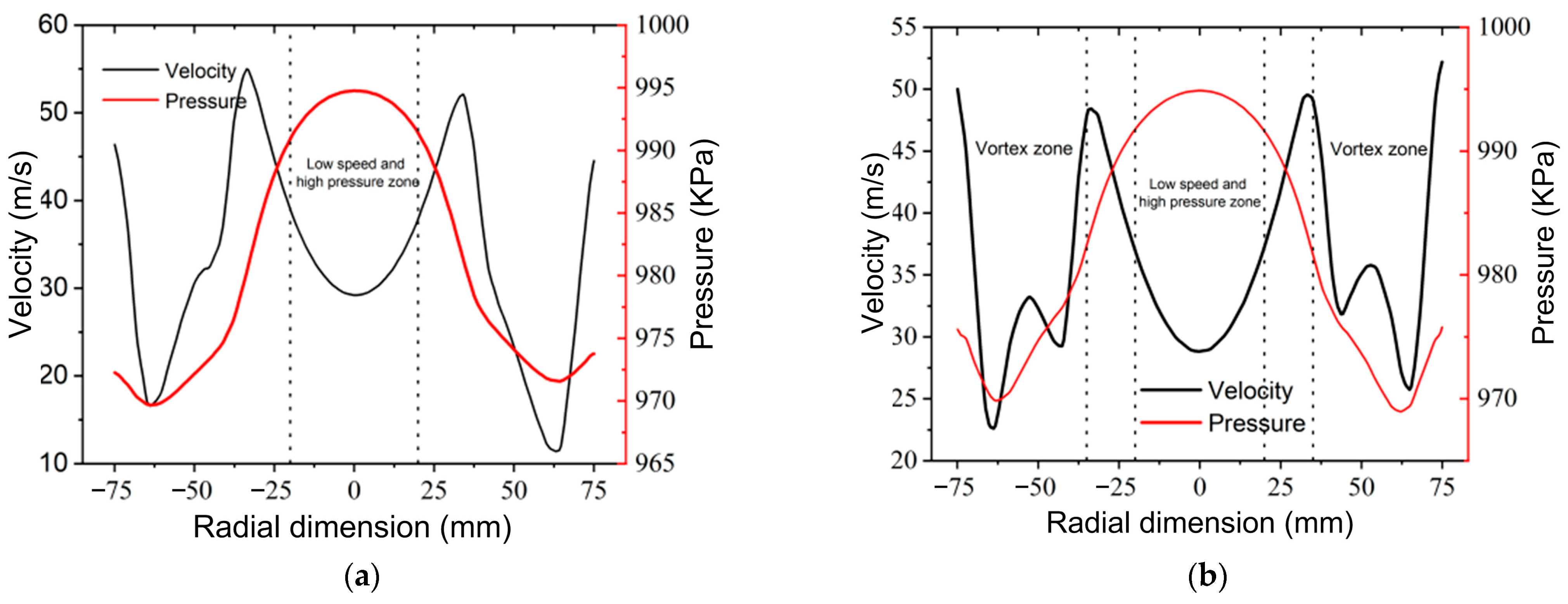
- When the opening is 5%, the fluid flows into the control valve and impacts the bottom surface of the upper chamber, and the velocity direction deflects, forming a vortex. The fluid at the orifice of the middle flow passage can easily form a jet, and a vortex is formed at the middle flow passage. The jet flow beam impacts the bottom surface of the lower cavity and flows along the annular flow passage because of the movement trend of the jet, and this is accompanied by the generation of vortices. The impact, collision, and vortex of the fluid cause the energy loss of the fluid.
- (4)
- With the increase in the opening, the vortices in the upper and lower cavities are intensified, and the vortices generated by the jets in the middle flow passage are weakened. As the pressure in the upper cavity decreases, the pressure in the lower cavity increases, and the jet phenomenon at the throttling mouth gradually disappears. The main stream beam in the lower cavity gradually changes from a circular flow to a direct flow toward the outlet.
Author Contributions
Funding
Data Availability Statement
Conflicts of Interest
References
- Gong, G.; Zhao, J.; Wang, C.; Wei, M.; Dang, T.; Deng, Y.; Sun, J.; Song, S.; Huang, L.; Wang, Z. Structural characterization and antioxidant activities of the degradation products from Porphyra haitanensis polysaccharides. Process Biochem. 2018, 74, 185–193. [Google Scholar] [CrossRef]
- Cao, J.; Wang, J.; Wang, S.; Xu, X. Porphyra Species: A Mini-Review of Its Pharmacological and Nutritional Properties. J. Med. Food. 2016, 19, 111–119. [Google Scholar] [CrossRef] [PubMed]
- Liu, Q.; Wang, Y.; Cao, M.; Pan, T.; Yang, Y.; Mao, H.; Sun, L.; Liu, G. Anti-allergic activity of R-phycocyanin from Porphyra haitanensis in antigen-sensitized mice and mast cells. Int. Immunopharmacol. 2015, 25, 465–473. [Google Scholar] [CrossRef] [PubMed]
- Tabrizi, A.S.; Asadi, M.; Xie, G.; Lorenzini, G.; Biserni, C. Computational fluid-dynamics-based analysis of a ball valve performance in the presence of cavitation. J. Eng. Thermophys. 2014, 23, 27–38. [Google Scholar] [CrossRef]
- Chern, M.; Wang, C.; Ma, C. Performance test and flow visualization of ball valve. Exp. Therm. Fluid. Sci. 2006, 31, 505–512. [Google Scholar] [CrossRef]
- Tao, J.; Lin, Z.; Ma, C.; Ye, J.; Zhu, Z.; Li, Y. An Experimental and Numerical Study of Regulating Performance and Flow Loss in a V-Port Ball Valve. J. Fluid. Eng. 2020, 142, 021207. [Google Scholar] [CrossRef]
- Campagne, R.E.; Nicodemus, R.; De Bruin, G.J.; Lohse, D. A Method for Pressure Calculation in Ball Valves Containing Bubbles. J. Fluid. Eng. 2002, 124, 765–771. [Google Scholar] [CrossRef]
- Sedghkerdar, A.; Erfaninia, A.; Nematollahi, M. 2D PIV study of flow accelerated corrosion downstream a typical industrial gate valve. Prog. Nucl. Energ. 2020, 121, 103260. [Google Scholar] [CrossRef]
- Duda, P.; Dwornicka, R. Optimization of heating and cooling operations of steam gate valve. Struct. Multidiscip. Optim. 2010, 40, 529–535. [Google Scholar] [CrossRef]
- Chen, D.; Wang, Y.; Liu, Q.; Lin, Z.; Zhu, Z.; Mao, W. Study on the eccentric jet-flow characteristics induced by the opening regulation with a gate valve. Proc. Inst. Mech. Eng. Part C J. Mech. Eng. Sci. 2021, 235, 5353–5364. [Google Scholar] [CrossRef]
- Smith, B.; Luloff, B.V. The Effect of Seat Geometry on Gate Valve Noise. J. Press. Vessel Technol. 2000, 122, 401–407. [Google Scholar] [CrossRef]
- Dong, D.; Li, X. Development of a Novel Parallel-spool Pilot Operated High-pressure Solenoid Valve with High Flow Rate and High Speed. Chin. J. Mech. Eng. 2015, 28, 369–378. [Google Scholar] [CrossRef]
- Khan, H.A.; Yun, S.; Jeong, E.; Park, J.; Choi, B. A novel design and performance evaluation technique for a spool-actuated pressure-reducing valve. Actuators 2021, 10, 232. [Google Scholar] [CrossRef]
- Hucko, S.; Krampe, H.; Schmitz, K. Evaluation of a soft sensor concept for indirect flow rate estimation in solenoid-operated spool valves. Actuators 2023, 12, 148. [Google Scholar] [CrossRef]
- Albaina, I.; Esteban, G.A.; Bidaguren, I.; Izquierdo, U. New switching gate diverter valve for large flow measurement systems. Flow Meas. Instrum. 2023, 93, 102425. [Google Scholar] [CrossRef]
- Wang, Y.; Ji, H.; Song, Y.; Wang, Q.; Xie, Y.; Huo, Z. A Porphyra Rolling Device, Automatic Rolling Device, and Porphyra Roll Processing Equipment. Patent China CN112617143A, 28 February 2023. [Google Scholar]
- Wang, Y.; Song, Y.; Wang, Q.; Ji, H.; Xie, Y. An Automatic Drying Device for Porphyra haitanensis and Its Usage Method. Patent China CN111838714A, 8 July 2022. [Google Scholar]
- Nikzad, A.; Iranshahi, D.; Ranjbaran, M. Comparative evaluation of spherical radial flow reactor, spherical axial flow reactor, and tubular reactor in ammonia production by using CFD simulation. Fuel 2023, 350, 128772. [Google Scholar] [CrossRef]
- Loubimov, G.; Kinzel, M. Onto Quantifying Unsteady Propulsion Characteristics Using Momentum and Energy Control Volume Assessments. J. Fluid. Eng. 2023, 145, 061103. [Google Scholar] [CrossRef]
- Han, J.; Xie, Y.; Wang, Y.; Wang, Q. Dynamic Simulation of a Warship Control Valve Based on a Mechanical-Electric-Fluid Cosimulation Model. Sci. Technol. Nucl. Install. 2021, 2021, 6683871. [Google Scholar] [CrossRef]
- Lv, K.; Xie, Y.D.; Wang, Y.; Sun, G. Performance investigations of a control valve with the function of energy harvesting. Energy 2021, 214, 119001. [Google Scholar] [CrossRef]
- Zhang, X.; Xie, Y.; Han, J.; Wang, Y. Design of control valve with low energy consumption based on Isight platform. Energy 2022, 239, 122328. [Google Scholar] [CrossRef]
- Malavasi, S.; Rossi, M.M.A.; Ferrarese, G. GreenValve: Hydrodynamics and applications of the control valve for energy harvesting. Urban Water J. 2018, 15, 200–209. [Google Scholar] [CrossRef]
- Iravani, M.A.; Toghraie, D.A.T.I. Design a high-pressure test system to investigate the performance characteristics of ball valves in a compressible choked flow. Measurement 2020, 151, 107200. [Google Scholar] [CrossRef]
- Zhou, Q.; Liu, L.; Zheng, C.; Xu, Z.; Wang, X. Design of valve seating buffer for electromagnetic variable valve system. Actuators 2023, 12, 19. [Google Scholar] [CrossRef]























| Opening (%) | Rotation Angle (°) | Circulation Area (mm2) | 
|---|---|---|
| 0 | 34.92 | 0 | 
| 5 | 29.5 | 141.37 | 
| 10 | 23.91 | 282.74 | 
| 15 | 17.95 | 424.12 | 
| 20 | 11.13 | 565.49 | 
| 40 | 9.15 | 1130.97 | 
| 60 | 6.96 | 1696.46 | 
| 80 | 4.36 | 2261.95 | 
| 100 | 0 | 2827.43 | 
| Opening (%) | Volume Flow (m3/s) | Relative Volume Flow Rate (%) | Flow Coefficient | 
|---|---|---|---|
| 0 | 0 | 0 | 0 | 
| 5 | 0.0133 | 7.26 | 166.44 | 
| 10 | 0.0271 | 14.82 | 339.13 | 
| 15 | 0.0403 | 21.99 | 504.31 | 
| 20 | 0.0548 | 29.94 | 685.76 | 
| 40 | 0.1148 | 62.70 | 1436.60 | 
| 60 | 0.1537 | 83.93 | 1923.40 | 
| 80 | 0.1765 | 96.38 | 2208.71 | 
| 100 | 0.1831 | 100 | 2291.31 | 
| Opening (%) | Valve Inlet Pressure (MPa) | Valve Outlet Pressure (MPa) | Volume Flow (m3/s) | Relative Volume Flow Rate (%) | 
|---|---|---|---|---|
| 10 | 1.00 | 0.15 | 0.018 | 17.6 | 
| 30 | 1.00 | 0.42 | 0.038 | 37.3 | 
| 45 | 1.00 | 0.65 | 0.068 | 66.7 | 
| 60 | 1.00 | 0.84 | 0.087 | 85.3 | 
| 90 | 1.00 | 0.98 | 0.099 | 97.1 | 
| 100 | 1.00 | 1.00 | 0.102 | 100.0 | 
| Opening (%) | Valve Inlet Pressure (MPa) | Valve Outlet Pressure (MPa) | Volume Flow (m3/s) | Relative Volume Flow Rate (%) | 
|---|---|---|---|---|
| 10 | 0.80 | 0.12 | 0.014 | 17.8 | 
| 30 | 0.80 | 0.34 | 0.030 | 37.5 | 
| 45 | 0.80 | 0.52 | 0.054 | 67.2 | 
| 60 | 0.80 | 0.67 | 0.070 | 85.9 | 
| 90 | 0.80 | 0.79 | 0.079 | 97.8 | 
| 100 | 0.80 | 0.80 | 0.081 | 100.0 | 
| Opening (%) | Valve Inlet Pressure (MPa) | Valve Outlet Pressure (MPa) | Volume Flow (m3/s) | Relative Volume Flow Rate (%) | 
|---|---|---|---|---|
| 10 | 0.50 | 0.08 | 0.009 | 18.0 | 
| 30 | 0.50 | 0.20 | 0.019 | 38.0 | 
| 45 | 0.50 | 0.33 | 0.034 | 68.0 | 
| 60 | 0.50 | 0.42 | 0.044 | 87.0 | 
| 90 | 0.50 | 0.49 | 0.050 | 99.0 | 
| 100 | 0.50 | 0.50 | 0.050 | 100.0 | 
| Disclaimer/Publisher’s Note: The statements, opinions and data contained in all publications are solely those of the individual author(s) and contributor(s) and not of MDPI and/or the editor(s). MDPI and/or the editor(s) disclaim responsibility for any injury to people or property resulting from any ideas, methods, instructions or products referred to in the content. | 
© 2024 by the authors. Licensee MDPI, Basel, Switzerland. This article is an open access article distributed under the terms and conditions of the Creative Commons Attribution (CC BY) license (https://creativecommons.org/licenses/by/4.0/).
Share and Cite
Ji, H.; Han, J.; Wang, Y.; Wang, Q.; Yang, S.; Xie, Y.; Song, Y.; Wang, H. Numerical Study on the Internal Flow Field Characteristics of a Novel High-Speed Switching Control Valve. Actuators 2024, 13, 213. https://doi.org/10.3390/act13060213
Ji H, Han J, Wang Y, Wang Q, Yang S, Xie Y, Song Y, Wang H. Numerical Study on the Internal Flow Field Characteristics of a Novel High-Speed Switching Control Valve. Actuators. 2024; 13(6):213. https://doi.org/10.3390/act13060213
Chicago/Turabian StyleJi, Hexi, Jiazhen Han, Yong Wang, Qixian Wang, Sen Yang, Yudong Xie, Yilong Song, and Haibo Wang. 2024. "Numerical Study on the Internal Flow Field Characteristics of a Novel High-Speed Switching Control Valve" Actuators 13, no. 6: 213. https://doi.org/10.3390/act13060213
APA StyleJi, H., Han, J., Wang, Y., Wang, Q., Yang, S., Xie, Y., Song, Y., & Wang, H. (2024). Numerical Study on the Internal Flow Field Characteristics of a Novel High-Speed Switching Control Valve. Actuators, 13(6), 213. https://doi.org/10.3390/act13060213
 
        

 
       