Predefined Time and Accuracy Adaptive Fault-Tolerant Control for Nonlinear Systems with Multiple Faults
Abstract
1. Introduction
2. Problem Formulations and Preliminaries
2.1. Problem Formulation
2.2. Fault Description and Processing
2.3. Predefined Time Theory
2.4. Fuzzy Logic Systems
3. Adaptive Fuzzy Controller Design
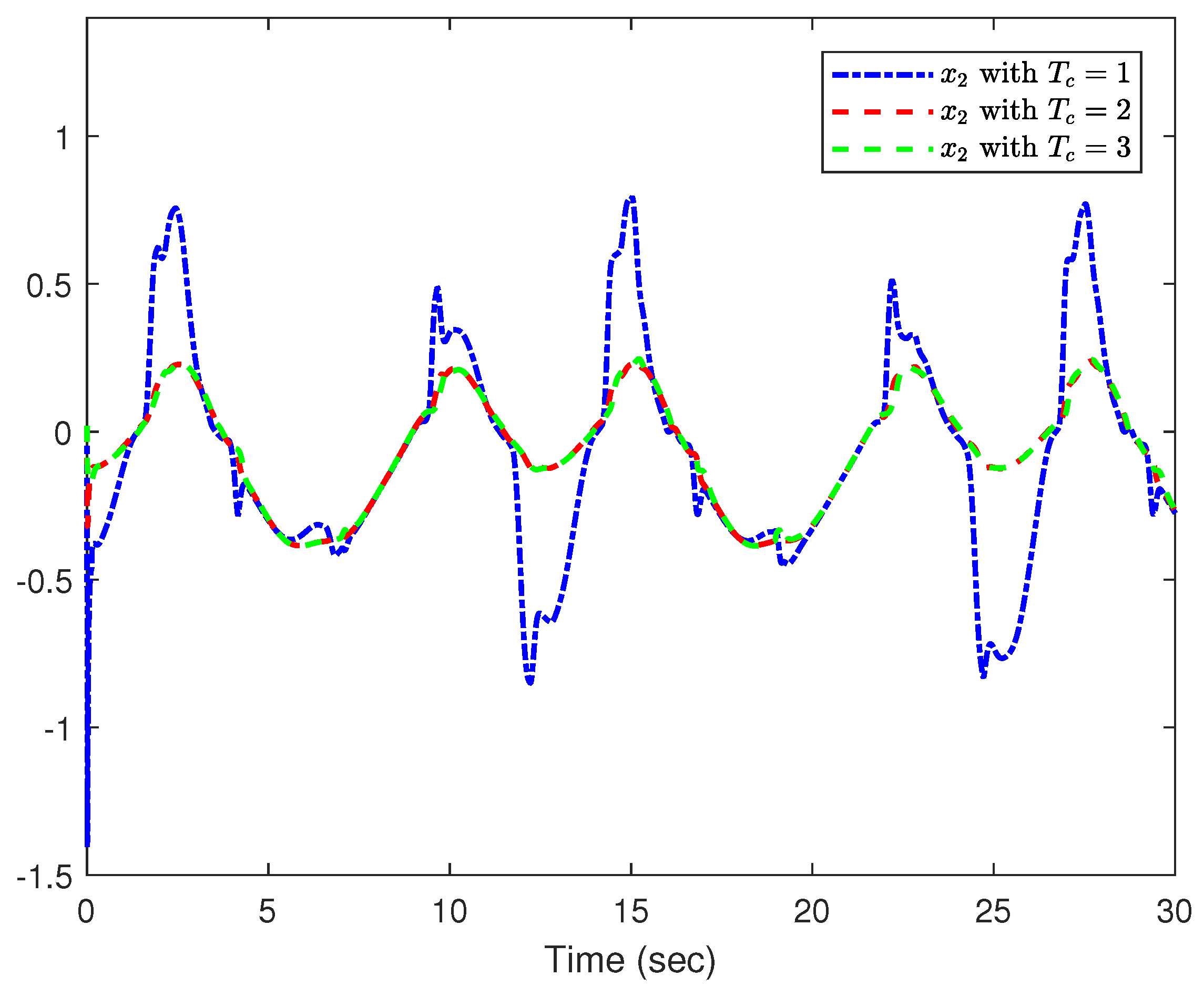
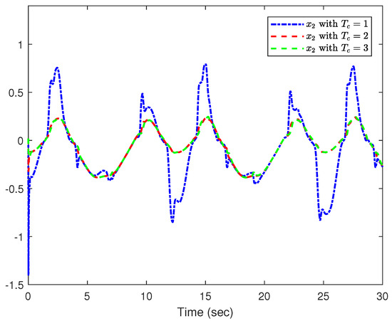
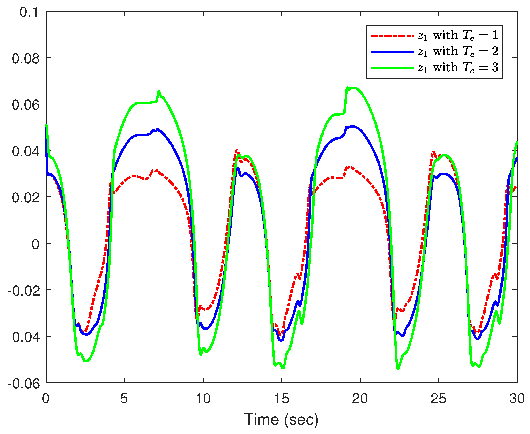
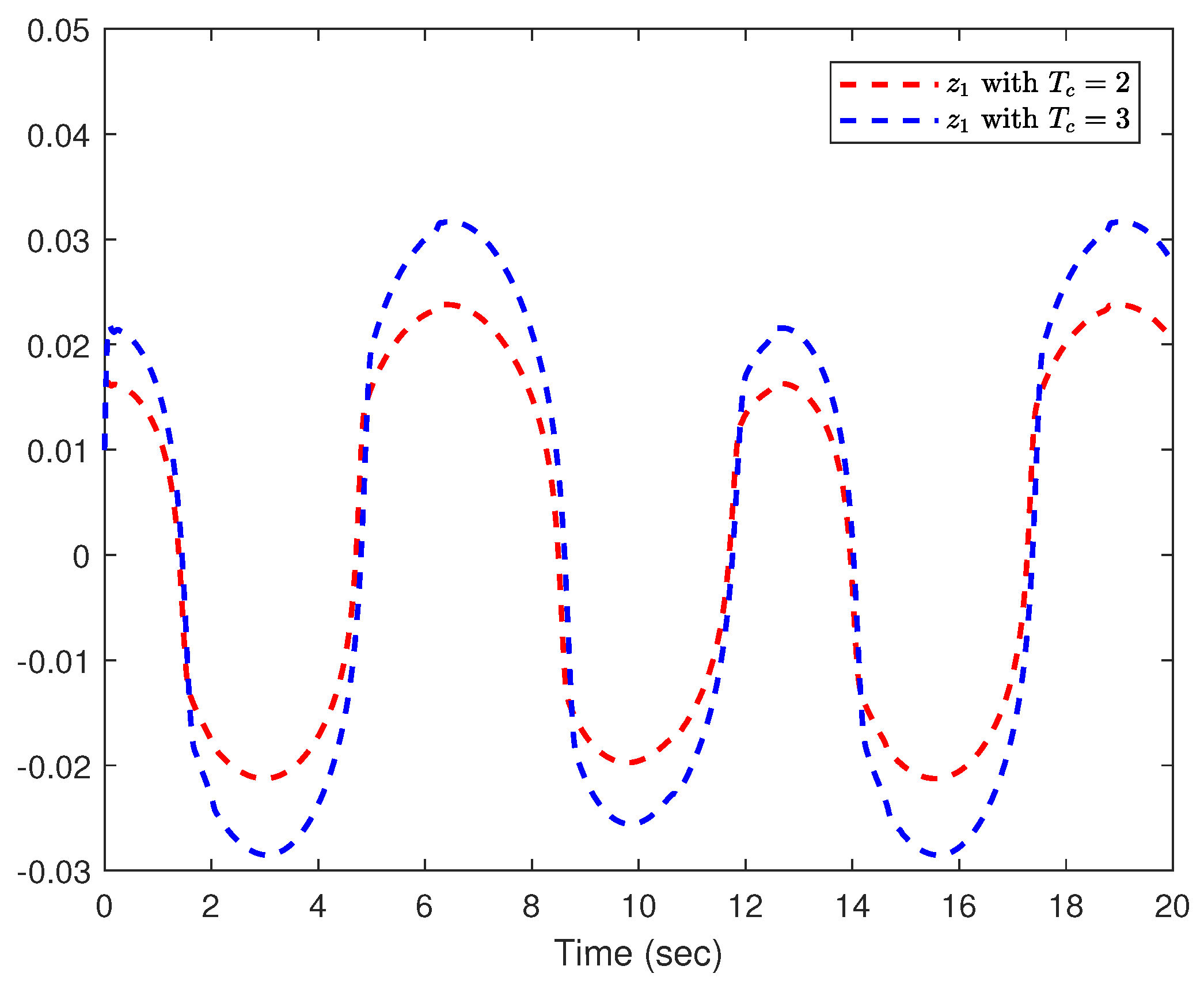
4. Simulation
5. Conclusions
Author Contributions
Funding
Data Availability Statement
Conflicts of Interest
References
- Ma, J.; Zheng, Z.; Li, P. Adaptive dynamic surface control of a class of nonlinear systems with unknown direction control gains and input saturation. IEEE Trans. Cybern. 2015, 45, 728–741. [Google Scholar] [CrossRef]
- Zhou, J.; Wen, C.; Wang, W.; Yang, F. Adaptive backstepping control of nonlinear uncertain systems with quantized states. IEEE Trans. Autom. Control 2019, 64, 4756–4763. [Google Scholar] [CrossRef]
- Tang, G.; Dong, R.; Gao, H. Optimal sliding mode control for nonlinear systems with time-delay. Nonlinear Anal. Hybrid Syst. 2008, 2, 891–899. [Google Scholar] [CrossRef]
- Xu, N.; Zhao, X.; Zong, G.; Wang, Y. Adaptive control design for uncertain switched nonstrict-feedback nonlinear systems to achieve asymptotic tracking performance. Appl. Math. Comput. 2021, 408, 126344. [Google Scholar] [CrossRef]
- Wang, C.; Wen, C.; Hu, Q. Event-triggered adaptive control for a class of nonlinear systems with unknown control direction and sensor faults. IEEE Trans. Autom. Control 2020, 65, 763–770. [Google Scholar] [CrossRef]
- Jiang, D.; Jiang, W.; Zhu, X.; Yin, X. Adaptive control for full-states constrained nonlinear systems with unknown control direction using barrier Lyapunov functionals. Trans. Inst. Meas. Control 2022, 44, 2967–2977. [Google Scholar] [CrossRef]
- Chen, B.; Lin, C.; Liu, X.; Liu, K. Adaptive fuzzy tracking control for a class of MIMO nonlinear systems in nonstrict-feedback form. IEEE Trans. Cybern. 2015, 45, 2744–2755. [Google Scholar] [CrossRef]
- Ma, J.; Xu, S.; Zhuang, G.; Wei, Y.; Zhang, Z. Adaptive neural network tracking control for uncertain nonlinear systems with input delay and saturation. Int. J. Robust Nonlinear Control 2020, 30, 2593–2610. [Google Scholar] [CrossRef]
- Sun, W.; Su, S.; Wu, Y. Novel adaptive fuzzy control for output constrained stochastic nonstrict feedback nonlinear systems. IEEE Trans. Fuzzy Syst. 2020, 29, 1188–1197. [Google Scholar] [CrossRef]
- He, Y.; Chang, X.; Wang, H. Command-filtered adaptive fuzzy control for switched MIMO nonlinear systems with unknown dead zones and full state constraints. Int. J. Fuzzy Syst. 2023, 25, 544–560. [Google Scholar] [CrossRef]
- Yu, T.; Liu, Y.; Liu, L. Adaptive fuzzy control of nonlinear systems with function constraints based on time-varying IBLFs. IEEE Trans. Fuzzy Syst. 2022, 30, 4939–4952. [Google Scholar] [CrossRef]
- Li, M.; Xiang, Z. Adaptive neural network tracking control for a class of switched nonlinear systems with input delay. Neurocomputing 2019, 366, 284–294. [Google Scholar] [CrossRef]
- Yang, D.; Zong, G.; Liu, Y.; Choon, K. Adaptive neural network output tracking control of uncertain switched nonlinear systems: An improved multiple Lyapunov function method. Inf. Sci. 2022, 606, 380–396. [Google Scholar] [CrossRef]
- Wang, H.; Chen, B.; Lin, C.; Sun, Y. Observer-based adaptive neural control for a class of nonlinear pure-feedback systems. Neurocomputing 2016, 171, 1517–1523. [Google Scholar] [CrossRef]
- Liu, J.; Jiang, Y. Adaptive fuzzy control for high-order nonlinear systems with time-varying full-state constraints and input saturation. Int. J. Adapt. Control Signal Process. 2023, 37, 710–725. [Google Scholar] [CrossRef]
- Zhang, J.; Yang, G. Robust adaptive fault-tolerant control for a class of unknown nonlinear systems. IEEE Trans. Ind. Electron. 2017, 64, 585–594. [Google Scholar] [CrossRef]
- Zhang, H.; Cui, Y.; Wang, Y. Hybrid fuzzy adaptive fault-tolerant control for a class of uncertain nonlinear systems with unmeasured states. IEEE Trans. Fuzzy Sys. 2017, 25, 1041–1050. [Google Scholar] [CrossRef]
- Wang, J.; Pan, H.; Sun, W. Event-triggered adaptive fault-tolerant control for unknown nonlinear systems with applications to linear motor. IEEE/ASME Trans. Mech. 2022, 27, 940–949. [Google Scholar] [CrossRef]
- Zhang, S.; Huang, C.; Ji, K. Prescribed performance incremental adaptive optimal fault-tolerant control for nonlinear systems with actuator faults. ISA Trans. 2022, 120, 99–109. [Google Scholar] [CrossRef]
- Li, Y.; Yang, G. Adaptive asymptotic tracking control of uncertain nonlinear systems with input quantization and actuator faults. Automatica 2016, 72, 177–185. [Google Scholar] [CrossRef]
- Wang, Y.; Xu, N.; Liu, Y. Adaptive fault-tolerant control for switched nonlinear systems based on command filter technique. Appl. Math. Comput. 2021, 392, 125725. [Google Scholar] [CrossRef]
- Zhang, Z.; Wen, C.; Xing, L.; Song, Y. Event-triggered adaptive control for a class of nonlinear systems with mismatched uncertainties via intermittent and faulty output feedback. IEEE Trans. Autom. Control 2023, 68, 8142–8149. [Google Scholar] [CrossRef]
- Jia, F.; He, X. Adaptive fault-tolerant tracking control for discrete-time nonstrict-feedback nonlinear systems with stochastic noises. IEEE Trans. Autom. Sci. Eng. 2023, 1–13. [Google Scholar] [CrossRef]
- Zeng, X.; Shen, Q. Adaptive fault-tolerant control for high-order nonlinear systems with supervisory controllers and command filters. Int. J. Control Autom. Syst. 2023, 21, 12–19. [Google Scholar] [CrossRef]
- Yin, S.; Gao, H.; Qiu, J.; Kaynak, O. Adaptive fault-tolerant control for nonlinear system with unknown control directions based on fuzzy approximation. IEEE Trans. Syst. Man Cybern. Syst. 2017, 47, 1909–1918. [Google Scholar] [CrossRef]
- Qi, H.; Chen, M.; Wu, L. Adaptive fault-tolerant control of nonlinear systems based on tuning functions. Int. J. Robust Nonlinear Control 2023, 33, 6715–6733. [Google Scholar] [CrossRef]
- Milecki, A.; Nowak., P. Review of fault-tolerant control systems used in robotic manipulators. Appl. Sci. 2023, 13, 2675. [Google Scholar] [CrossRef]
- Ali, K.; Mehmood., A.; Iqbal., J. Fault-tolerant scheme for robotic manipulator-Nonlinear robust back-stepping control with friction compensation. PLoS ONE 2021, 16, e0256491. [Google Scholar] [CrossRef]
- Zhai, D.; An, L.; Li, X.; Zhang, Q. Adaptive fault-tolerant control for nonlinear systems with multiple sensor faults and unknown control directions. IEEE Trans. Neural Netw. Learn. Syst. 2018, 29, 4436–4446. [Google Scholar] [CrossRef]
- Lin, W.; Lin, C.; Sun, Z. Adaptive multiple fault detection and alarm processing for loop system with probabilistic network. IEEE Trans. Power Deliv. 2004, 19, 64–69. [Google Scholar] [CrossRef]
- Jiang, X.; Mu, X.; Hu, Z. Decentralized adaptive fuzzy tracking control for a class of nonlinear uncertain interconnected systems with multiple faults and denial-of-service attack. IEEE Trans. Fuzzy Syst. 2021, 29, 3130–3141. [Google Scholar] [CrossRef]
- Lin, Y.; Lu, F.; Cheng, K. Multiple-fault diagnosis based on adaptive diagnostic test pattern generation. IEEE Trans. Comput.-Aided Des. Integr. Circuits Syst. 2007, 26, 932–942. [Google Scholar] [CrossRef]
- Li, N.; Han, Y.; He, W.; Zhu, S. A novel network-based controller design for a class of stochastic nonlinear systems with multiple faults and full state constraints. Int. J. Control 2023, 97, 651–661. [Google Scholar] [CrossRef]
- Sun, Y.; Chen, B.; Lin, C.; Wang, H. Finite-time adaptive control for a class of nonlinear systems with nonstrict feedback structure. IEEE Trans. Cybern. 2018, 48, 2774–2782. [Google Scholar] [CrossRef] [PubMed]
- Sui, S.; Chen, L.; Tong, S. Neural network filtering control design for nontriangular structure switched nonlinear systems in finite time. IEEE Trans. Neural Netw. Learn. Syst. 2019, 30, 2153–2162. [Google Scholar] [CrossRef] [PubMed]
- Sui, S.; Chen, L.; Tong, S. Finite-time adaptive fuzzy prescribed performance control for high-order stochastic nonlinear systems. IEEE Trans. Fuzzy Syst. 2021, 30, 2227–2240. [Google Scholar] [CrossRef]
- Wu, Y.; Pan, Y.; Chen, M.; Li, H. Quantized adaptive finite-time bipartite NN tracking control for stochastic multiagent systems. IEEE Trans. Cybern. 2021, 51, 2870–2881. [Google Scholar] [CrossRef] [PubMed]
- Sui, S.; Chen, L.; Tong, S. Fuzzy adaptive finite-time control design for nontriangular stochastic nonlinear systems. IEEE Trans. Fuzzy Syst. 2019, 27, 172–184. [Google Scholar] [CrossRef]
- Wang, H.; Bai, W.; Liu, X. Finite-time adaptive fault-tolerant control for nonlinear systems with multiple faults. IEEE/CAA J. Autom. Sin. 2019, 6, 1417–1427. [Google Scholar] [CrossRef]
- Polyakov, A. Nonlinear feedback design for fixed-time stabilization of linear control systems. IEEE Trans. Autom. Control 2011, 57, 2106–2110. [Google Scholar] [CrossRef]
- Sun, Y.; Zhang, L. Fixed-time adaptive fuzzy control for uncertain strict feedback switched systems. Inf. Sci. 2021, 546, 742–752. [Google Scholar] [CrossRef]
- Mei, Y.; Li, F.; Xia, R.; Park, J.; Shen, H. Fixed-time adaptive neural tracking control for nonstrict-feedback nonlinear systems with mismatched disturbances using an event-triggered scheme. Nonlinear Dyn. 2023, 111, 5383–5400. [Google Scholar] [CrossRef]
- Lu, K.; Liu, Z.; Wang, Y.; Chen, L. Fixed-time adaptive fuzzy control for uncertain nonlinear systems. IEEE Trans. Fuzzy Syst. 2021, 29, 3769–3781. [Google Scholar] [CrossRef]
- Fang, X.; Fan, H.; Liu, L. Adaptive fixed-time fault-tolerant control of saturated MIMO nonlinear systems with time-varying state constrains. Nonlinear Dyn. 2022, 110, 3463–3483. [Google Scholar] [CrossRef]
- Cui, D.; Xiang, Z. Nonsingular fixed-time fault-tolerant fuzzy control for switched uncertain nonlinear systems. IEEE Trans. Fuzzy Syst. 2022, 31, 174–183. [Google Scholar] [CrossRef]
- Zhang, X.; Tan, J.; Wu, J. Event-triggered-based fixed-time adaptive neural fault-tolerant control for stochastic nonlinear systems under actuator and sensor faults. Nonlinear Dyn. 2022, 108, 2279–2296. [Google Scholar] [CrossRef]
- Sanchez-Torres, J.; Sanche, E.; Loukianov, A. Predefined-time stability of dynamical systems with sliding modes. In Proceedings of the 2015 American Control Conference (ACC), Chicago, IL, USA, 1–3 July 2015. [Google Scholar] [CrossRef]
- Wang, H.; Tong, M.; Zhao, X.; Niu, B.; Yang, M. Predefined-time adaptive neural tracking control of switched nonlinear systems. IEEE Trans. Cybern. 2022, 53, 6538–6548. [Google Scholar] [CrossRef] [PubMed]
- Fu, L.; Ma, R.; Pang, H.; Fu, J. Predefined-time tracking of nonlinear strict-feedback systems with time-varying output constraints. J. Frankl. Inst. 2022, 359, 3492–3516. [Google Scholar] [CrossRef]
- Jimenez-Rodriguez, E.; Munoz-Vazquez, A.; Sanchez-Torres, J.; Defoort, M.; Loukianov, A. A Lyapunov-like characterization of predefined-time stability. Trans. Autom. Control 2020, 65, 4922–4927. [Google Scholar] [CrossRef]
- Jia, F.; Huang, J.; He, X. Predefined-time fault-tolerant control for a class of nonlinear systems with actuator faults and unknown mismatched disturbances. IEEE Trans. Autom. Sci. Eng. 2023, 1–15. [Google Scholar] [CrossRef]
- Wang, Q.; Cao, J.; Liu, H. Adaptive fuzzy fontrol of nonlinear systems with predefined time and accuracy. IEEE Trans. Fuzzy Syst. 2022, 30, 5152–5165. [Google Scholar] [CrossRef]
- Ni, J.; Shi, P. Global predefined time and accuracy adaptive neural network control for uncertain strict-feedback systems with output constraint and dead zone. IEEE Trans. Syst. Man Cybern. Syst. 2021, 51, 7903–7918. [Google Scholar] [CrossRef]
- Li, P.; Yang, G. Backstepping adaptive fuzzy control of uncertain nonlinear systems against actuator faults. J. Control Theory Appl. 2009, 7, 248–256. [Google Scholar] [CrossRef]
- Tang, X.; Tao, G.; Joshi, S. Adaptive actuator failure compensation for nonlinear MIMO systems with an aircraft control application. Automatica 2007, 43, 1869–1883. [Google Scholar] [CrossRef]
- Fekih, A. Fault-tolerant flight control design for effective and reliable aircraft systems. J. Control Decis. 2014, 1, 299–316. [Google Scholar] [CrossRef]
- Li, Y.; He, J.; Zhang, Q.; Zhang, W.; Li, Y. Predefined-time fault-tolerant trajectory tracking control for autonomous underwater vehicles considering actuator saturation. Actuators 2023, 12, 171. [Google Scholar] [CrossRef]
- Jimenez-Rodriguez, E.; Snchez-Torres, J.; Loukianov, A. On optimal predefined-time stabilization. Int. J. Robust Nonlinear 2017, 27, 3620–3642. [Google Scholar] [CrossRef]
- Jimenez-Rodriguez, E.; Munoz-Vazquez, A.; Sanchez-Torres, J.; Alexander, G. Loukianov: A note on predefined-time stability. IFAC-PapersOnLine 2018, 51, 520–525. [Google Scholar] [CrossRef]
- Jimenez-Rodriguez, E.; Sanchez-Torres, J.; Gomez-Gutierrez, D.; Alexander, G. Loukinanov. Variable structure predefined-time stabilization of second-order systems. Asian J. Control 2019, 21, 1179–1188. [Google Scholar] [CrossRef]
- Wang, L. Adaptive Fuzzy Systems and Control: Design and Stability Analysis; Prentice-Hall: Englewood Cliffs, NJ, USA, 1994. [Google Scholar]
- Gang, T.; Kokotovic, P. Adaptive control of plants with unknown dead-zones. IEEE Trans. Autom. Control 1994, 39, 59–68. [Google Scholar] [CrossRef]
- Cao, J.; Li, R. Fixed-time synchronization of delayed memristor-based recurrent neural networks. Sci. China Inform. Sci. 2017, 60, 032201. [Google Scholar] [CrossRef]
- Wang, C.; Lin, Y. Decentralized adaptive tracking control for a class of interconnected nonlinear time-varying systems. Automatica 2015, 54, 16–24. [Google Scholar] [CrossRef]
- Qian, C.; Lin, W. Non-Lipschitz continuous stabilizers for nonlinear systems with uncontrollable unstable linearization. Syst. Control Lett. 2001, 42, 185–200. [Google Scholar] [CrossRef]
- Sun, Y.; Wang, F.; Liu, Z.; Zhang, Y.; Chen, C. Fixed-time fuzzy control for a class of nonlinear systems. IEEE Trans. Cybern. 2020, 52, 3880–3887. [Google Scholar] [CrossRef]













| Parameters | Value | Parameters | Value |
|---|---|---|---|
| 0.05 | 0.02 | ||
| n | 2 | p | 0.1 |
| 1 | 1 | ||
| r | 0.35 | 1 | |
| 3 | 0.3 | ||
| 0.3 | 5 | ||
| 5 | a | 5 | |
| 5 | 1.5 | ||
| 1.5 | 0.1 |
| Parameters | Value | Parameters | Value |
|---|---|---|---|
| 0.01 | 0.02 | ||
| 0.01 | n | 3 | |
| p | 10 | 1 | |
| 2 | r | 0.1 | |
| 1 | 1 | ||
| 0.1 | 0.1 | ||
| 1 | 1 | ||
| 1 | a | 1.5 | |
| 5 | 10 | ||
| 10 | 10 | ||
| 0.15 |
Disclaimer/Publisher’s Note: The statements, opinions and data contained in all publications are solely those of the individual author(s) and contributor(s) and not of MDPI and/or the editor(s). MDPI and/or the editor(s) disclaim responsibility for any injury to people or property resulting from any ideas, methods, instructions or products referred to in the content. |
© 2024 by the authors. Licensee MDPI, Basel, Switzerland. This article is an open access article distributed under the terms and conditions of the Creative Commons Attribution (CC BY) license (https://creativecommons.org/licenses/by/4.0/).
Share and Cite
Su, Y.; Jiang, Y.; Tong, M.; Wang, H. Predefined Time and Accuracy Adaptive Fault-Tolerant Control for Nonlinear Systems with Multiple Faults. Actuators 2024, 13, 131. https://doi.org/10.3390/act13040131
Su Y, Jiang Y, Tong M, Wang H. Predefined Time and Accuracy Adaptive Fault-Tolerant Control for Nonlinear Systems with Multiple Faults. Actuators. 2024; 13(4):131. https://doi.org/10.3390/act13040131
Chicago/Turabian StyleSu, Yakun, Yaling Jiang, Miao Tong, and Huanqing Wang. 2024. "Predefined Time and Accuracy Adaptive Fault-Tolerant Control for Nonlinear Systems with Multiple Faults" Actuators 13, no. 4: 131. https://doi.org/10.3390/act13040131
APA StyleSu, Y., Jiang, Y., Tong, M., & Wang, H. (2024). Predefined Time and Accuracy Adaptive Fault-Tolerant Control for Nonlinear Systems with Multiple Faults. Actuators, 13(4), 131. https://doi.org/10.3390/act13040131
