Robotic Hummingbird Axial Dynamics and Control near Hovering: A Simulation Model
Abstract
1. Introduction
1.1. The Project COLIBRI
1.2. Attitude Reconstruction
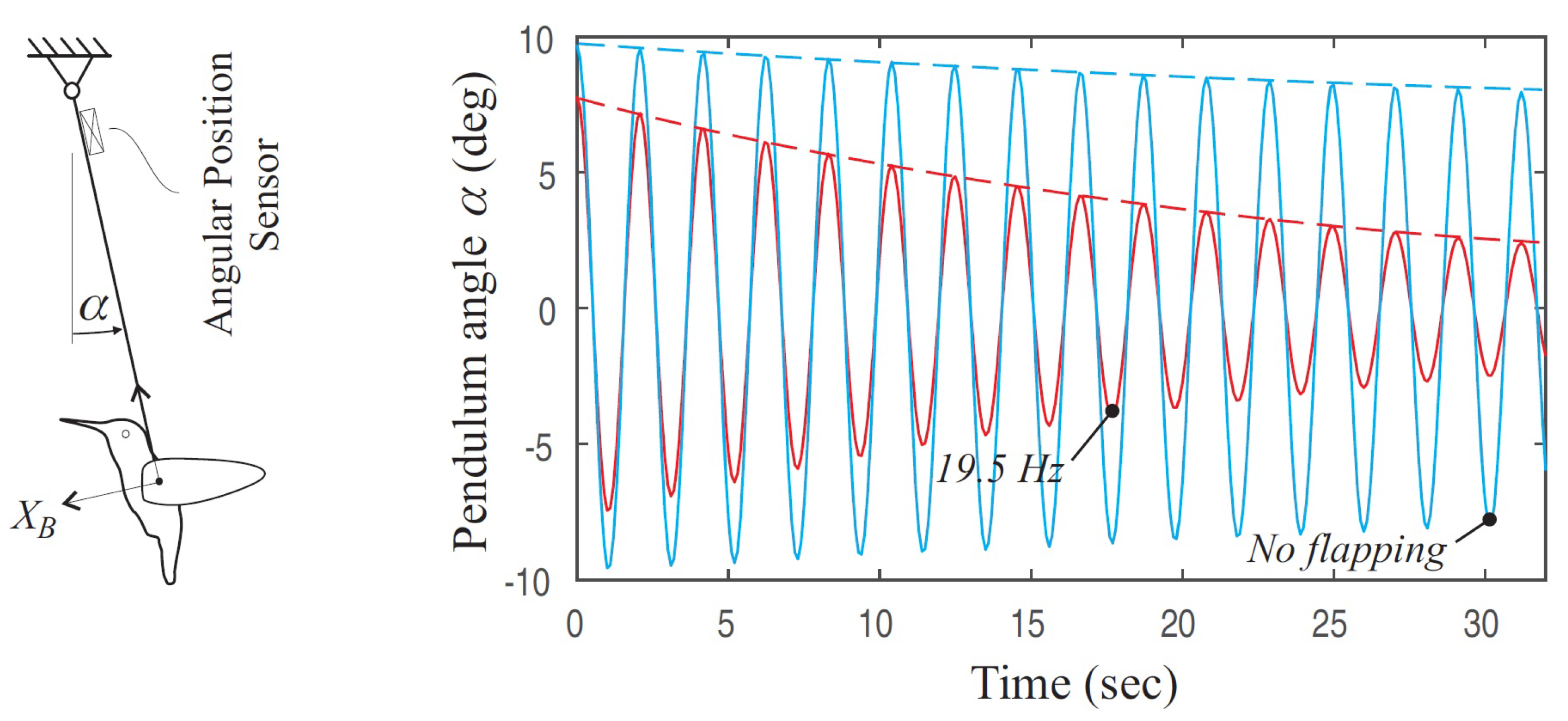
2. Flight Dynamics
2.1. Cycle-Averaged Longitudinal Dynamics
2.2. Cycle-Averaged Control Torques
3. Stabilization
4. Complementary Filter
5. Full-State Dynamic Observer
5.1. Plant Noise and Sensor Noise
5.2. Kalman Filter
5.3. Hovering
6. Conclusions
Author Contributions
Funding
Institutional Review Board Statement
Informed Consent Statement
Data Availability Statement
Acknowledgments
Conflicts of Interest
Abbreviations
| ARM | Advanced RISC Machine |
| CF | Complementary Filter |
| DARPA | Defense Advanced Research Projects Agency |
| DMP | Digital Motion Processor |
| FFT | Fast Fourier Transform |
| GM | Gain Margin |
| HP | High-Pass Filter |
| IMU | Inertial Measurement Unit |
| KF | Kalman Filter |
| LP | Low-Pass Filter |
| MCU | Micro Controller Unit |
| MEMS | Micro Electromechanical System |
| PD | Proportional plus Derivative |
| PI | Proportional plus Integral |
| PM | Phase Margin |
| RMS | Root Mean Square |
| SI | International System Units |
| SISO | Single Input Single Output |
Appendix A. Flapping Disturbance
Appendix A.1. Lift
Appendix A.2. Pitch Torque
Appendix A.3. Drag
Appendix B. COLIBRI Parameters Used in the Dynamics Model
Appendix C. Flight Control Board
- (i)
- IMU-1: ICM-20948. 9-axis. Accelerometer Full Scale Range ±16 g. Gyro Full Scale Range ±2000 deg/s. Magnetometer Full Scale Range ±6900 μT.
- (ii)
- IMU-2: ICM-20649. 6-axis. Accelerometer Full Scale Range ±32 g. Gyro Full Scale Range ±4000 deg/s.
References
- Roshanbin, A. Design and Development of a Tailless Robotic Hummingbird. Ph.D. Thesis, Université Libre de Bruxelles, Dept Control Engineering and System Analysis, Brussels, Belgium, September 2019. [Google Scholar]
- Roshanbin, A.; Altartouri, H.; Karasek, M.; Preumont, A. COLIBRI: A Hovering Flapping Twin-Wing Robot. Int. J. Micro Air Veh. 2017, 9, 270–282. [Google Scholar] [CrossRef]
- Roshanbin, A.; Abad, F.; Preumont, A. Kinematic and Aerodynamic Enhancement of a Robotic Hummingbird. AIAA J. 2019, 57, 4599–4607. [Google Scholar] [CrossRef]
- Available online: https://www.youtube.com/watch?v=-5-o9tvbziE (accessed on 21 May 2023).
- Keennon, M.T.; Klingebiel, K.R.; Won, H.; Andriukov, A. Development of the nano hummingbird: A tailless flapping wing micro air vehicle. In Proceedings of the 50th AIAA Aerospace Sciences Meeting Including the New Horizons Forum and Aerospace Exposition, Nashville, TN, USA, 9–12 January 2012; pp. 1–24. [Google Scholar]
- Phan, H.V.; Park, H.C. Insect-inspired, tailless, hover-capable flapping-wing robots: Recent progress, challenges, and future directions. Prog. Aerosp. Sci. 2019, 111, 100573. [Google Scholar] [CrossRef]
- Phan, H.V.; Aurecianus, S.; Au, T.K.L.; Kang, T.; Park, H.C. Towards Long-Endurnce Flight of an Insect-Inspired, Tailess, Two-Winged, Flapping-Wing Flying Robot. IEEE Robot. Autom. Lett. 2020, 5, 5059–5066. [Google Scholar] [CrossRef]
- Xiao, S.; Hu, K.; Huang, B.; Deng, H.; Ding, X. A Review of Research on the Mechanical Desig of Hoverable Flapping Wing Micro-Air Vehicles. J. Bionic Eng. 2021, 18, 1235–1254. [Google Scholar] [CrossRef]
- Floreano, D.; Wood, R.J. Science, technoloy and the future of small autonomous drones. Nature 2015, 521, 460–466. [Google Scholar] [CrossRef] [PubMed]
- Preumont, A.; Wang, H.; Kang, S.; Wang, K.; Roshanbin, A. A Note on the Electromechanical Design of a Robotic Hummingbird. Actuators 2021, 10, 52. [Google Scholar] [CrossRef]
- Ellington, C.P. The novel aerodynamics of insect flight: Applications to micro-air vehicles. J. Exp. Biol. 1999, 202, 3439–3448. [Google Scholar] [CrossRef] [PubMed]
- Greenwalt, C.H. Hummingbirds; Dover: New York, NY, USA, 1990. [Google Scholar]
- Madgwick, S.O.H. An efficient orientation filter for inertial and inertial/magnetic sensor arrays. Rep.-Univ. Bristol 2010, 25, 113–118. [Google Scholar]
- Mahony, R.; Hamel, T.; Pflimlin, J.-M. Nonlinear Complementary Filter on the Special Orthogonal Group. IEEE Trans. Autom. Control 2008, 53, 1203–1218. [Google Scholar] [CrossRef]
- Euston, M.; Coote, P.; Mahony, R.; Kim, J.; Hamel, T. A Complementary Filter for Attitude Estimation of a Fixed-Wing UAV. In Proceedings of the 2008 IEEE/RSJ International Conference on Intelligent Robots and Systems, Nice, France, 22–26 September 2008. [Google Scholar]
- Sabatelli, S.; Galgani, M.; Fanucci, L.; Rocchi, A. A Double Stage Kalman Filter for Orientation Tracking with an Integrated Processor in 9-D IMU. IEEE Trans. Instrum. Meas. 2013, 62, 590–598. [Google Scholar] [CrossRef]
- Min, H.G.; Jeung, E.T. Complementary Filter Design for Angle Estimation Using MEMS Accelerometer and Gyroscope. Available online: https://www.academia.edu/6261055/Complementary_Filter_Design_for_Angle_Estimation_using_MEMS_Accelerometer_and_Gyroscope (accessed on 21 May 2023).
- Narkhede, P.; Poddar, S.; Walambe, R.; Ghinea, G.; Kotecha, K. Cascaded Complementary Filter Architecture for Sensor Fusion in Attitude Estimation. Sensors 2021, 21, 1937. [Google Scholar] [CrossRef] [PubMed]
- Gebre-Egziabher, D.; Hayward, R.C.; Powell, J.D. Design of Multi-sensor Attitude Determination Systems. IEEE Trans. Aerosp. Electron. Syst. 2004, 40, 627–649. [Google Scholar] [CrossRef]
- Lefferts, E.J.; Markley, L.; Shuster, M.D. Kalman filtering for spacecraft attitude estimation. In Proceedings of the AIAA Aerospace Sciences Meeting (AIAA-82-0070), Orlando, FL, USA, 11–14 January 1982. [Google Scholar]
- Yang, Y.; Zhou, Z. Attitude determination: With or without spacecraft dynamics. Adv. Aircr. Spacecr. Sci. 2017, 4, 335–351. [Google Scholar]
- Van Breugel, F.; Regan, W.; Lipson, H. From Insects to Machines. IEEE Robot. Autom. 2008, 15, 68–74. [Google Scholar] [CrossRef]
- Ristroph, L.; Ristroph, G.; Morozova, S.; Bergou, A.J.; Chang, S.; Guckenheimer, J.; Wang, Z.J.; Cohen, I. Active and passive stabilization of body pitch in insect flight. J. R. Soc. Interface 2013, 10, 20130237. [Google Scholar] [CrossRef] [PubMed]
- Teoh, Z.E.; Fuller, S.B.; Chirarattananon, P.; Pérez-Arancibia, N.O.; Greenberg, J.D.; Wood, R.J. A Hovering Flapping-Wing Microrobot with Altitutde Control and Passive Upright Stability. In Proceedings of the 2012 IEEE/RSJ International Conference on Intelligent Robots and Systems, Vilamoura, Portugal, 7–12 October 2012; pp. 3209–3216. [Google Scholar]
- Karásek, M.; Muijres, F.T.; De Wagter, C.; Remes, B.D.; De Croon, G.C. A tailess aerial robotic flapper reveals that flies use torque coupling in rapid banked turns. Science 2018, 361, 1089–1094. [Google Scholar] [CrossRef] [PubMed]
- Altartouri, H.; Roshanbin, A.; Andreolli, G.; Fazzi, L.; Karásek, M.; Lalami, M.; Preumont, A. Passive stability enhancement with sails of a hovering flapping twin-wing robot. Int. J. Micro Air Veh. 2019, 11, 1–9. [Google Scholar] [CrossRef]
- Dickinson, M.H.; Lehman, F.-O.; Sane, S.P. Wing rotation and the aerodynamic basis of insect flight. Science 1999, 284, 1954–1960. [Google Scholar] [CrossRef] [PubMed]



















| Parameter | Value | Unit |
| m | g | |
| K | mN·s/m | |
| 0.008 | mN·s·m | |
| 0.065 | mN·s·m | |
| 56,000 | g·mm2 | |
| 56,000 | g·mm2 | |
| 3800 | g·mm2 | |
| 0 | g·mm2 | |
| 0 | g·mm2 | |
| 0 | g·mm2 |
Disclaimer/Publisher’s Note: The statements, opinions and data contained in all publications are solely those of the individual author(s) and contributor(s) and not of MDPI and/or the editor(s). MDPI and/or the editor(s) disclaim responsibility for any injury to people or property resulting from any ideas, methods, instructions or products referred to in the content. |
© 2023 by the authors. Licensee MDPI, Basel, Switzerland. This article is an open access article distributed under the terms and conditions of the Creative Commons Attribution (CC BY) license (https://creativecommons.org/licenses/by/4.0/).
Share and Cite
Farid, Y.; Wang, L.; Brancato, L.; Wang, H.; Wang, K.; Preumont, A. Robotic Hummingbird Axial Dynamics and Control near Hovering: A Simulation Model. Actuators 2023, 12, 262. https://doi.org/10.3390/act12070262
Farid Y, Wang L, Brancato L, Wang H, Wang K, Preumont A. Robotic Hummingbird Axial Dynamics and Control near Hovering: A Simulation Model. Actuators. 2023; 12(7):262. https://doi.org/10.3390/act12070262
Chicago/Turabian StyleFarid, Yousef, Liang Wang, Lorenzo Brancato, Han Wang, Kainan Wang, and André Preumont. 2023. "Robotic Hummingbird Axial Dynamics and Control near Hovering: A Simulation Model" Actuators 12, no. 7: 262. https://doi.org/10.3390/act12070262
APA StyleFarid, Y., Wang, L., Brancato, L., Wang, H., Wang, K., & Preumont, A. (2023). Robotic Hummingbird Axial Dynamics and Control near Hovering: A Simulation Model. Actuators, 12(7), 262. https://doi.org/10.3390/act12070262

