Minimum Cable Tensions and Tension Sensitivity for Long-Span Cable-Driven Camera Robots with Applications to Stability Analysis
Abstract
1. Introduction
1.1. Background and Motivation
1.2. Literature Review and Comments
1.3. Contribution and Paper Organization
2. Modeling of the Camera Robot with Long-Span Cables
2.1. Catenary Equation of a Cable
2.2. Modeling the Camera Robot
2.3. Optimal Model for Cable Tensions
3. MCTDs with Applications to Stability Analysis
3.1. Three Minimum Cable Tension Distribution Indices (MCTDIs)
3.2. SMCTW Generation Algorithm
- (1)
- Input the position of the camera platform, Xi (i = 1, 2,…, N. N is the total number of positions); the MCT limit ; external wrench fe(Xi); and the gravity of the camera platform, fg(Xi).
- (2)
- Determine the horizontal component of the cable tension, H, with Equation(14) using the convex programming theory.
- (3)
- Obtain cable tension vector T using Equation (9) and Equation (10).
- (4)
- Calculate the Tmin(Xi) with Equation (15).
- (5)
- Judge whether Tmin(Xi) exceeds . If it does, record and output the position of camera platform ; if not, proceed to the next position.
- (6)
- Judge whether Xi is the last position of the camera platform within the workspace. If not, proceed to step (1) and solve T*(Xi+1) and Tmin(Xi+1) for the next position, Xi+1; if it is, record and output position Xi and stop.
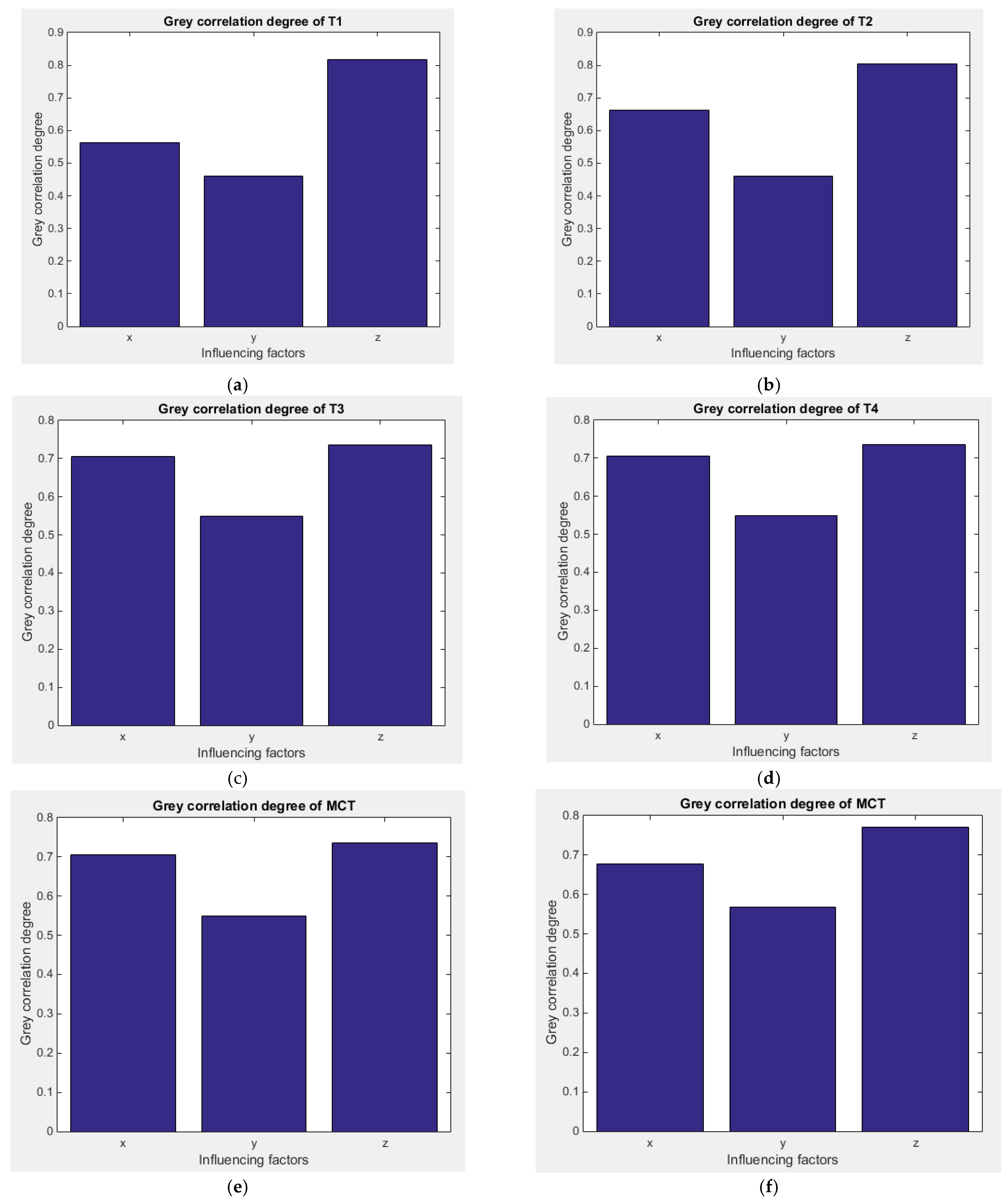
4. Grey Relational Analysis Method for the CTSA
5. Results and Discussion
5.1. MCTDIs and Their Application
5.2. CTSA for the Camera Robot
6. Conclusions and Future Work
Author Contributions
Funding
Institutional Review Board Statement
Informed Consent Statement
Data Availability Statement
Acknowledgments
Conflicts of Interest
References
- Idà, E.; Mattioni, V. Cable-Driven Parallel Robot Actuators: State of the Art and Novel Servo-Winch Concept. Actuators 2022, 11, 290. [Google Scholar] [CrossRef]
- Luan, P.G.; Thinh, N.T. Wrench-Closure Condition of Cable-Driven Parallel Manipulators. Appl. Sci. 2021, 11, 4228. [Google Scholar] [CrossRef]
- Dinh, T.N.; Park, J.; Park, K.S. Design and evaluation of disturbance observer algorithm for cable-driven parallel robots. Microsyst. Technol. 2020, 26, 3377–3387. [Google Scholar] [CrossRef]
- Zhang, Z.K.; Shao, Z.F.; Wang, L.P. Optimization and implementation of a high-speed 3-DOFs translational cable-driven parallel robot. Mech. Mach. Theory 2020, 145, 103693. [Google Scholar] [CrossRef]
- Venkata Sai Prathyush, I.; Ceccarelli, M.; Russo, M. Control Design for CABLEankle, a Cable Driven Manipulator for Ankle Motion Assistance. Actuators 2022, 11, 63. [Google Scholar] [CrossRef]
- Tho, T.P.; Thinh, N.T. Using a Cable-Driven Parallel Robot with Applications in 3D Concrete Printing. Appl. Sci. 2021, 11, 563. [Google Scholar] [CrossRef]
- Wang, X.G.; Hu, Y.B.; Qi, L. Workspace analysis and verification of cable-driven parallel mechanism for wind tunnel test. Proc. Inst. Mech. Eng. Part G J. Aerosp. Eng. 2017, 231, 1012–1021. [Google Scholar] [CrossRef]
- Deng, S.; Jing, F.; Zheng, R.; Liang, Z.; Yang, G. Multi-objective pose optimal distribution method for the feed support system of Five-hundred-meter Aperture Spherical radio Telescope. Int. J. Adv. Robot. Syst. 2018, 15, 1729881418756695. [Google Scholar] [CrossRef]
- Tang, X.Q. An Overview of the Development for Cable-Driven Parallel Manipulator. Adv. Mech. Eng. 2014, 2014, 823028. [Google Scholar] [CrossRef]
- Su, Y.; Qiu, Y.Y.; Liu, P. The continuity and real-time performance of the cable tension determining for a suspend cable-driven parallel camera robot. Adv. Robot. 2015, 29, 743–752. [Google Scholar] [CrossRef]
- Riehl, N.; Gouttefarde, M.; Krut, S.; Baradat, C.; Pierrot, F. Effects of Non-Negligible Cable Mass on the Static Behavior of Large Workspace Cable-Driven Parallel Mechanisms. In Proceedings of the 2009 IEEE International Conference on Robotics and Automation, Kobe, Japan, 12–17 May 2009; pp. 2193–2198. [Google Scholar] [CrossRef]
- Liu, P. On the Mechanics and Stability for the Cable-Driven Parallel Manipulators. Ph.D. Thesis, Xidian University, Xi’an, China, 2015. [Google Scholar]
- Hassan, M.; Khajepour, A. Optimization of Actuator Forces in Cable-Based Parallel Manipulators Using Convex Analysis. IEEE Trans. Robot. 2008, 24, 736–740. [Google Scholar] [CrossRef]
- Mikelsons, L.; Bruckmann, T.; Hiller, M.; Schramm, D. A Real-Time Capable Force Calculation Algorithm for Redundant Tendon-Based Parallel Manipulators. In Proceedings of the 2008 IEEE International Conference on Robotics and Automation, Pasadena, CA, USA, 19–23 May 2008; pp. 3869–3874. [Google Scholar] [CrossRef]
- Borgstrom, P.H.; Jordan, B.L.; Sukhatme, G.S.; Batalin, M.A.; Kaiser, W.J. Rapid Computation Of Optimally Safe Tension Distributions For Parallel Cable-Driven Robots. IEEE Trans. Robot. 2009, 25, 1271–1281. [Google Scholar] [CrossRef]
- Gosselin, C.; Grenier, M. On the Determination of the Force Distribution in Overconstrained Cable-Driven Parallel Mechanisms. Meccanica 2011, 46, 3–15. [Google Scholar] [CrossRef]
- Liu, P.; Qiu, Y.Y.; Su, Y.; Chang, J. On the Minimum Cable Tensions for the Cable-Based Parallel Robots. J. Appl. Math. 2014, 2014, 350492. [Google Scholar] [CrossRef]
- Liu, P.; Qiu, Y.Y.; Zhang, X.H.; Cao, X.G.; Qiao, X.Z. Minimum Cable Tensions for a Cable-based Parallel Robot with Application to Stability Analysis: A Descriptive Study. Nov. Res. Asp. Math. Comput. Sci. 2022, 2, 89–101. [Google Scholar] [CrossRef]
- Kozak, K.; Zhou, Q.; Wang, J. Static analysis of cable-driven manipulators with non-negligible cable mass. IEEE Trans. Robot. 2006, 22, 425–433. [Google Scholar] [CrossRef]
- Riehl, N.; Gouttefarde, M.; Pierrot, F.; Baradat, C. On the static workspace of large dimensions cable-suspended robots with non-negligible cable mass. In Proceedings of the ASME International Design Engineering Technical Conference, Montreal, QC, Canada, 15–18 August 2010. [Google Scholar] [CrossRef]
- Filipovic, M.; Djuric, A.; Kevac, L. Contribution to the modeling of cable-suspended parallel robot hanged on the four points. In Proceedings of the 2012 IEEE/RSJ International Conference on Intelligent Robots and Systems, Vilamoura-Algarve, Portugal, 7–12 October 2012; pp. 3526–3531. [Google Scholar] [CrossRef]
- Merlet, J.P.; Tissot, R. A panorama of methods for dealing with sagging cables in cable driven parallel robots. In Advances in Robot Kinematics 2022. ARK 2022; Springer Proceedings in Advanced Robotics; Altuzarra, O., Kecskeméthy, A., Eds.; Springer: Cham, Switzerland, 2022; Volume 24. [Google Scholar] [CrossRef]
- Merlet, J.P. The Forward Kinematics of the 4-1 Cable-Driven Parallel Robot with Non Elastic Sagging Cables. In Advances in Robot Kinematics 2020. ARK 2020; Springer Proceedings in Advanced Robotics; Lenarčič, J., Siciliano, B., Eds.; Springer: Cham, Switzerland, 2021; Volume 15. [Google Scholar] [CrossRef]
- Jung, J. Workspace and Stiffness Analysis of 3D Printing Cable-Driven Parallel Robot with a Retractable Beam-Type End-Effector. Robotics 2020, 9, 65. [Google Scholar] [CrossRef]
- Heo, J.-M.; Park, B.-J.; Park, J.-O.; Kim, C.-S.; Jung, J.; Park, K.-S. Workspace and stability analysis of a 6-DOF cable-driven parallel robot using frequency-based variable constraints. J. Mech. Sci. Technol. 2018, 32, 1345–1356. [Google Scholar] [CrossRef]
- Pott, A. Influence of pulley kinematics on cable-driven parallel robots. In Latest Advances in Robot Kinematics; Lenarcic, J., Husty, M., Eds.; Springer: Dordrecht, The Netherlands, 2012; pp. 197–204. [Google Scholar] [CrossRef]
- Idà, E.; Carricato, M. A new performance index for underactuated cable-driven parallel robots. In Cable-Driven Parallel Robots; Gouttefarde, M., Bruckmann, T., Pott, A., Eds.; Springer International Publishing: Cham, Switzerland, 2021; Volume 104, pp. 24–36. [Google Scholar] [CrossRef]
- Mottola, G.; Gosselin, C.; Carricato, M. Effect of actuation errors on a purely-translational spatial cable-driven parallel robot. In Proceedings of the 2019 IEEE 9th Annual International Conference on CYBER Technology in Automation, Control, and Intelligent Systems (CYBER), Suzhou, China, 29 July–2 August 2019; pp. 701–707. [Google Scholar]
- Mattioni, V.; Idà, E.; Carricato, M. Force-distribution sensitivity to cable-tension errors in overconstrained cable-driven parallel robots. Mech. Mach. Theory 2022, 175, 104940. [Google Scholar] [CrossRef]
- Mattioni, V.; Idà, E.; Carricato, M. Force-distribution sensitivity to cable-tension errors: A preliminary investigation. In Cable-Driven Parallel Robots; Gouttefarde, M., Bruckmann, T., Pott, A., Eds.; Springer International Publishing: Cham, Switzerland, 2021; Volume 104, pp. 129–141. [Google Scholar] [CrossRef]
- Chen, Q.L.; Lin, Q.; Wei, G.W.; Ren, L. Tension vector and structure matrix associated force sensitivity of a 6-DOF cable-driven parallel robot. Proc. Inst. Mech. Eng. C 2022, 236, 100–114. [Google Scholar] [CrossRef]
- Wu, D.F.; Wang, N.L.; Yang, Z.P.; Li, C.Z.; Yang, Y.P. Comprehensive Evaluation of Coal-Fired Power Units Using Grey Relational Analysis and a Hybrid Entropy-Based Weighting Method. Entropy 2018, 20, 215. [Google Scholar] [CrossRef] [PubMed]
- Liu, P.; Qiao, X.Z.; Zhang, X.H. Stability sensitivity for a cable-based coal-gangue picking robot based on grey relational analysis. Int. J. Adv. Robot. Syst. 2021, 18, 17298814211059729. [Google Scholar] [CrossRef]
- Liu, P.; Tian, H.B.; Cao, X.G.; Zhang, X.H.; Qiao, X.Z.; Su, Y. Dynamic Stability Measurement and Grey Relational Stability Sensitivity Analysis Methods for High-Speed Long-Span 4-1 Cable Robots. Mathematics 2022, 10, 4653. [Google Scholar] [CrossRef]
- Liu, S.F.; Forrest, J. The current developing status on grey system theory. J. Grey Syst. 2007, 19, 111–123. [Google Scholar]
- Liu, S.F.; Xie, N.M.; Forrest, J. On new models of grey incidence analysis based on visual angle of similarity and nearness. Syst. Eng.-Theory Pract. 2010, 30, 881–887. [Google Scholar]
- Deng, J.L. Control problems of grey systems. Syst. Control Lett. 1982, 5, 288–294. [Google Scholar]
- Wang, W.P.; Yang, Z.M.; Lu, Y.; Shi, Y.; Zhang, B. The Optimization Degree of Provincial Industrial Ecosystem and EKC of China-Based on the Grey Correlation Analysis. J. Grey Syst. 2016, 28, 1–12. [Google Scholar]
- Diba, S.; Xie, N.M. Sustainable supplier selection for Satrec Vitalait Milk Company in Senegal using the novel grey relational analysis method. Grey Syst. Theory Appl. 2019, 9, 262–294. [Google Scholar] [CrossRef]
- Wang, X.N.; Yang, W.C.; Ge, Y.; Feng, D. The influence of shrinkage-reducing agent solution properties on shrinkage of cementitious composite using grey correlation analysis. Constr. Build. Mater. 2020, 264, 120194. [Google Scholar] [CrossRef]
- Li, J.; Li, X.; Lv, N.; Yang, Y.; Xi, B.; Li, M.; Bai, S.; Liu, D. Quantitative assessment of groundwater pollution intensity on typical contaminated sites in China using grey relational analysis and numerical simulation. Environ. Earth Sci. 2015, 74, 3955–3968. [Google Scholar] [CrossRef]
- Liu, S.F.; Dang, Y.G.; Fang, Z.F. Grey System Theory and Its Application; Science Press: Beijing, China, 2021. [Google Scholar]
- Xiao, X.P. Theoretical Study and Reviews on the Computation Method of Grey Interconnet Degree. Syst. Eng.-Theory Pract. 1997, 8, 77–82. [Google Scholar]
- Irivne, H.M. Cable Structures; MIT Press: Cambridge, MA, USA, 1981; pp. 16–20. [Google Scholar]
- Du, J.L.; Duan, X.C.; Bao, H. Static Stiffness of a Cable-supporting System with the Cable Sags Effects Considered. J. Mech. Eng. 2010, 46, 29–34. [Google Scholar] [CrossRef]
- Gouttefarde, M.; Collard, J.F.; Riehl, N.; Baradat, C. Simplified Static Analysis of Large-Dimension Parallel Cable-Driven Robots. In Proceedings of the IEEE International Conference on Robotics and Automation River Centre, Saint Paul, MN, USA, 14–18 May 2012; pp. 2299–2305. [Google Scholar] [CrossRef]
- Su, Y.; Qiu, Y.Y.; Liu, P. Optimal Cable Tension Distribution of the High-Speed Redundant Driven Camera Robots Considering Cable Sag and Inertia Effects. Adv. Mech. Eng. 2014, 6, 729020. [Google Scholar] [CrossRef]
- Idá, E.; Briot, S.; Carricato, M. Identification of the inertial parameters of underactuated Cable-Driven Parallel Robots. Mech. Mach. Theory 2022, 167, 104504. [Google Scholar] [CrossRef]
- Liu, P.; Qiu, Y.Y. Tension Optimization for a Cable-Driven Parallel Robot with Non- Negligible Cable Mass. Open Autom. Control Syst. J. 2015, 7, 1973–1980. [Google Scholar] [CrossRef]
- Idá, E.; Briot, S.; Carricato, M. Natural Oscillations of Underactuated Cable-Driven Parallel Robots. IEEE Access 2021, 9, 71660–71672. [Google Scholar] [CrossRef]
- Liu, P.; Tian, H.; Cao, X.; Qiao, X.; Gong, L.; Duan, X.; Qiu, Y.; Su, Y. Pick–and–Place Trajectory Planning and Robust Adaptive Fuzzy Tracking Control for Cable–Based Gangue–Sorting Robots with Model Uncertainties and External Disturbances. Machines 2022, 10, 714. [Google Scholar] [CrossRef]
- Beer, F.P.; Johnston, E.R., Jr.; DeWolf, J.T.; Mazurek, D.F. Mechanics of Materials; McGraw-Hill: New York, NY, USA, 2012. [Google Scholar]
- He, X.; Li, L.; Liu, X.; Wu, Y.; Mei, S.; Zhang, Z. Using grey relational analysis to analyze influential factor of hand, foot and mouth disease in Shenzhen. Grey Syst.-Theory Appl. 2019, 9, 197–206. [Google Scholar] [CrossRef]
- Zhang, C.; Duan, L.; Liu, H.; Zhang, Y.; Yin, L.; Lu, Q.; Duan, G. Identifying the Influencing Factors of Patient’s Attitude to Medical Service Price by Combing Grey Relational Theory with CMH Statistical Analysis. J. Grey Syst. 2020, 32, 80–95. [Google Scholar]
- Hu, Y.-C.; Jiang, P.; Chiu, Y.-J.; Ken, Y.-W. Incorporating Grey Relational Analysis into Grey Prediction Models to Forecast the Demand for Magnesium Materials. Cybern. Syst. 2021, 52, 522–532. [Google Scholar] [CrossRef]







| Parameters of the Robot | Symbol | Values |
|---|---|---|
| Cable diameter | d | 0.15 cm |
| Cable linear density | ρ | 0.1851 kg/m |
| Camera platform mass | mp | 20 kg |
| Lower boundary of T | Tmin | 100 N |
| Upper boundary of T | Tmax | 10000 N |
| Position of the 1st pulley (Figure 2) | B1 | (0,0,23)T m |
| Position of the 2nd pulley | B2 | (100,0,23)T m |
| Position of the 3rd pulley | B3 | (100,90,23)T m |
| Position of the 4th pulley | B4 | (0,90,23)T m |
| Reference Sequence | Comparison Sequence | ||||||
|---|---|---|---|---|---|---|---|
| T1(N) | T2(N) | T1(N) | T2(N) | MCT(N) | x(m) | y(m) | z(m) |
| 452.62 | 528.83 | 582.42 | 520.28 | 452.62 | 58.44 | 50.36 | 0.90 |
| 481.88 | 519.25 | 633.01 | 608.57 | 481.88 | 53.68 | 54.29 | 1.90 |
| 534.19 | 507.44 | 645.20 | 662.41 | 507.44 | 47.51 | 54.69 | 2.90 |
| 614.48 | 528.63 | 626.58 | 693.52 | 528.63 | 42.29 | 51.37 | 3.90 |
| 699.21 | 588.35 | 598.51 | 706.93 | 588.35 | 40.02 | 45.63 | 4.90 |
| 769.86 | 683.04 | 590.52 | 696.08 | 590.52 | 41.55 | 39.64 | 5.90 |
| 824.96 | 790.47 | 621.04 | 671.51 | 621.04 | 46.32 | 35.70 | 6.90 |
| 822.35 | 847.07 | 677.02 | 642.85 | 642.85 | 52.48 | 35.31 | 7.90 |
| 811.18 | 905.51 | 796.33 | 683.10 | 683.10 | 57.71 | 38.62 | 8.90 |
| 790.25 | 940.47 | 929.47 | 776.78 | 776.78 | 59.98 | 44.37 | 9.90 |
Disclaimer/Publisher’s Note: The statements, opinions and data contained in all publications are solely those of the individual author(s) and contributor(s) and not of MDPI and/or the editor(s). MDPI and/or the editor(s) disclaim responsibility for any injury to people or property resulting from any ideas, methods, instructions or products referred to in the content. |
© 2022 by the authors. Licensee MDPI, Basel, Switzerland. This article is an open access article distributed under the terms and conditions of the Creative Commons Attribution (CC BY) license (https://creativecommons.org/licenses/by/4.0/).
Share and Cite
Liu, P.; Tian, H.; Qiao, X. Minimum Cable Tensions and Tension Sensitivity for Long-Span Cable-Driven Camera Robots with Applications to Stability Analysis. Actuators 2023, 12, 17. https://doi.org/10.3390/act12010017
Liu P, Tian H, Qiao X. Minimum Cable Tensions and Tension Sensitivity for Long-Span Cable-Driven Camera Robots with Applications to Stability Analysis. Actuators. 2023; 12(1):17. https://doi.org/10.3390/act12010017
Chicago/Turabian StyleLiu, Peng, Haibo Tian, and Xinzhou Qiao. 2023. "Minimum Cable Tensions and Tension Sensitivity for Long-Span Cable-Driven Camera Robots with Applications to Stability Analysis" Actuators 12, no. 1: 17. https://doi.org/10.3390/act12010017
APA StyleLiu, P., Tian, H., & Qiao, X. (2023). Minimum Cable Tensions and Tension Sensitivity for Long-Span Cable-Driven Camera Robots with Applications to Stability Analysis. Actuators, 12(1), 17. https://doi.org/10.3390/act12010017

