Bi-Directional Origami-Inspired SMA Folding Microactuator
Abstract
:1. Introduction
2. Materials and Methods
2.1. Materials Characterization
2.2. Constitutive Modeling
2.3. Design and Engineering
2.4. Fabrication
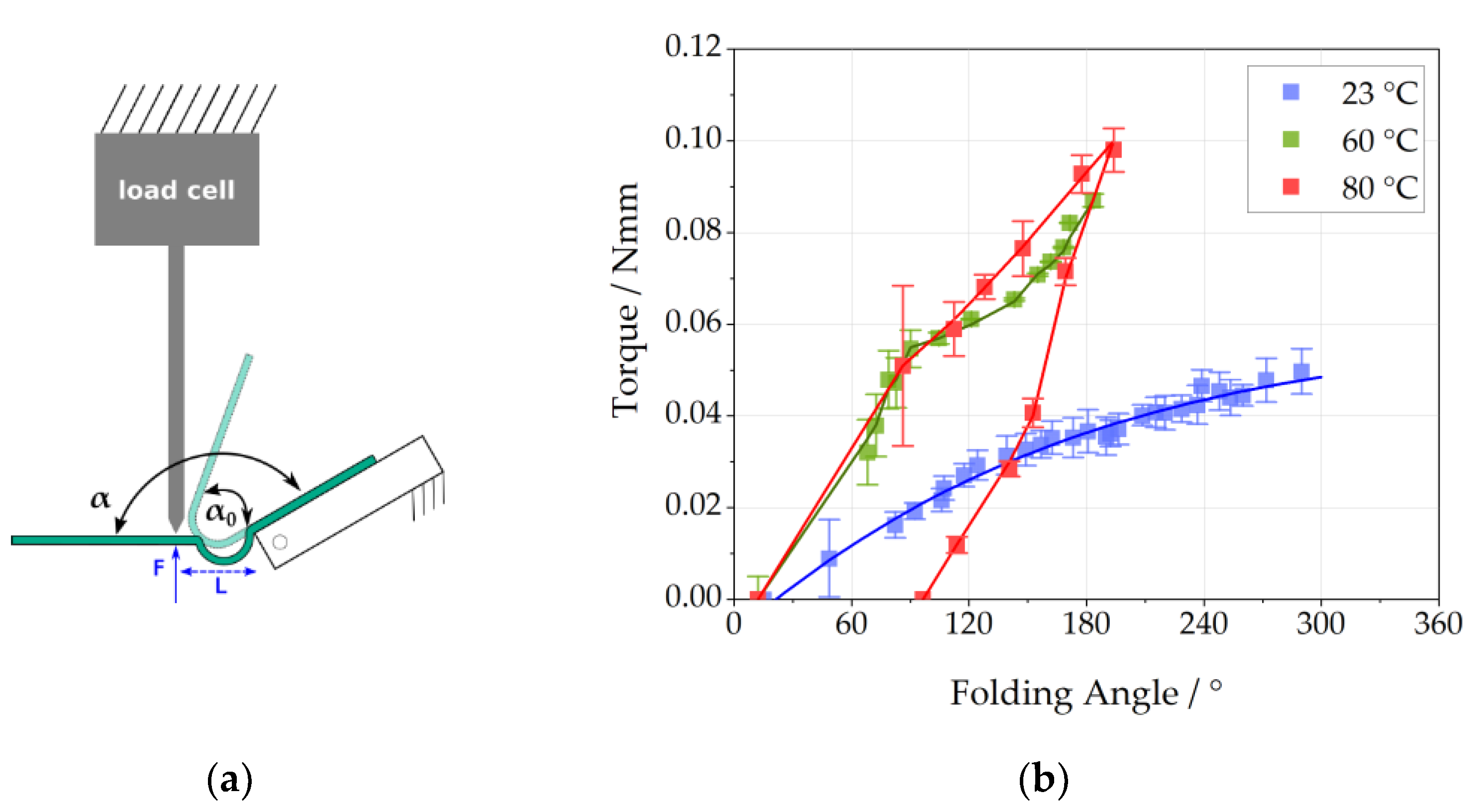
3. Characterization of Folding Actuation
3.1. Uni-Directional Self-Folding
3.2. Bi-Directional Self-Folding
4. Conclusions
Supplementary Materials
Author Contributions
Funding
Institutional Review Board Statement
Data Availability Statement
Acknowledgments
Conflicts of Interest
Appendix A
| Parameter | Abbreviation | Value |
|---|---|---|
| Martensite Start Temperature | 19 °C | |
| Martensite Finish Temperature | 9 °C | |
| Austenite Start Temperature | 52 °C | |
| Austenite Finish Temperature | 62 °C | |
| R-phase Peak Temperature | 45 °C | |
| Young’s Modulus (starting phase) | 12.9 GPa (at 24 °C) 21.4 GPa (at 40 °C) 24.3 GPa (at 55 °C) 32.5 GPa (at 80 °C) | |
| Clausius Clapeyron coefficient | 6.6 MPa/K | |
| Maximum uniaxial transformation strain | 0.035 (at 24 °C) 0.025 (40 °C, 55 °C, 80 °C) | |
| Critical transformation start stress (A→M) | ~50 MPa | |
| Poisson ratio | 0.33 |
References
- Miskin, M.Z.; Dorsey, K.J.; Bircan, B.; Han, Y.; Muller, D.A.; McEuen, P.L.; Cohen, I. Graphene-based bimorphs for micron-sized, autonomous origami machines. Proc. Natl. Acad. Sci. USA 2018, 115, 466–470. [Google Scholar] [CrossRef] [Green Version]
- Tolley, M.T.; Felton, S.M.; Miyashita, S.; Aukes, D.; Rus, D.; Wood, R.J. Self-folding origami: Shape memory composites activated by uniform heating. Smart Mater. Struct. 2014, 23, 94006. [Google Scholar] [CrossRef]
- Jiang, M.; Gravish, N. Reconfigurable laminates enable multifunctional robotic building blocks. Smart Mater. Struct. 2021, 30. [Google Scholar] [CrossRef]
- Cromvik, C.; Eriksson, K. Airbag Folding Based on Origami Mathematics; Chalmers University of Technology: Göteborg, Sweden, 2006. [Google Scholar]
- Baek, S.-M.; Yim, S.; Chae, S.-H.; Lee, D.-Y.; Cho, K.-J. Ladybird beetle–inspired compliant origami. Sci. Robot. 2020, 5. [Google Scholar] [CrossRef] [Green Version]
- Ho, M.; Kim, Y.; Cheng, S.S.; Gullapalli, R.; Desai, J.P. Design, development, and evaluation of an MRI-guided SMA spring-actuated neurosurgical robot. Int. J. Rob. Res. 2015, 34, 1147–1163. [Google Scholar] [CrossRef] [PubMed] [Green Version]
- Momeni, F.; M.Mehdi Hassani.N, S.; Liu, X.; Ni, J. A review of 4D printing. Mater. Des. 2017, 122, 42–79. [Google Scholar] [CrossRef]
- Peraza-Hernandez, E.A.; Hartl, D.J.; Malak, R.J., Jr.; Lagoudas, D.C. Origami-inspired active structures: A synthesis and review. Smart Mater. Struct. 2014, 23, 94001. [Google Scholar] [CrossRef]
- Rogers, J.; Huang, Y.; Schmidt, O.G.; Gracias, D.H. Origami MEMS and NEMS. MRS Bull. 2016, 41, 123–129. [Google Scholar] [CrossRef] [Green Version]
- Peraza-Hernandez, E.A.; Hartl, D.J.; Malak, R.J., Jr. Design and numerical analysis of an SMA mesh-based self-folding sheet. Smart Mater. Struct. 2013, 22, 94008. [Google Scholar] [CrossRef]
- Shin, B.H.; Jang, T.; Ryu, B.-J.; Kim, Y. A modular torsional actuator using shape memory alloy wires. J. Intell. Mater. Syst. Struct. 2016, 27, 1658–1665. [Google Scholar] [CrossRef]
- Ho, M.; McMillan, A.; Simard, J.M.; Gullapalli, R.; Desai, J.P. Towards a Meso-Scale SMA-Actuated MRI-Compatible Neurosurgical Robot. IEEE Trans. Robot. 2011, 2011, 1–10. [Google Scholar] [CrossRef] [PubMed] [Green Version]
- Boyvat, M.; Koh, J.-S.; Wood, R.J. Addressable wireless actuation for multijoint folding robots and devices. Sci. Robot. 2017, 2. [Google Scholar] [CrossRef] [Green Version]
- Torres-Jara, E.; Gilpin, K.; Karges, J.; Wood, R.J.; Rus, D. Composable flexible small actuators built from thin shape memory alloy sheets. IEEE Robot. Automat. Mag. 2010, 17, 78–87. [Google Scholar] [CrossRef]
- Hawkes, E.; An, B.; Benbernou, N.M.; Tanaka, H.; Kim, S.; Demaine, E.D.; Rus, D.; Wood, R.J. Programmable matter by folding. Proc. Natl. Acad. Sci. USA 2010, 107, 12441–12445. [Google Scholar] [CrossRef] [Green Version]
- Paik, J.K.; Wood, R.J. A bidirectional shape memory alloy folding actuator. Smart Mater. Struct. 2012, 21, 65013. [Google Scholar] [CrossRef] [Green Version]
- Jeong, J.W.; Yoo, Y.I.; Shin, D.K.; Lim, J.H.; Kim, K.W.; Lee, J.J. A novel tape spring hinge mechanism for quasi-static deployment of a satellite deployable using shape memory alloy. Rev. Sci. Instrum. 2014, 85, 25001. [Google Scholar] [CrossRef] [PubMed]
- Otsuka, K. (Ed.) Shape Memory Materials; Cambridge Univ. Press: Cambridge, UK, 1999; ISBN 052144487X. [Google Scholar]
- Miyazaki, S.; Otsuka, K. Deformation and transition behavior associated with the R-phase in Ti-Ni alloys. MTA 1986, 17, 53–63. [Google Scholar] [CrossRef]
- Šittner, P.; Landa, M.; Lukáš, P.; Novák, V. R-phase transformation phenomena in thermomechanically loaded NiTi polycrystals. Mech. Mater. 2006, 38, 475–492. [Google Scholar] [CrossRef]
- Jaber, M.B.; Smaoui, H.; Terriault, P. Finite element analysis of a shape memory alloy three-dimensional beam based on a finite strain description. Smart Mater. Struct. 2008, 17, 45005. [Google Scholar] [CrossRef]
- Jaber, M.B. User Manual of the UMAT Subroutine for an SMA Strain Based Constitutive Model. Available online: www.researchgate.net/publication/280729999_User_Manual_of_the_UMAT_Subroutine_for_an_SMA_strain_based_constitutive_model (accessed on 27 July 2021).
- Jaber, M.B.; Mehrez, S.; Ghazouani, O. A 1D constitutive model for shape memory alloy using strain and temperature as control variables and including martensite reorientation and asymmetric behaviors. Smart Mater. Struct. 2014, 23, 95026. [Google Scholar] [CrossRef]
- ABAQUS. Abaqus Theory Manual V6.11: Mechanical Constitutive Models. Dassault Systèmes Simulia Corp. 2006. Available online: 130.149.89.49:2080/v6.11/books/hhp/default.htm (accessed on 27 July 2021).
- Bathe, K.-J. Finite Element Procedures; Prentice Hall: Englewood Cliffs, NJ, USA, 1996; ISBN 978-0133014587. [Google Scholar]
- Gall, K.; Sehitoglu, H. The role of texture in tension–compression asymmetry in polycrystalline NiTi. Int. J. Plast. 1999, 15, 69–92. [Google Scholar] [CrossRef]
- Seigner, L.; Bezsmertna, O.; Fähler, S.; Tshikwand, G.; Wendler, F.; Kohl, M. Origami-Inspired Shape Memory Folding Microactuator. In Proceedings of the 1st International Electronic Conference on Actuator Technology: Materials, Devices and Applications, Sciforum.net, 23–27 November 2020; MDPI: Basel, Switzerland, 2020; p. 8480. [Google Scholar]











Publisher’s Note: MDPI stays neutral with regard to jurisdictional claims in published maps and institutional affiliations. |
© 2021 by the authors. Licensee MDPI, Basel, Switzerland. This article is an open access article distributed under the terms and conditions of the Creative Commons Attribution (CC BY) license (https://creativecommons.org/licenses/by/4.0/).
Share and Cite
Seigner, L.; Tshikwand, G.K.; Wendler, F.; Kohl, M. Bi-Directional Origami-Inspired SMA Folding Microactuator. Actuators 2021, 10, 181. https://doi.org/10.3390/act10080181
Seigner L, Tshikwand GK, Wendler F, Kohl M. Bi-Directional Origami-Inspired SMA Folding Microactuator. Actuators. 2021; 10(8):181. https://doi.org/10.3390/act10080181
Chicago/Turabian StyleSeigner, Lena, Georgino Kaleng Tshikwand, Frank Wendler, and Manfred Kohl. 2021. "Bi-Directional Origami-Inspired SMA Folding Microactuator" Actuators 10, no. 8: 181. https://doi.org/10.3390/act10080181
APA StyleSeigner, L., Tshikwand, G. K., Wendler, F., & Kohl, M. (2021). Bi-Directional Origami-Inspired SMA Folding Microactuator. Actuators, 10(8), 181. https://doi.org/10.3390/act10080181

