Next Article in Journal
First Report of Curtobacterium flaccumfaciens in Bulgaria
Previous Article in Journal
Congenital Syphilis: A Re-Emerging but Preventable Infection
 
 
Correction published on 8 July 2025, see Pathogens 2025, 14(7), 669.
Font Type:
Arial Georgia Verdana
Font Size:
Aa Aa Aa
Line Spacing:
Column Width:
Background:
Article

Peptide-Alkoxyamine Drugs: An Innovative Approach to Fight Schistosomiasis: “Digging Their Graves with Their Forks”

by
Ange W. Embo-Ibouanga
1,
Michel Nguyen
2,3,
Jean-Patrick Joly
1,
Mathilde Coustets
2,3,
Jean-Michel Augereau
2,3,
Lucie Paloque
2,3,
Nicolas Vanthuyne
4,
Raphaël Bikanga
5,
Anne Robert
2,
Françoise Benoit-Vical
2,3,
Gérard Audran
1,*,
Philippe Mellet
6,7,*,
Jérôme Boissier
8,* and
Sylvain R. A. Marque
1,*
1
Aix-Marseille University, CNRS, UMR 7273, Case 551, Avenue Escadrille Normandie-Niemen, CEDEX 20, 13397 Marseille, France
2
Laboratoire de Chimie de Coordination (LCC-CNRS) and, New Antimalarial Molecules and Pharmacological Approaches (MAAP), Inserm ERL 1289, Université de Toulouse, CNRS, 31077 Toulouse, France
3
Institut de Pharmacologie et de Biologie Structurale (IPBS), Université de Toulouse, CNRS, Université Toulouse III—Paul Sabatier (UPS), 31077 Toulouse, France
4
Aix-Marseille University, CNRS, Centrale Marseille ISM2, Case 531, Avenue Escadrille Normandie-Niemen, CEDEX 20, 13397 Marseille, France
5
Université des Sciences et Techniques de Masuku, LASNSOM, Franceville BP 901, Gabon
6
Magnetic Resonance of Biological Systems, UMR 5536 CNRS-University of Bordeaux, 146 rue Leo Saignat, CEDEX, 33076 Bordeaux, France
7
INSERM, 146 rue Leo Saignat, CEDEX, 33076 Bordeaux, France
8
IHPE, CNRS, Ifremer, University Perpignan Via Domitia, 66860 Perpignan, France
*
Authors to whom correspondence should be addressed.
Pathogens 2024, 13(6), 482; https://doi.org/10.3390/pathogens13060482
Submission received: 28 March 2024 / Revised: 23 May 2024 / Accepted: 24 May 2024 / Published: 6 June 2024 / Corrected: 8 July 2025

Abstract

The expansion of drug resistant parasites sheds a serious concern on several neglected parasitic diseases. Our recent results on cancer led us to envision the use of peptide-alkoxyamines as a highly selective and efficient new drug against schistosome adult worms, the etiological agents of schistosomiasis. Indeed, the peptide tag of the hybrid compounds can be hydrolyzed by worm’s digestive enzymes to afford a highly labile alkoxyamine which homolyzes spontaneously and instantaneously into radicals—which are then used as a drug against Schistosome adult parasites. This approach is nicely summarized as digging their graves with their forks. Several hybrid peptide-alkoxyamines were prepared and clearly showed an activity: two of the tested compounds kill 50% of the parasites in two hours at a concentration of 100 µg/mL. Importantly, the peptide and alkoxyamine fragments that are unable to generate alkyl radicals display no activity. This strong evidence validates the proposed mechanism: a specific activation of the prodrugs by the parasite proteases leading to parasite death through in situ alkyl radical generation.

1. Introduction

Schistosomiasis (or bilharziasis) is a major parasitic disease in terms of mortality and morbidity, as almost 200 million people are infected, and at least 200,000 deaths per year are associated with this disease. This disease is caused by worms of the Schistosoma genus present in freshwater bodies of subtropical regions [1]. Consequences of chronic infection include fibrosis and calcification of the urinary tract, renal failure or bladder cancer and acute hepatitis, liver and intestine fibrosis, and portal hypertension. On children, it may cause poor growth and learning difficulty. Up to now, a single drug against schistosomiasis, praziquantel (PZQ), has been used for more than 50 years, and many cases of resistance or decrease in sensitivity have been evidenced [2,3]. Moreover, praziquantel demonstrates activity against adult worms (after 5–7 weeks post-infection) but lacks efficacy against early human stages (i.e., schistosomula). Because individuals living in endemic areas are continually re-infected, the strategy for reducing the worm burden in each person necessitates the development of novel drugs capable of efficiently targeting all life stages of schistosomes in humans. Consequently, research on new drugs able to circumvent the praziquantel™ (PZQ) resistance and to kill all life stages of the parasite is an absolute priority. Schistosome parasites ingest host red blood cells and digest hemoglobin to obtain the amino-acids they need for the synthesis of their own proteins [4]. A molecule targeting the parasite’s mandatory hemoglobin digestion activity could therefore be efficient at several stages of its development [5]. Recently, we proposed an approach based on the use of a mandatory enzymatic activity of cancer cells to deliver specifically to the intended target a drug known to have a non-selective activity [6]. Here we propose to test such an approach on Schistosoma mansoni adult worms, an approach which we could not resist the pun of naming digging their graves with their forks (Scheme 1). Indeed, any parasite has specific enzymatic activities different from the host’s. Then, hybrid peptide-alkoxyamines are specifically hydrolyzed by enzymes (here proteases, due to their peptide tags) into free peptides and free alkoxyamines. The latter homolyzed spontaneously and instantaneously at room temperature into nitroxyl (blue part) and alkyl (red part) radicals. The latter are potentially cytotoxic for their environment, leading to the death of the parasites, i.e., here schistosomes.
It is expected that the schistosomes’ hemoglobin-digesting proteases, which are not naturally present in human cells, are specific parasite enzymes responsible for the recycling of amino acids from the host’s hemoglobin. Moreover, it has been demonstrated that within the same protease family, such as cathepsin D, the differences in cleavage sites between schistosomes and humans are so great that it is possible to develop specific inhibitors targeting specifically the hemoglobin-ingesting parasite [7]. In schistosome, no serine protease has been identified in the gut of the parasite, suggesting that the proteases involved in the digestion are totally different from those of the vertebrate host. However, unlike Plasmodium’s, the schistosome’s hemoglobin digestion cascade has not been fully characterized. The hemoglobin digestion implies at least three classes of proteases present in the parasite gut lumen: cathepsin (B, C and L), metallo-aminopeptidases and asparaginyl endopeptidases [8]. Considering that both parasites produce the same waste product (i.e., hemozoin) from the same nutrient (i.e., hemoglobin), we hypothesized that there might be a convergence between Plasmodium and Schistosoma in the enzymes involved in the proteolytic activity. Indeed, the proteolytic cleavage profiles of crude hemoglobin at pH around 5 are almost identical when obtained by Plasmodium digestive plasmepsins or by schistosome digestive cathepsins [9]. This convergence is probably due mostly to the structural resistance to proteolysis of blood proteins, which allows them to be less sensitive to microbial infections. Thus, proteolysis can only occur on a few less structured sites as exemplified by the main proteolysis site 33–34 at the C-terminal extremity of a helix. Substrate specificity profiles for the digestive plasmepsins of Plasmodium are much better characterized than for schistosome digestive enzymes [10]. Thus, we selected the short peptide Phe-Val-Phe extracted from the substrate specificity study of Plasmodium plasmepsin II [11] because the synthesis did not require further protection/deprotection steps.
Therefore, drawing on our experience with alkoxyamines’ efficiency against tumors [6] and Plasmodium [12], alkoxyamines A3LA7L (Figure 1) carrying the peptide sequence L-Phe-Val-Phe-OH are tested (More details are provided in [12]). For comparison, the series D made of unnatural peptides is also investigated (Figure 1).

2. Materials and Methods

Preparation of alkoxyamines and reference samples. All reagents including anhydrous solvents used for the chemical synthesis were purchased from commercially available sources such as Merck, TCI, and Fluorochem, and were used without further purification. All air and/or water-sensitive reactions were carried out under an argon atmosphere with dry solvents using standard syringe-cannula/septa techniques. Routine monitoring of reactions was performed using Merck Silica gel 60 F254, aluminum-supported TLC plates; spots were visualized using UV light and ethanolic acidic para-anisaldehyde solution or ethanolic phosphomolybdic solution, followed by heating. Purifications by means of column chromatography were performed with Silica gel 60 (230–400 mesh). 1H, 13C, and 19F NMR spectra were obtained in CDCl3, MeOD (with residual H2O), D2O, DMSO-d6, or C6D6 solutions on by using Bruker AC400 (400 MHz) and Bruker AC300 (300 MHz) spectrometers. High-resolution mass spectra (HRMS) have been performed using a SYNAPT G2 HDMS (Waters) mass spectrometer equipped with a pneumatically assisted atmospheric pressure ionization (API) source. The sample was ionized in positive electrospray mode under the following conditions: electrospray voltage: 2.8 kV; port voltage: 20 V; Nebulizing gas flow rate (nitrogen): 100 L/h or in negative electrospray mode under the following conditions: electrospray voltage: −2.27 kV; port voltage: −20 V; Nebulizing gas flow rate (nitrogen): 100 L/h. The mass spectra (MS) were obtained with a time-of-flight (TOF) analyzer. The exact mass measurements were carried out in triplicate with external calibration. Homolysis constants were measured by EPR on an EMX Bruker spectrometer from 10−4 M samples in tertbutyl benzene or in a mixture of H2O-nPrOH (1:1; v:v).
General ethyl chloroformate/triethylamine procedure GP1. A solution of N-Boc-phenylalanine (1.3 eq) in THF (150 mL) is cooled to −15 °C under an argon atmosphere. Triethylamine (1.3 eq) is added, and then the ethyl chloroformate (1.3 eq). The reaction mixture is stirred at −15 °C for 1 h. Then, alkylaniline (1.0 eq) dissolved in THF (20 mL) is added and the reaction is stirred for 1 h at −15 °C, then at room temperature overnight. The solvent is removed in vacuo, and the residue is taken up in DCM. The organic layer is washed sequentially with 1 M HCl twice, saturated NaHCO3 solution twice and brine twice, dried over MgSO4, and evaporated under reduced pressure. The purification is performed by flash column chromatography (EtOAc/Petroleum ether).
General Salen/MnCl2 alkoxyamine synthesis procedure GP2. To a stirred solution of N,N’-bis(salicylidene)ethylene diamine (salen ligand, 0.25 eq.) in THF (10 mL) is added MnCl2 (0.25 eq) in an open flask. After 10 min of stirring at room temperature, a solution of TEMPO (1.0 eq) and 4-vinylanilido phenylalanine-Boc (1.2 eq) in THF (50 mL) is added, and then solid NaBH4 is added (4.0 eq) in four portions, every 10 min. The mixture is stirred between 24 h and 48 h at room temperature. At the end, the solution is dissolved in EtOAc (100 mL) in an Erlenmeyer and carefully quenched at 0 °C by the addition of 1 M HCl until the solution becomes colorless or slightly orange. Then, NaHCO3 is added up to neutral pH and the organic layer is washed with water (80 mL) and brine (80 mL). The organic layer is dried on MgSO4, filtered, and evaporated to dryness. The purification is performed by flash column chromatography (EtOAc/Petroleum ether).
General Boc deprotection procedure GP3. The Boc-residue (1.0 eq) is dissolved in DCM (45 mL, VDCM = 4VTFA) and TFA (10.0 eq) is added under air. The reaction mixture is stirred at room temperature. Once the substrate is fully consumed, toluene (25 mL) is added, and the solvents are removed in vacuo. The co-evaporation is repeated twice. The purification by flash column chromatography (EtOAc/Petroleum ether) is performed.
General DCC/HOBt procedure GP4. Diisopropylethylamine (1.0 eq) is added to a stirred solution of TFA salt (1.0 eq) under argon. The mixture is stirred for 10 min at room temperature, then Boc-dipeptide (1.1 eq) and HOBt (1.1 eq) are added and stirred until dissolved. The mixture is cooled to 0 °C, and DCC or EDCI (1.1 eq) is added. The mixture is stirred overnight at room temperature. The mixture is filtered with cold DCM, and washed with 1 M HCl, NaHCO3 (saturated solution), and brine. The purification is performed by flash column chromatography (EtOAc/Petroleum ether).
General TFA removing procedure GP5. 1 M NaOH solution (6 mL) is added to a stirred solution of TFA salt (1.0 eq) under air. The mixture is stirred for 10 min at room temperature, the mixture becomes cloudy. Then, a few drops of MeOH are added and the aqueous phase is extracted three times with DCM (5 mL). The organic layer is dried with MgSO4, filtered, and the solvent is evaporated to dryness.
General hydrogenation procedure GP6. To a solution of the benzylated compound (1.0 eq) in MeOH (20 mL) is added Pd/(C) (10% weight). Then, the atmosphere in the flask is replaced by the H2 atmosphere and stirred. Once the substrate is fully consumed, the mixture is filtrated through a pad of celite, rinsed with MeOH, and the solvent is evaporated to dryness.
tert-butyl (S)-(1-oxo-3-phenyl-1-((4-vinylphenyl)amino)propan-2-yl)carbamate P3L. By using the general ethyl chloroformate/triethylamine procedure on N-Boc-L-phenylalanine P1L (12.44 g, 46.910 mmol, 1.3 eq) and 4-vinylaniline (4.30 g, 36.085 mmol, 1.0 eq) afforded P3L as a white solid (11.89 g, yield: 90%).
Benzyl (tert-butoxycarbonyl)-L-phenylalanyl-L-valinate P4L. Using GP4 with HCl.H2N-L-Val-Bn P2L (10.00 g, 41.03 mmol, 1.0 eq) and BocHN-L-Phe-OH P1L (11.97 g, 45.13 mmol, 1.1 eq). The purification by column chromatography (EtOAc/Petroleum ether) of crude P4L affords a white solid (18.07 g, 97%) as reported in the literature [13].
(Tert-butoxycarbonyl)-L-phenylalanyl-L-valine P5L. Using GP6 with P4L (12.00 g, 26.417 mmol, 1.0 eq) affords P5L as a white solid (9.62 g, quantitative yield) as described in the literature [14].
Benzyl (tert-butoxycarbonyl)-L-phenylalanyl-L-valyl-L-phenylalaninate P6L. Using GP4 with L-Phenylalanine benzyl ester hydrochloride (2.000 g, 6.854 mmol, 1.0 eq) and P5L. The purification by flash column chromatography (DCM/MeOH, 98: 2, v/v) of the crude P6L affords a white solid (3.00 g, yield 73%).
(Tert-butoxycarbonyl)-L-phenylalanyl-L-valyl-L-phenylalanine P7L. Using GP6 with P6L (0.53 g, 0.881 mmol, 1.0 eq) and Pd/(C) (0.053 g, 10% weight) and the solvent is evaporated to dryness to afford the pure P7L as white solid (0.44 g, 90%) as reported in the literature [15].
(S)-1-(((S)-1-(((S)-1-(benzyloxy)-1-oxo-3-phenylpropan-2-yl)amino)-3-methyl-1-oxobutan-2-yl)amino)-1-oxo-3-phenylpropan-2-aminium trifluoroacetate P8L. By usingGP3 with P6L (0.60 g, 0.997 mmol, 1.0 eq) afforded P8L as a white solid (0.49 g, yield 79%).
Benzyl 4-(((S)-1-(((S)-1-(((S)-1-(benzyloxy)-1-oxo-3-phenylpropan-2-yl)amino)-3-methyl-1-oxobutan-2-yl)amino)-1-oxo-3-phenylpropan-2-yl)amino)-4-oxobutanoate P9L. Using GP4 (DCC is replaced by EDCI.HCl) with P8L (0.20 g, 0.391 mmol, 1.0 eq) affords crude P9L. The purification by column chromatography (DCM/MeOH) affords P9L as a white solid (0.17 g, yield 62%).
4-(((S)-1-(((S)-1-(((S)-1-carboxy-2-phenylethyl)amino)-3-methyl-1-oxobutan-2-yl)amino)-1-oxo-3-phenylpropan-2-yl)amino)-4-oxobutanoic acid P10L. Using GP6 with P9L (0.12 g, 0.173 mmol, 1.0 eq) affords P10L as a white solid (0.08 g, yield 94%).
(S)-1-(((S)-1-(((S)-1-carboxy-2-phenylethyl)amino)-3-methyl-1-oxobutan-2-yl)amino)-1-oxo-3-phenylpropan-2-aminium trifluoroacetate P11L. Using GP6 with P8L (2.50 g, 4.063 mmol, 1.0 eq) affords P11L as a white solid (2.00 g, yield 94%).
(4-(benzyloxy)-4-oxobutanoyl)-L-phenylalanyl-L-valyl-L-phenylalanine P12L. 4-(benzyloxy)-4-oxobutanoic acid (0.087 g, 0.418 mmol, 1.1 eq) and HOBt (0.056 g, 0.418 mmol, 1.1 eq) are dissolved in DCM, under argon, and stirred until clearance. The mixture is cooled to 0 °C and EDCI.HCl (0.080 g, 0.418 mmol, 1.1 eq) was added. The mixture is stirred for 1 h at 0 °C. Then, a solution of diisopropylethylamine (0.06 mL, 0.380 mmol, 1.0 eq) and peptide TFA salt P11L (0.20 g, 0.380 mmol, 1.0 eq) in DCM is added dropwise. The mixture is stirred for 30 min at 0 °C and overnight at room temperature. The mixture is washed with 1 M HCl and brine. The organic layer was dried with MgSO4, filtered, and the solvent was evaporated to dryness. The purification by column chromatography (DCM/MeOH) affords P12L as a white solid (0.108 g, 47%).
Benzyl (((9H-fluoren-9-yl)methoxy)carbonyl)-L-phenylalanyl-L-valinate P14L. Using GP4 with HCl.H2N-L-Val-Bn P2L (2.00 g, 8.205 mmol, 1.0 eq), Fmoc-L-Phe-OH P13L (3.49 g, 9.025 mmol, 1.1 eq) and HOBt (1.22 g, 9.025 mmol, 1.1 eq) affords P14L. The purification by column chromatography (EtOAc/Petroleum ether) affords P14L as a white solid (4.06 g, 86%).
(((9H-fluoren-9-yl)methoxy)carbonyl)-L-phenylalanyl-L-valine P15L. Using GP6 with P14L (3.80 g, 6.589 mmol, 1.0 eq) affords P15L as a white solid (3.15 g, yield 98%). Already described in the literature [16].
Benzyl (((9H-fluoren-9-yl)methoxy)carbonyl)-L-phenylalanyl-L-valyl-L-phenylalaninate P16L. Using GP4 with Fmoc-L-Phe-L-Val-OH P15L (0.16 mg, 0.328 mmol, 1.0 eq) and HCl.H2N-L-Phe-Bn (0.11 mg, 0.360 mmol, 1.1 eq) affords crude P16L. The purification by column chromatography (DCM/MeOH) yields P16L as a white solid (0.17 g, 71%).
L-phenylalanyl-L-valyl-L-phenylalanine P18L. To a solution of the amino acid Fmoc-L-Phe-L-Val-L-Phe-OBn P16L (1.300 g; 1.795 mmol; 1.0 eq.) in DCM (15 mL) at 0 °C under Argon was added in one fraction DBU (0.29 mL; 1.975 mmol; 1.1 eq.). After 3 h, the mixture was directly loaded on a silica gel column chromatography (DCM/MeOH) to obtain the primary amine. Then, GP6 is applied to this product (0.25 g, 0.498 mmol, 1.0 eq) affording P18L as a white solid (0.11 g, yield 52%).
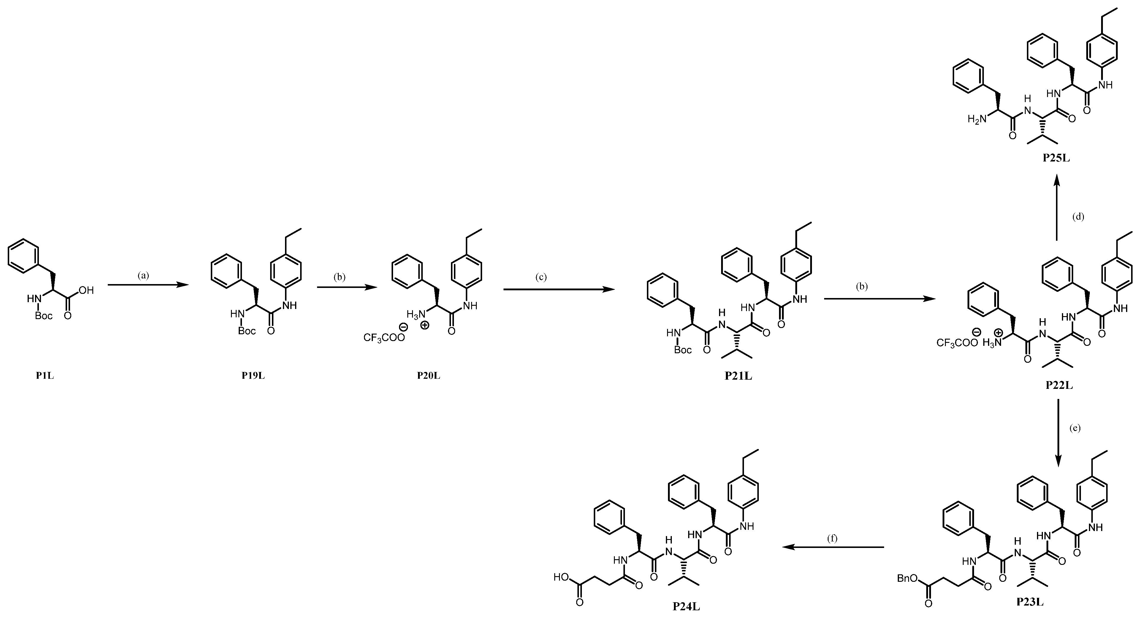
tert-butyl (S)-(1-oxo-3-phenyl-1-((4-vinylphenyl)amino)propan-2-yl)carbamate P19L. Using GP1, N-Boc-phenylalanine P1L (11.38 g, 42.911 mmol, 1.3 eq), triethylamine (5.79 mL, 42.911 mmol, 1.3 eq) and ethyl chloroformate (3.81 mL, 42.911 mmol, 1.3 eq) provides P19L as a white solid (10.72 g, 88%).
(S)-1-((4-ethylphenyl)amino)-1-oxo-3-phenylpropan-2-aminium trifluoroacetate P20L: Using GP3 with the Boc-residue P19L (5.00 g, 13.58 mmol, 1.0 eq) and TFA (11.65 mL, 152.23 mmol, 10.0 eq) afforded P20L as a white solid (5.20 g, quant).
tert-butyl ((S)-1-(((S)-1-(((S)-1-((4-ethylphenyl)amino)-1-oxo-3-phenylpropan-2-yl)amino)-3-methyl-1-oxobutan-2-yl)amino)-1-oxo-3-phenylpropan-2-yl)carbamate P21L. By using GP4 with P20L (2.00 g, 5.233 mmol, 1.0 eq), the Purification by flash column chromatography (EtOAc/Petroleum ether) of the crude product afforded a white solid (3.00 g, yield 93%). Product containing less than 8% residual DCU.
(S)-1-(((S)-1-(((S)-1-((4-ethylphenyl)amino)-1-oxo-3-phenylpropan-2-yl)amino)-3-methyl-1-oxobutan-2-yl)amino)-1-oxo-3-phenylpropan-2-aminium trifluoroacetate P22L. By GP3 with P21L (3.20 g, 5.208 mmol, 1.0 eq) afforded P22L as a white solid (1.96 g, yield 60%).
Benzyl 4-(((S)-1-(((S)-1-(((S)-1-((4-ethylphenyl)amino)-1-oxo-3-phenylpropan-2-yl)amino)-3-methyl-1-oxobutan-2-yl)amino)-1-oxo-3-phenylpropan-2-yl)amino)-4-oxobutanoate P23L. Using GP4 (DCC is replaced by EDCI.HCl) with P22L (1.83 g, 2.917 mmol, 1.0 eq) affords P23L as a white solid (1.05 g, yield 50%).
4-(((S)-1-(((S)-1-(((S)-1-carboxy-2-phenylethyl)amino)-3-methyl-1-oxobutan-2-yl)amino)-1-oxo-3-phenylpropan-2-yl)amino)-4-oxobutanoic acid P24L. Using GP6 with P23L (0.12 g, 0.173 mmol, 1.0 eq) affords P24L as a white solid (0.08 g, yield 94%).
(S)-2-((S)-2-amino-3-phenylpropanamido)-N-((S)-1-((4-ethylphenyl)amino)-1-oxo-3-phenylpropan-2-yl)-3-methylbutanamide P25L. Using GP5 with P22L (0.33 g, 0.525 mmol, 1.0 eq) affords P25L as a white solid (0.25 g, yield 92%).
tert-butyl (R)-(1-oxo-3-phenyl-1-((4-vinylphenyl)amino)propan-2-yl)carbamate P3D. By using GP1 with N-Boc-D-phenylalanine P1D (12.44 g, 46.910 mmol, 1.3 eq) and 4-vinylaniline (4.30 g, 36.085 mmol, 1.0 eq) afforded P3D as a white solid (11.23 g, yield 85%).
Benzyl (tert-butoxycarbonyl)-D-phenylalanyl-D-valinate P4D. Using GP4 with Boc-D-Phenylalanine P1D (7.69 g, 28.99 mmol, 1.1 eq) and D-valine benzyl ester p-toluenesulfonate P2D (10.00 g, 26.35 mmol, 1.0 eq). The purification by column chromatography (EtOAc/Petroleum ether) of crude P4D affords a white solid (10.30 g, 86%).
(Tert-butoxycarbonyl)-D-phenylalanyl-D-valine P5D. Using GP6 with P4D (9.00 g, 19.808 mmol, 1.0 eq) affords P4D as a white solid (6.49 g, yield 90%) as described in the literature [17].
Benzyl (tert-butoxycarbonyl)-D-phenylalanyl-D-valyl-D-phenylalaninate P6D. Using GP4 with L-Phenylalanine benzyl ester hydrochloride P5D (3.00 g, 8.237 mmol, 1.0 eq) affords crude P6D. The purification by flash column chromatography (DCM/MeOH, 98:2, v/v) yields P6D as a white solid (4.22 g, yield 84%).
(Tert-butoxycarbonyl)-D-phenylalanyl-D-valyl-D-phenylalanine P7D. Using GP6 with P6D (2.50 g, 4.157 mmol, 1.0 eq) affords P7D as a white solid (2.12 g, quantitative yield).
(R)-1-(((R)-1-(((R)-1-(benzyloxy)-1-oxo-3-phenylpropan-2-yl)amino)-3-methyl-1-oxobutan-2-yl)amino)-1-oxo-3-phenylpropan-2-aminium trifluoroacetate P8D. By using GP3 with P6D (0.60 g, 0.997 mmol, 1.0 eq) afforded P8D as a crude white solid (0.31 g, yield 50%).
(R)-1-(((R)-1-(((R)-1-carboxy-2-phenylethyl)amino)-3-methyl-1-oxobutan-2-yl)amino)-1-oxo-3-phenylpropan-2-aminium trifluoroacetate P11D. Using GP6 with P8D (0.24 g, 0.377 mmol, 1.0 eq) affords P11D as a white solid (0.17 g, yield 85%).
Tert-butyl ((R)-1-(((R)-1-(((R)-1-((4-ethylphenyl)amino)-1-oxo-3-phenylpropan-2-yl)amino)-3-methyl-1-oxobutan-2-yl)amino)-1-oxo-3-phenylpropan-2-yl)carbamate P21D. A solution of the N-Boc-D-Phe-D-Val-D-Phe-OH P7D (2.14 g, 4.185 mmol, 1.2 eq) in THF (50 mL) is cooled to −15 °C under argon atmosphere. Triethylamine (0.56 mL, 4.185 mmol, 1.2 eq) is added, and then ethyl chloroformate (0.37 mL, 4.185 mmol, 1.2 eq). The reaction mixture is stirred at −15 °C. After 1 h, 4-ethylaniline (0.43 g, 3.487 mmol, 1.0 eq) dissolved in THF (15 mL) was added and the reaction was allowed to stir for 1 h at −15 °C, then at room temperature overnight. The solvent is removed in vacuo, and the residue is taken up in DCM. The organic layer is washed sequentially with 1 M HCl twice, saturated NaHCO3 solution twice and brine twice, dried over MgSO4, and evaporated under reduced pressure. The purification by flash column chromatography (EtOAc/Petroleum ether) affords P21D as a white solid (0.47 mg, 22%).
(R)-1-(((R)-1-(((R)-1-((4-ethylphenyl)amino)-1-oxo-3-phenylpropan-2-yl)amino)-3-methyl-1-oxobutan-2-yl)amino)-1-oxo-3-phenylpropan-2-aminium trifluoroacetate P22D. By using GP3 with P21D (0.27 g, 0.439 mmol, 1.0 eq) afforded P22D as a white solid; (0.25 g, yield 92%).
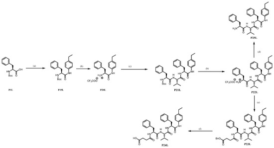
tert-butyl ((2S)-1-oxo-3-phenyl-1-((4-(1-((2,2,6,6-tetramethylpiperidin-1-yl)oxy)ethyl)phenyl)amino)propan-2-yl)carbamate A1L. Using GP2 with salen ligand (0.64 g, 2.389 mmol, 0.25 eq), MnCl2 (0.47 g, 2.389 mmol, 0.25 eq), TEMPO (1.49 g, 9.56 mmol, 1.0 eq) and 4-vinylanilido phenylalanine-Boc P3L (4.20 g, 11.469 mmol, 1.2 eq) afforded A1L as a white solid (2.70 mg, 54%, mixture of diastereomers, 1:1).
(2S)-1-oxo-3-phenyl-1-((4-(1-((2,2,6,6-tetramethylpiperidin-1-yl)oxy)ethyl)phenyl)amino)propan-2-aminium trifluoroacetate A2L. By using GP3 with A1L (0.86 g, 1.643 mmol, 1.0 eq) afforded A2L as a white solid (0.71 g, 81%). The product was directly used in the coupling reaction without characterization.
tert-butyl ((2S)-1-(((2S)-3-methyl-1-oxo-1-(((2S)-1-oxo-3-phenyl-1-((4-(1-((2,2,6,6-tetramethylpiperidin-1-yl)oxy)ethyl)phenyl)amino)propan-2-yl)amino)butan-2-yl)amino)-1-oxo-3-phenylpropan-2-yl)carbamate A3L. Using GP4 with A2L (0.72 g, 1.336 mmol, 1.0 eq) and DCC was replaced by EDCI.HCl to prevent the formation of DCU (a by-product that is difficult to remove entirely) affords crude A3L. The Purification by flash column chromatography (EtOAc/Petroleum ether) of the crude product afforded a white solid (0.76 g, yield 74%).
(2S)-1-(((2S)-3-methyl-1-oxo-1-(((2S)-1-oxo-3-phenyl-1-((4-(1-((2,2,6,6-tetramethylpiperidin-1-yl)oxy)ethyl)phenyl)amino)propan-2-yl)amino)butan-2-yl)amino)-1-oxo-3-phenylpropan-2-aminium trifluoroacetate A4L. By using GP3 with A3L (0.15 g, 0.195 mmol, 1.0 eq) afforded A4L as a white solid (0.091 g, yield 60%).
(2S)-2-((S)-2-amino-3-phenylpropanamido)-3-methyl-N-((2S)-1-oxo-3-phenyl-1-((4-(1-((2,2,6,6-tetramethylpiperidin-1-yl)oxy)ethyl)phenyl)amino)propan-2-yl)butanamide A5L. Using GP5 with A4L (0.045 mg, 0.057 mmol, 1.0 eq) affords A5L as a white solid (0.033 g, 87%).
Benzyl 4-(((2S)-1-(((2S)-3-methyl-1-oxo-1-(((2S)-1-oxo-3-phenyl-1-((4-(1-((2,2,6,6-tetramethylpiperidin-1-yl)oxy)ethyl)phenyl)amino)propan-2-yl)amino)butan-2-yl)amino)-1-oxo-3-phenylpropan-2-yl)amino)-4-oxobutanoate A6L. Using GP4 (DCC is replaced by EDCI.HCl) with A4L (1.48 g, 1.887 mmol, 1.0 eq) and 4-(benzyloxy)-4-oxobutanoic acid (0.43 g, 2.075 mmol, 1.1 eq) affords crude A6L. The purification by column chromatography (DCM/MeOH) affords A6L as a white solid (1.20 g, 73%).
4-(((2S)-1-(((2S)-3-methyl-1-oxo-1-(((2S)-1-oxo-3-phenyl-1-((4-(1-((2,2,6,6-tetramethylpiperidin-1-yl)oxy)ethyl)phenyl)amino)propan-2-yl)amino)butan-2-yl)amino)-1-oxo-3-phenylpropan-2-yl)amino)-4-oxobutanoic acid A7L. Using GP6 with A6L (0.521 g, 0.605 mmol, 1.0 eq) affords A7L as a white solid (0.422 g, yield 90%).
tert-butyl ((2R)-1-oxo-3-phenyl-1-((4-(1-((2,2,6,6-tetramethylpiperidin-1-yl)oxy)ethyl)phenyl)amino)propan-2-yl)carbamate A1D. By using GP2 with salen ligand (0.64 g, 2.39 mmol, 0.25 eq.), MnCl2 (0.47 g, 2.389 mmol, 0.25 eq), TEMPO (1.49 g, 9.56 mmol, 1.0 eq) and 4-vinylaniline D-phenylalanine-Boc P3D (3.50 g, 9.557 mmol, 1.2 eq) afforded A1D as a white solid (2.23 g, 58%, mixture of diastereomers, 1:1).
(2R)-1-oxo-3-phenyl-1-((4-(1-((2,2,6,6-tetramethylpiperidin-1-yl)oxy)ethyl)phenyl)amino)propan-2-aminium trifluoroacetate A2D. Using GP3 with A1D (1.50 g, 2.866 mmol, 1.0 eq) is afforded A2D as a white solid (1.33 g, yield: 86%). The product was used in coupling reaction without characterization.
tert-butyl ((2R)-1-(((2R)-3-methyl-1-oxo-1-(((2R)-1-oxo-3-phenyl-1-((4-(1-((2,2,6,6-tetramethylpiperidin-1-yl)oxy)ethyl)phenyl)amino)propan-2-yl)amino)butan-2-yl)amino)-1-oxo-3-phenylpropan-2-yl)carbamate A3D. Using GP4 with A2D (1.333 g, 2.481 mmol, 1.0 eq) affords crude A3D. The Purification by flash column chromatography (EtOAc/Petroleum ether) yields A3D as a white solid (1.300 g, yield 68%, mixture of diastereomers, 1:1).
(2R)-1-(((2R)-3-methyl-1-oxo-1-(((2R)-1-oxo-3-phenyl-1-((4-(1-((2,2,6,6-tetramethylpiperidin-1-yl)oxy)ethyl)phenyl)amino)propan-2-yl)amino)butan-2-yl)amino)-1-oxo-3-phenylpropan-2-aminium trifluoroacetate A4D. Using GP3 with A3D (0.30 g, 0.389 mmol, 1.0 eq) is afforded A4D as a white solid (0.16 g, 52%).
(2R)-2-((R)-2-amino-3-phenylpropanamido)-3-methyl-N-((2R)-1-oxo-3-phenyl-1-((4-(1-((2,2,6,6-tetramethylpiperidin-1-yl)oxy)ethyl)phenyl)amino)propan-2-yl)butanamide A5D. Using GP5 with A4D (0.035 g, 0.052 mmol, 1.0 eq) affords A5D as a white solid (0.024 g, yield 80%).
4-(Benzyloxy)-4-oxobutanoic acid. Succinic anhydride (8.00 g, 79.944 mmol, 1.0 eq) was dissolved in the mixture of anhydrous dichloromethane (10 mL) and Benzyl alcohol (12 mL). Triethylamine (3.2 mL, 23.983 mmol, 0.3 eq) and DMAP (9.76 g, 79.944 mmol, 1.0 eq) were added to this solution. The resulting clear solution was stirred at ambient temperature overnight. After which time, the mixture was dissolved in EtOAc (150 mL) and washed with a saturated solution of NaHCO3 (3 × 50 mL). The aqueous extracts were carefully acidified to pH 2 with concentrated HCl and then extracted with DCM (3 × 50 mL) and subsequently dried (Mg2SO4), filtered, and concentrated to afford the title compound (16.23 g, 97%) as a white solid with no further purification needed.
Kinetic experiments. Kinetics of A1A7 (Scheme 2) for series L and D are performed by monitoring the growth of nitroxide by Electron Paramagnetic Resonance (X-band EMX Bruker machine) in tert-butylbenzene and a water/n-PrOH (for a good solubility of the alkoxyamine) as solvents and using O2 as alkyl radical scavenger to suppress the back reaction (kc in Scheme 2) as already reported [18]. Homolysis rate constants kd are given by Equation (1) ([nitroxide] = [alkoxyamine]0 = 0.1 mM, see Table S1) and the subsequent activation energies Ea given by Equation (2).
l n n i t r o x i d e n i t r o x i d e t n i t r o x i d e = k d · t ,
E a = R T l n k d A .
Cytotoxicity experiments.
A non-cancer line of Vero cells was used to determine the cytotoxicity of the compound against mammalian cells. They were evaluated at a final DMSO concentration of 0.5%. The culture medium was MEM (Dutscher, Bernolsheim, France) supplemented with 10% fetal bovine serum (Fisher Scientific, Illkirch, France), 1X non-essential amino acids (Fisher Scientific, Illkirch, France), 100 U/mL, 100 µg/mL penicillin/streptomycin (Fisher Scientific, Illkirch, France), and 2 mM L-glutamine (Fisher Scientific, Illkirch, France) at 37 °C in a humidified 5% CO2 atmosphere [19]. Vero cells (100 µL of 105 cells/mL per well) were plated in 96-well plates for 24 h then treated with 100 µL of compound dilutions (in duplicate) during 48 h. All molecules were tested from 5 nM to 50 µM. Each well was then examined under the microscope to detect any precipitate formation before the supernatant was removed by flicking the plate. A volume of 100 µL of 0.5 mg/mL in MEM from a stock solution at 5 mg/mL of PBS-dissolved MTT (3-(4,5-dimethylthiazol-2-yl)-2,5-diphenyltetrazolium bromide, Sigma Aldrich/Merck, Darmstadt, Germany) was then added to each well [20].
After incubation for 1 h at 37 °C and 5% CO2 the supernatant was removed and 100 µL of DMSO were added. Plates were gently shaken to dissolve formazan crystals resulting from the MTT reduction by living cells and read at 570 nm with the VICTOR Nivo plate reader (Perkin Elmer, Waltham, MA, USA). CC50 values were determined using GraphPad Prism 7 software (San Diego, CA, USA).
Experiments on the viability of Schistosoma mansoni adult worms. In vitro tests were performed on Schistosoma mansoni NMRI strains. This parasite is lab maintained on Biomphalaria glabrata (BRE strain) as intermediate mollusc host and Golden Hamster (Janvier Labs, Le Genest-Saint-Isle, France) as definitive vertebrate host. Methods, for molluscs’ and hamsters’ infection and for parasite recovery, were previously described [21]. Adult worms were recovered by hepatic perfusion technique between 42 and 47 days post hamster exposition to parasite larvae. Worms were carefully collected and disposed in 12-well Falcon® plate containing 2 mL of RPMI 1640 (supplemented with L-glutamine and Hepes 25 mM). The plates containing a minimum of 15 worms by well were then placed in an incubator chamber at 37 °C and 5% CO2. The worms sex ratio was almost balanced in each well. The drug was first dissolved in DMSO (Sigma-Aldrich) to give a 100 mg/mL mother solution. Then the stock solution was complemented with Tween 80 and RPMI to obtain the following final ratio dilution: RPMI 1640/Tween 80/DMSO and 1000/0.95/3.8, v/v/v.
All molecules were tested at a final concentration of 100 µg/mL and 10 µg/mL. A negative control consisted in adding the same RPMI 1640/Tween 80/DMSO solution, but without any drug and a positive control consisted in adding praziquantel [22]. All molecules and control were performed in duplicates of well. The worm viability was checked after 1, 2, 3, 4, 5, 6, 7, 8, 24, 48, and 72 h after adding the molecule. Parasites exhibiting no body contractions during a 30 s observation were considered as dead.

3. Results

3.1. Synthesis

A3LA7L. Alkoxyamines A3LA7L were prepared in 4 steps for A3L and a few more for A4LA7L (Scheme 3) starting from the amino acid P1L transformed into amide P3L. The latter was coupled to TEMPO using the conventional Mn/salen procedure (see experimental section and references [23,24]) to afford alkoxyamine A1L which was hydrolyzed as salt A2L. Then, it was coupled to dipeptide P5L (Scheme 4) affording peptide-alkoxyamine A3L. The latter was deprotected as salt A4L which was, in turn, either neutralized as A5L or homologated in succinate and succinic derivatives A6L and A7L, respectively. The same procedure (see Supplementary Materials) was applied for the preparation of the unnatural series A3DA5D in similar yields for each step.
To investigate the potential effect of peptides or peptide analogues potentially observed during the decomposition of A3LA7L, derivatives P6LP12LP17LP18L, and P21LP25L were prepared as depicted in Scheme 4, Scheme 5 and Scheme 6. The same procedure (see Supplementary Materials) was applied for the preparation of the unnatural series D in similar yields for each step.

3.2. Kinetic Analysis

All homolysis rate constants kd are collected in Table 1. Activation energies Ea (given by Equation (2)) are around 130 kJ/mol as expected [25] for para-substituted amino-group-aryl-TEMPO-based alkoxyamines meaning that alkoxyamines are stable under our experimental conditions (t1/2 > 170 day at 37 °C). As expected, Ea does not depend on the configuration of the peptide chain. Moreover, no difference in Ea is observed between diastereoisomers.

3.3. Cytotoxicity Activity

Due to technical problems, it was not possible to perform cytotoxicity in the same concentrations as those used for toxicity experiments on schistosomes. Nevertheless, the cytotoxicity (CC50 > 50 μM) obtained on VERO cells after 48 h of treatment and reported for Plasmodium [12] shows that these molecules are rather inactive in mammalian cells [26]. Then, the approach developed in Scheme 1 may have involved different parts of the alkoxyamines in the inhibition processes both for toxicity and cytotoxicity. Hence, activity might be due to (a) the activity proposed in Scheme 1; (b) the toxicity of the released peptide (Scheme 7a); or (c) a non-radical activity of alkoxyamines which is mimicked with structures displayed in Scheme 7b. To address items (b) and (c), peptides P7LP10LP12L, and P18L and P21LP25L were then prepared, respectively, as described in Scheme 4, Scheme 5 and Scheme 6.
Interestingly, all models from the L series, whether peptides alone or hybrid compounds, are non-cytotoxic (cytotoxicity concentration CC50 > 50 μM) [12]. Importantly, peptide-alkoxyamine hybrids in the natural series L are stable in our experimental conditions and not cytotoxic at 50 μM, confirming their specificity on schistosome. However, peptides P8L and P9L, which display the benzylated end-carboxy function, show an unexpected toxicity contrary to P6L (Table S1). The latter is tentatively ascribed to an inhibition effect due to a binding constant enhanced by the presence of the benzyl group on the carboxy-terminal function.
Peptide-D models P6DP8DP21D, and P22D are unexpectedly toxic (Table S1) whereas only P6D and P22D are also cytotoxic (Table S1). This activity is tentatively ascribed to an inhibition effect due to the wrong D configuration. Alkoxyamines A4D, and A5D (Table S1), which have been developed because eucaryote cells are not able to hydrolyze peptides of D-series, are surprisingly both cytotoxic for VERO cells and toxic to schistosomes. We tentatively ascribed these unexpected results either to the inhibition of the D-configuration of peptides (vide supra) or to the activity of bacteria in the digestive tube of schistosomes. Recent studies have evidenced the presence of bacteria interacting with schistosomes which could lead to the development of new control strategies targeting microbiomes [27]. However, at this stage, no better reasons can be provided and these alkoxyamines and peptides are not further discussed as they are not the focus of this article.

3.4. Schistosomicidal Activity

By analogy with plasmepsins of Plasmodium, which is also a hemoglobin-ingesting parasite, the peptide sequence Boc-Phe-Val-Phe can be considered as a potential substrate for the schistosome’s digestive enzymes. A3LA7L should be hydrolyzed by schistosome and should exhibit activities, while they should not display any activity in mammalian cells because they do not have any chymotrypsin-like secreted activity. Table 2 shows that A4L and A5L are the most efficient molecules, A3L is inactive, and A6L and A7L are less active. The inactivity of A3L can be explained by its poor solubility. In the context of the schistosome digestive tube at pH 5.5, A6L is not protonated until the Boc group is enzymatically removed and A7L is less protonated than at pH 7, thus also poorly soluble. A4L and A5L however are fully protonated at pH 5.5, thus more soluble.
As mentioned above, peptide models are not cytotoxic for VERO cells. Surprisingly, peptide P10L displays some activity towards schistosomes which cannot be understood at this stage of our investigations. However, the cytotoxicity of P10L impacts only the discussion concerning AL7. On the other hand, and as expected, peptide models P21LP25L carrying the phenylethyl moiety display no activity (closest non-reactive models of alkoxyamines A3LA7L, that cannot produce alkyl radicals, see Scheme 7b and Table 2), which suggests that non-activated alkoxyamine are likely to be non-cytotoxic. Importantly, all alkoxyamines are thermally stable under our experimental conditions (see Table 1) meaning that the activities observed are likely due to their activation by schistosome enzymes.
None of the peptide-alkoxyamine hybrids displays any activity at concentrations of 10 μg/mL.

4. Discussion

As mentioned above, peptide models are not cytotoxic for VERO cells. Then, matching the activities of peptide-alkoxyamine hybrids with the activities of peptides P11L and P22L for A4LP18L and P25L for A5L, and P23L for A6L shows that all these peptides display no activity. Therefore, the activity observed is due to the alkoxyamine moiety.
The lower activity of A6L and the non-activity of A3L highlight the importance of the substituent at the N-terminal position since, namely, a Boc-group cancels the activity (see A3L in Table 2), Benzylated succinyl groups lower the activity, and a succinyl moiety affords a peptide 10L displaying some activity as in A7L. Nevertheless, A6L is able to kill schistosomes by releasing alkyl radicals as expected.
In sharp contrast to A6L, alkoxyamines A4L and A5L display a higher activity which is similar, i.e., the time to kill 50% of parasites is 2 h for A4L and A5L, vs. 24 h for A6L (Table 2).
Importantly, the free-amino-peptide-based alkoxyamine A5L and the TFE-salt-peptide-based alkoxyamine A4L display the same structure in water solution, i.e., the protonated amino-terminal group, and as expected both alkoxyamines display the same activity (Table 2) (For technical reasons, it was not possible to record the same after 8 h for A4L. Moreover, the discussion of the expected reactivity is spoiled by the unexpected activity of P8L). Therefore, these results highlight the need for positively charged NH2-terminal groups (Table 2) to observe the activity displayed in Scheme 1, which makes sense at pH 5.5. Consequently, alkoxyamines A4LA6L nicely support the proposed strategy, as displayed in Scheme 1 and Scheme 8.
Peptide-alkoxyamine hybrid activity targets the parasite’s mandatory digestion cascade. This strategy has already been used with other molecules such as trioxaquines, which have shown both in vitro and in vivo activities [28]. Our strategy considered that since there was a convergence with Plasmodium in the degradation chain from hemoglobin to hemozoin production, there could be a convergence in the actors involved in this proteolysis. This strategy proved effective, as our molecules are effective against schistosomes even though the plasmepsins are not present in their genome. This does not prevent convergent activity from a different family of proteases from occurring. Indeed, in a study comparing the genomic structures of the aspartic proteinase family genes, including the cathepsin D gene of schistosome, it was shown that there were exons that were common to both plasmepsins I, II, and IV from Plasmodium falciparum and cathepsin D from schistosome. Both plasmepsins I, II, and IV and cathepsin D have been evidenced to be major actors in hemoglobin degradation in Plasmodium [10] and schistosome [29], respectively. In vitro, the parasite’s digestive tract probably contains only a few globules, which could lead to low protease secretion in the digestive tract and hence slow activation of the alkoxyamine prodrugs. We would expect better activity by using parasites fed with red blood cells in in vitro or in in vivo experiments.

5. Conclusions

Although the activity of A5L and A4L (time to kill 50% = 2 h) is lower than that of praziquantel (time to kill 50% < 1 h), our results highlight the potential of our approach (Scheme 1 and Scheme 8), i.e., that the Schistosoma parasite could dig its grave with its fork. That is, the mandatory feeding enzymatic activity of worms can be used to activate a prodrug able to release specifically in the desired target, due to the specific peptide, a non-selective and highly toxic free radical drug leading to the death of parasites. This original approach could lead to the development of antiparasitic compounds that are particularly safe for patients, with no or limited side effects.

Supplementary Materials

The following supporting information can be downloaded at: https://www.mdpi.com/article/10.3390/pathogens13060482/s1, Table S1: Doses of alkoxyamines provided to Schistosoma at 37 °C, time to reach the death of half of the population of worms, time to kill all parasites, and their cytotoxicity on Vero cells (CC50 in μM). Table S2: Biological activity/ raw data. Analatical data, NMR and HRMS data of all chemiscals prepared in the article are provided in SM.

Author Contributions

Conceptualization, S.R.A.M., P.M., J.B. and G.A.; methodology, A.W.E.-I., M.N., J.-P.J., M.C., J.-M.A., L.P., N.V., R.B., A.R., F.B.-V., G.A., P.M., J.B. and S.R.A.M.; investigation, A.W.E.-I., M.N., J.-P.J., M.C., J.-M.A., L.P., N.V., R.B., A.R., F.B.-V., G.A., P.M., J.B. and S.R.A.M.; writing—original draft preparation, A.W.E.-I., M.N., J.-P.J., M.C., J.-M.A., L.P., N.V., R.B., A.R., F.B.-V., G.A., P.M., J.B. and S.R.A.M.; writing—review and editing, A.W.E.-I., M.N., J.-P.J., M.C., J.-M.A., L.P., N.V., R.B., A.R., F.B.-V., G.A., P.M., J.B. and S.R.A.M. All authors have read and agreed to the published version of the manuscript.

Funding

This research was funded by the Agence Nationale de la Recherche (ANR), grant number ANR-17-CE18-0017, the Fondation pour la Recherche Médicale, grant number Équipe FRM EQU202103012596, the CNRS (Centre National de la Recherche Scientifique), and the Inserm (Institut National de la Santé et de la Recherche Médicale) ERL1289.

Institutional Review Board Statement

The animal study protocol was carried out according to national ethical standards established in the writ of February 1st, 2013 (NOR: AGRG1238753A), setting the conditions for approval, planning and operation of establishments, and breeders and suppliers of animals used for scientific purposes and controls. The French government approved the experiments carried out for this study and provided permit A66040 for animal experimentation. The investigator possesses the official certificate for animal experimentation delivered by the Ministry of Research (Decret n˚ 87–848 du 19 octobre 1987; number of the authorization 007083).

Informed Consent Statement

Not application.

Data Availability Statement

Data are contained within the article and Supplementary Materials.

Acknowledgments

SRAM: AG, AI, and JPJ thank Aix-Marseille University and CNRS for their support. JB thanks Julien Portela from ParaDev company for outsourcing parasitological tests.

Conflicts of Interest

Jerome Boissier is the cofounder of ParaDev company that was subcontracted to carry out the antiparasitic tests on the Schistosome.

References

  1. Mouahid, J.; Moneé, G. Schistosoma spp. In Water and Sanitation for the 21st Century: Health and Microbiological Aspects of Excreta and Wastewater Management (Global Water Pathogen Project); Rose, J.B., Jimeénez-Cisneros, B., Robertson, L., Eds.; Part 3: Specific Excreted Pathogens: Environmental and Epidemiology Aspects—Section 4:, Helminths; Michigan State University: East Lansing, MI, USA; UNESCO: Paris, France, 2019. [Google Scholar]
  2. Theétiot-Laurent, S.A.-L.; Boissier, J.; Robert, A.; Meunier, B. A Schistosomiasis Model with Diffusion Effects. Angew. Chem. Int. Ed. 2013, 52, 7936–7956. [Google Scholar]
  3. Summers, S.; Bhattacharyya, T.; Allan, F.; Stothard, J.R.; Edielu, A.; Webster, B.L.; Miles, M.A.; Bustinduy, L.A. A review of the genetic determinants of praziquantel resistance in Schistosoma mansoni: Is praziquantel and intestinal schistosomiasis a perfect match? Front. Trop. Dis. 2022, 3, 933097. [Google Scholar] [CrossRef]
  4. Skelly, P.J.; Da’dara, A.A.; Li, X.-H.; Castro-Borges, W.; Alan Wilson, R. Schistosome feeding and regurgitation. PLoS Pathog. 2014, 10, e1004246. [Google Scholar] [CrossRef] [PubMed]
  5. Egan, T.J. Haemozoin formation. Mol. Biochem. Parasitol. 2008, 157, 127–136. [Google Scholar] [CrossRef] [PubMed]
  6. Seren, S.; Joly, J.-P.; Voisin, P.; Bouchaud, V.; Audran, G.; Marque, S.R.A.; Mellet, P. Neutrophil Elastase-activatable Prodrugs Based on an Alkoxyamine Platform to Deliver Alkyl Radicals Cytotoxic to Tumor Cells. J. Med. Chem. 2022, 65, 9253–9266. [Google Scholar] [CrossRef] [PubMed]
  7. Brinkwort, R.I.; Prociv, P.; Loukas, A.; Brindley, P.J. Hemoglobin-degrading, aspartic proteases of blood-feeding parasites: Substrate specificity revealed by homology models. J. Biol. Chem. 2001, 276, 38844–38851. [Google Scholar] [CrossRef] [PubMed]
  8. Delcroix, M.; Sajid, M.; Caffrey, C.R.; Lim, K.C.; Dvorak, J.; Hsieh, I.; Bahgat, M.; Dissous, C.; McKerrow, J.H. A multienzyme network functions in intestinal protein digestion by a platyhelminth parasite. J. Biol. Chem. 2006, 281, 39316–39329. [Google Scholar] [CrossRef]
  9. Gluzman, I.Y.; Francis, S.E.; Oksman, A.; Smith, C.E.; Duffin, K.L.; Goldberg, D.E. Order and Specificity of the Plasmodium falciparum Hemoglobin Degradation Pathway. J. Clin. Investig. 1994, 93, 1602–1608. [Google Scholar] [CrossRef]
  10. Nasamu, A.S.; Polino, A.J.; Istvan, E.S.; Goldberg, D.E. Malaria parasite plasmepsins: More than just plain old degradative pepsins. J. Biol. Chem. 2020, 295, 8425–8441. [Google Scholar] [CrossRef]
  11. Tyas, L.; Gluzman, I.; Moon, R.P.; Rupp, K.; Westling, J.; Ridley, R.G.; Kay, J.; Goldberg, D.E.; Berry, C. Naturally-occurring and recombinant forms of the aspartic proteinases plasmepsins I and II from the human malaria parasite Plasmodium falciparum. FEBS Lett. 1999, 454, 210–214. [Google Scholar]
  12. Embo-Ibouanga, A.W.; Nguyen, M.; Paloque, L.; Coustets, M.; Joly, J.-P.; Augereau, J.-M.; Vanthuyne, N.; Bikanga, R.; Coquin, N.; Robert, A.; et al. Hybrid Peptide-Alkoxyamine drugs: A strategy for the Development of a New Family of Antiplasmodial Drugs. Molecules 2024, 29, 1397. [Google Scholar] [CrossRef] [PubMed]
  13. Niroula, D.; Hallada, L.P.; Le Chapelain, C.; Ganegamage, S.K.; Dotson, D.; Rogelj, S.; Groll, M.; Tello-Aburto, R. Design, synthesis, and evaluation of cystargolide-based β-lactones as potent proteasome inhibitors. Eur. J. Med. Chem. 2018, 157, 962–977. [Google Scholar] [CrossRef] [PubMed]
  14. Rawale, S.; Hrihorczuk, L.M.; Wei, W.-Z.; Zemlicka, J. Synthesis and Biological Activity of the Prodrug of Class I Major Histocompatibility Peptide GILGFVFTL Activated by β-Glucuronidase. J. Med. Chem. 2002, 45, 937–943. [Google Scholar] [CrossRef]
  15. Palui, G.; Nanda, J.; Ray, S.; Banerjee, A. Fabrication of Luminescent CdS Nanoparticles on Short-Peptide-Based Hydrogel Nanofibers: Tuning of Optoelectronic Properties. Chem. Eur. J. 2009, 15, 6902–6909. [Google Scholar] [CrossRef] [PubMed]
  16. Adams, D.J.; Mullen, L.M.; Berta, M.; Chen, L.; Frith, W.J. Relationship between molecular structure, gelation behaviour and gel properties of Fmoc-dipeptides. Soft Matter 2010, 6, 1971–1980. [Google Scholar] [CrossRef]
  17. Wang, B.; Waters, A.L.; Valeriote, F.A.; Hamann, M.T. An efficient and cost-effective approach to kahalalide F N-terminal modifications using a nuisance algal bloom of Bryopsis pennata. Biochim. Biophys. Acta Gen. Subj. 2015, 1850, 1849–1854. [Google Scholar] [CrossRef] [PubMed]
  18. Marque, S.; Le Mercier, C.; Tordo, P.; Fischer, H. Factors Influencing the C-O-Bond Homolysis of Trialkylhydroxylamines. Macromolecules 2000, 33, 4403–4410. [Google Scholar] [CrossRef]
  19. Ammerman, N.C.; Beier-Sexton, M.; Azad, A.F. Growth and Maintenance of Vero Cell Lines. Curr. Protoc. Microbiol. 2008, 11, A.4E.1–A.4E.7. [Google Scholar] [CrossRef] [PubMed]
  20. Mosmann, T. Rapid colorimetric assay for cellular growth and survival: Application to proliferation and cytotoxicity assays. J. Immunol. Methods 1983, 65, 55–63. [Google Scholar] [CrossRef]
  21. Dumont, M.; Moné, H.; Mouahid, G.; Idris, M.A.; Shaban, M.; Boissier, J. Influence of pattern of exposure, parasite genetic diversity and sex on the degree of protection against reinfection with Schistosoma mansoni. Parasitol. Res. 2007, 101, 247–252. [Google Scholar] [CrossRef]
  22. Merck KGaA, Darmstadt, Germany. Available online: https://www.merckgroup.com/en (accessed on 27 March 2024).
  23. Takeuchi, M.; Kano, K. Mechanisms for (Porphinato)manganese(III)-Catalyzed Oxygenation and Reduction of Styrenes in Benzene–Ethanol Containing Sodium Borohydride. Bull. Chem. Soc. Jap. 1994, 67, 1726–1733. [Google Scholar] [CrossRef]
  24. Dao, J.; Benoit, D.; Hawker, C.J. A versatile and efficient synthesis of alkoxyamine LFR initiators via manganese based asymmetric epoxidation catalysts. J. Pol. Sci. Part A Pol. Chem. 1998, 36, 2161. [Google Scholar] [CrossRef]
  25. Marque, S.; Fischer, H.; Baier, E.; Studer, A. Factors Influencing the C-O-Bond Homolysis of Alkoxyamines: Effect of H-Bonding and Polar Substituents. J. Org. Chem. 2001, 66, 1146–1156. [Google Scholar] [CrossRef]
  26. Ouji, M.; Barnoin, G.; Fernandez Alvarez, A.; Augereau, J.-M.; Hemmert, C.; Benoit-Vical, F.; Gornitzka, H. Hybrid Gold(I) NHC-Artemether Complexes to Target Falciparum Malaria Parasites. Molecules 2020, 25, 2817. [Google Scholar] [CrossRef] [PubMed]
  27. Formenti, F.; Cortés, A.; Deiana, M.; Salter, S.; Parkyill, J.; Berriman, M.; Rinaldi, G.; Cantacessi, C. The human blood fluke, Schistosoma mansoni harbors bacteria throughout the parasite’s life cycle. J. Infect. Dis. 2023, 228, 1299–1303. [Google Scholar] [CrossRef] [PubMed]
  28. Portela, J.; Boissier, J.; Gourbal, B.; Pradines, V.; Colliere, V.; Cosledan, F.; Meunier, B.; Robert, A. Antischistosomal activity of trioxaquines: In vivo efficacy and mechanism of action on Schistosoma mansoni. PLoS Negl. Trop. Dis. 2012, 6, e1474. [Google Scholar] [CrossRef]
  29. Morales, M.E.; Rinaldi, G.; Gobert, G.N.; Kines, K.J.; Tort, J.F.; Brindley, P.J. RNA interference of Schistosoma mansoni cathepsin D, the apical enzyme of the hemoglobin proteolysis cascade. Mol. Biochem. Parasitol. 2008, 157, 160–168. [Google Scholar] [CrossRef]
Scheme 1. Scheme for the concept: digging their graves with their forks.
Scheme 1. Scheme for the concept: digging their graves with their forks.
Pathogens 13 00482 sch001
Figure 1. Peptide-alkoxyamines investigated as anti-schistosomal drugs. L and D are for the configuration of the residues on the peptides as given by Fischer’s rules.
Figure 1. Peptide-alkoxyamines investigated as anti-schistosomal drugs. L and D are for the configuration of the residues on the peptides as given by Fischer’s rules.
Pathogens 13 00482 g001
Scheme 2. Dynamic Covalent Bond in alkoxyamines: kd for the homolysis rate constant and kc for the re-formation reaction.
Scheme 2. Dynamic Covalent Bond in alkoxyamines: kd for the homolysis rate constant and kc for the re-formation reaction.
Pathogens 13 00482 sch002
Scheme 3. Preparation of alkoxyamines A3LA7L: (a) ClCOOEt, Et3N, 4-vinylaniline, DCM, 0 °C to −15 °C to rt, overnight, 90%; (b) salen, MnCl2, TEMPO, O2 (air), THF, rt, overnight, 54%; (c) CF3COOH, DCM, rt, 2 h, 81%; (d) DIPEA, HOBT, Boc-L-Phe-L-Val-OH P5L, DCC, DCM, 0 °C to rt, overnight, 74%; (e) CF3COOH, DCM, rt, 4 h, 60%; (f) NaOH 1 M, DCM, 86%; (g) DIPEA, HOBT, HO-Suc-OBn, EDC.HCl, DCM, 0 °C to rt, overnight, 73%; (h) H2/Pd(C), DCM/MeOH (v:v 1:1), rt, 3 h, 90%.
Scheme 3. Preparation of alkoxyamines A3LA7L: (a) ClCOOEt, Et3N, 4-vinylaniline, DCM, 0 °C to −15 °C to rt, overnight, 90%; (b) salen, MnCl2, TEMPO, O2 (air), THF, rt, overnight, 54%; (c) CF3COOH, DCM, rt, 2 h, 81%; (d) DIPEA, HOBT, Boc-L-Phe-L-Val-OH P5L, DCC, DCM, 0 °C to rt, overnight, 74%; (e) CF3COOH, DCM, rt, 4 h, 60%; (f) NaOH 1 M, DCM, 86%; (g) DIPEA, HOBT, HO-Suc-OBn, EDC.HCl, DCM, 0 °C to rt, overnight, 73%; (h) H2/Pd(C), DCM/MeOH (v:v 1:1), rt, 3 h, 90%.
Pathogens 13 00482 sch003
Scheme 4. Preparation of the peptide tag: (a) DIPEA, HOBT, DCC, DCM, 0 °C to rt, overnight, 97%; (b) H2/Pd(C), DCM/MeOH (v/v 1:1), rt, 3 h, 94%; (c) DIPEA, HOBT, HCl.NH2-L-Phe-OBn, DCC, DCM, 0 °C to rt, overnight, 73%; (d) CF3COOH, DCM, rt, 4 h, 79%; (e) DIPEA, HOBT, HO-Suc-OBn, EDC.HCl, DCM, 0 °C to rt, overnight, 62%; (f) H2/Pd(C), MeOH, rt, 3 h, 94%; (g) HOBT, HO-Suc-OBn, EDC.HCl, DCM, 0 °C to rt, overnight, 47%.
Scheme 4. Preparation of the peptide tag: (a) DIPEA, HOBT, DCC, DCM, 0 °C to rt, overnight, 97%; (b) H2/Pd(C), DCM/MeOH (v/v 1:1), rt, 3 h, 94%; (c) DIPEA, HOBT, HCl.NH2-L-Phe-OBn, DCC, DCM, 0 °C to rt, overnight, 73%; (d) CF3COOH, DCM, rt, 4 h, 79%; (e) DIPEA, HOBT, HO-Suc-OBn, EDC.HCl, DCM, 0 °C to rt, overnight, 62%; (f) H2/Pd(C), MeOH, rt, 3 h, 94%; (g) HOBT, HO-Suc-OBn, EDC.HCl, DCM, 0 °C to rt, overnight, 47%.
Pathogens 13 00482 sch004
Scheme 5. Preparation of the peptide tag H2N-L-Phe-L-Val-L-Phe-OH P18L: (a) DIPEA, HOBT, DCC, DCM, 0 °C to rt, overnight, 86%; (b) H2/Pd(C), DCM, rt, 4 h, 98%; (c) DIPEA, HOBT, HCl.NH2-L-Phe-OBn, DCC, DCM, 0 °C to rt, overnight, 71%; (d) DBU, DCM, rt, 4 h, 57%; (e) H2/Pd(C), DCM/MeOH (v:v 1:1), rt, 3 h, 52%.
Scheme 5. Preparation of the peptide tag H2N-L-Phe-L-Val-L-Phe-OH P18L: (a) DIPEA, HOBT, DCC, DCM, 0 °C to rt, overnight, 86%; (b) H2/Pd(C), DCM, rt, 4 h, 98%; (c) DIPEA, HOBT, HCl.NH2-L-Phe-OBn, DCC, DCM, 0 °C to rt, overnight, 71%; (d) DBU, DCM, rt, 4 h, 57%; (e) H2/Pd(C), DCM/MeOH (v:v 1:1), rt, 3 h, 52%.
Pathogens 13 00482 sch005
Scheme 6. Preparation of models. (a) ClCOOEt, Et3N, 4-ethylaniline, DCM, 0 °C to −15 °C to rt, overnight, 88%; (b) CF3COOH, DCM, rt, 1 h, quantitative for P20L and 60% for P22L; (c) DIPEA, HOBT, Boc-L-Phe-L-Val-OH, DCC, DCM, 0 °C to rt, overnight, 93%; (d) NaOH 1 M, DCM, 92%; (e) HOBT, HO-Suc-OBn, EDC.HCl, DCM, 0 °C to rt, overnight, 50%; (f) H2/Pd(C), DCM/MeOH (v:v 1:1), rt, overnight, 96%.
Scheme 6. Preparation of models. (a) ClCOOEt, Et3N, 4-ethylaniline, DCM, 0 °C to −15 °C to rt, overnight, 88%; (b) CF3COOH, DCM, rt, 1 h, quantitative for P20L and 60% for P22L; (c) DIPEA, HOBT, Boc-L-Phe-L-Val-OH, DCC, DCM, 0 °C to rt, overnight, 93%; (d) NaOH 1 M, DCM, 92%; (e) HOBT, HO-Suc-OBn, EDC.HCl, DCM, 0 °C to rt, overnight, 50%; (f) H2/Pd(C), DCM/MeOH (v:v 1:1), rt, overnight, 96%.
Pathogens 13 00482 sch006
Scheme 7. Enzymatic activity affording potentially toxic peptides (a) and molecules mimicking alkoxyamines (b).
Scheme 7. Enzymatic activity affording potentially toxic peptides (a) and molecules mimicking alkoxyamines (b).
Pathogens 13 00482 sch007
Scheme 8. Scheme for the activation of alkoxyamine A5L by enzyme.
Scheme 8. Scheme for the activation of alkoxyamine A5L by enzyme.
Pathogens 13 00482 sch008
Table 1. Homolysis rate constants kd for 39 (0.1 mM) of series L and D in t-BuPh and a water/n-PrOH mixture as solvents at a temperature T using O2 as alkyl radical scavenger, and the subsequent activation energies Ea.
Table 1. Homolysis rate constants kd for 39 (0.1 mM) of series L and D in t-BuPh and a water/n-PrOH mixture as solvents at a temperature T using O2 as alkyl radical scavenger, and the subsequent activation energies Ea.
AlkoxyamineT (°C) akd (10−4 s−1) a,b,cEa (kJ/mol) b,dT (°C) ekd (10−4 s−1) b,c,eEa (kJ/mol) b,d,e
A1L128.011.0133.195.11.5128.4
A3L125.08.4133.094.51.8128.8
A4L fggg94.61.0129.3
A5L130.018132.194.01.3128.3
A6L12511.0132.194.81.1129.1
A7L126.515.0131.694.39.5129.4
A1D122.59.6132.293.51.0129.0
A3D119.89.6132.292.60.45131.0
A4Dfggg95.01.2128.9
A5D130 11.6132.794.61.3128.5
a In t-BuPh b Value measured for a mixture of diastereosisomers. c Given by Equation (1). d Given by Equation (2) and an averaged frequency factor is used A = 2.4 1014 s−1, R = 8.314 J·K−1·mol−1, kd and T are given in columns 2, 3, 5, and 6, see reference [17]. e In water/n-PrOH, v/v: 1:1. f Not soluble. g Not estimated.
Table 2. Alkoxyamines and peptides are provided to schistosome at 37 °C at massic concentration (100 μg/mL) a, time to reach the death of half of the population of worms, and time to kill all parasites.
Table 2. Alkoxyamines and peptides are provided to schistosome at 37 °C at massic concentration (100 μg/mL) a, time to reach the death of half of the population of worms, and time to kill all parasites.
Time to Kill
50% of Parasites (h)
Time to Kill
100% of Parasites (h)
A3LNANA
A4L224
A5L27
A6L2448
A7L2448
 P6LNANA
 P7LNANA
 P8L724
 P9L35
 P10L624
 P11LNANA
 P12LNANA
 P18LNANA
 P21LNANA
 P22LNANA
 P23LNANA
 P24LNANA
 P25LNANA
 PZQ11
TFA724
a. NA: No Activity. Concentrations span from 100 to 200 μM for peptide-alkoxyamine hybrids from 200 to 400 μM for peptides, and 300 μM for PZQ.
Disclaimer/Publisher’s Note: The statements, opinions and data contained in all publications are solely those of the individual author(s) and contributor(s) and not of MDPI and/or the editor(s). MDPI and/or the editor(s) disclaim responsibility for any injury to people or property resulting from any ideas, methods, instructions or products referred to in the content.

Share and Cite

MDPI and ACS Style

Embo-Ibouanga, A.W.; Nguyen, M.; Joly, J.-P.; Coustets, M.; Augereau, J.-M.; Paloque, L.; Vanthuyne, N.; Bikanga, R.; Robert, A.; Benoit-Vical, F.; et al. Peptide-Alkoxyamine Drugs: An Innovative Approach to Fight Schistosomiasis: “Digging Their Graves with Their Forks”. Pathogens 2024, 13, 482. https://doi.org/10.3390/pathogens13060482

AMA Style

Embo-Ibouanga AW, Nguyen M, Joly J-P, Coustets M, Augereau J-M, Paloque L, Vanthuyne N, Bikanga R, Robert A, Benoit-Vical F, et al. Peptide-Alkoxyamine Drugs: An Innovative Approach to Fight Schistosomiasis: “Digging Their Graves with Their Forks”. Pathogens. 2024; 13(6):482. https://doi.org/10.3390/pathogens13060482

Chicago/Turabian Style

Embo-Ibouanga, Ange W., Michel Nguyen, Jean-Patrick Joly, Mathilde Coustets, Jean-Michel Augereau, Lucie Paloque, Nicolas Vanthuyne, Raphaël Bikanga, Anne Robert, Françoise Benoit-Vical, and et al. 2024. "Peptide-Alkoxyamine Drugs: An Innovative Approach to Fight Schistosomiasis: “Digging Their Graves with Their Forks”" Pathogens 13, no. 6: 482. https://doi.org/10.3390/pathogens13060482

APA Style

Embo-Ibouanga, A. W., Nguyen, M., Joly, J.-P., Coustets, M., Augereau, J.-M., Paloque, L., Vanthuyne, N., Bikanga, R., Robert, A., Benoit-Vical, F., Audran, G., Mellet, P., Boissier, J., & Marque, S. R. A. (2024). Peptide-Alkoxyamine Drugs: An Innovative Approach to Fight Schistosomiasis: “Digging Their Graves with Their Forks”. Pathogens, 13(6), 482. https://doi.org/10.3390/pathogens13060482

Note that from the first issue of 2016, this journal uses article numbers instead of page numbers. See further details here.

Article Metrics

Back to TopTop