Retrospective Case-Control Study of Risk Factors for Carbapenem-Resistant Klebsiella pneumoniae Infection in Children in China
Abstract
1. Introduction
2. Materials and Methods
2.1. Study Design
2.2. Inclusion and Exclusion Criteria
2.3. Data Collection
2.4. Carbapenem Resistance Detection
2.5. Sample Size and Frequency
2.6. Antibiotic Treatment
2.7. Statistical Analysis
3. Results
3.1. Clinical Characteristics of the Two Groups of Patients
3.2. Antibiotic Use Prior to the Release of Susceptibility Results
3.3. Analysis of Risk Factors for CRKP Infection in Children
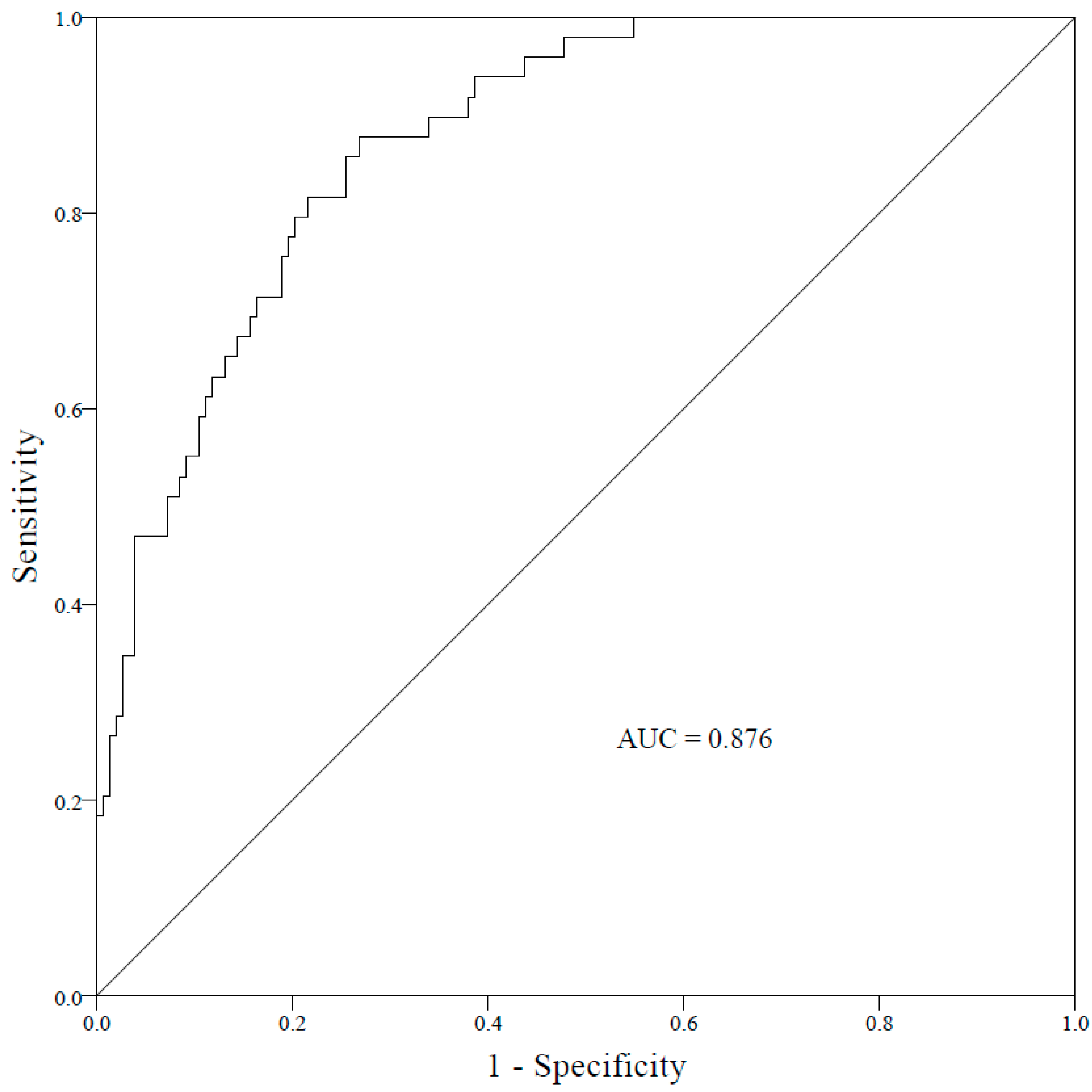
3.4. Establishment of Risk Model for Pediatric CRKP Infection
3.5. Analysis of Factors Associated with Mortality in CRKP-Infected Children
4. Discussion
5. Conclusions
Author Contributions
Funding
Institutional Review Board Statement
Informed Consent Statement
Data Availability Statement
Conflicts of Interest
References
- Ma, J.; Song, X.; Li, M.; Yu, Z.; Cheng, W.; Yu, Z.; Zhang, W.; Zhang, Y.; Shen, A.; Sun, H.; et al. Global spread of carbapenem-resistant Enterobacteriaceae: Epidemiological features, resistance mechanisms, detection and therapy. Microbiol. Res. 2023, 266, 127249. [Google Scholar] [CrossRef] [PubMed]
- Xie, L.; Zhang, B.; Xiao, N.; Zhang, F.; Zhao, X.; Liu, Q.; Xie, Z.; Xie, H.; Duan, Z.; Zhong, L. Epidemiology of human adenovirus infection in children hospitalized with lower respiratory tract infections in Hunan, China. J. Med. Virol. 2019, 91, 392–400. [Google Scholar] [CrossRef] [PubMed]
- Fu, P.; Xu, H.; Jing, C.; Deng, J.; Wang, H.; Hua, C.; Chen, Y.; Chen, X.; Zhang, T.; Zhang, H.; et al. Bacterial Epidemiology and Antimicrobial Resistance Profiles in Children Reported by the ISPED Program in China, 2016 to 2020. Microbiol Spectr. 2021, 9, e0028321. [Google Scholar] [CrossRef] [PubMed]
- Lai, C.C.; Yu, W.L. Klebsiella pneumoniae Harboring Carbapenemase Genes in Taiwan: Its Evolution over 20 Years, 1998–2019. Int. J. Antimicrob. Ag. 2021, 58, 106354. [Google Scholar] [CrossRef] [PubMed]
- Budia-Silva, M.; Kostyanev, T.; Ayala-Montano, S.; Bravo-Ferrer Acosta, J.; Garcia-Castillo, M.; Cantón, R.; Goossens, H.; Rodriguez-Baño, J.; Grundmann, H.; Reuter, S. International and regional spread of carbapenem-resistant Klebsiella pneumoniae in Europe. Nat. Commun. 2024, 15, 5092. [Google Scholar] [CrossRef]
- Patel, G.; Huprikar, S.; Factor, S.H.; Jenkins, S.G.; Calfee, D.P. Outcomes of Carbapenem-Resistant K. pneumoniae infection and the impact of antimicrobial and adjunctive therapies. Infect. Control Hosp. Epidemiol. 2008, 29, 1099–1106. [Google Scholar] [CrossRef]
- Borer, A.; Saidel-Odes, L.; Riesenberg, K.; Eskira, S.; Peled, N.; Nativ, R. Attributable mortality rate for Carbapenem-Resistant K. pneumoniae bacteremia. Infect. Control Hosp. Epidemiol. 2009, 30, 972–976. [Google Scholar] [CrossRef]
- Meng, H.; Yang, J.; Niu, M.; Zhu, H.; Zhou, Y.; Lu, J. Risk factors and clinical outcomes of Carbapenem-Resistant K. pneumoniae bacteraemia in children: A retrospective study. Int. J. Antimicrob. Ag. 2023, 62, 106933. [Google Scholar] [CrossRef]
- Li, D.; Huang, X.; Rao, H.; Yu, H.; Long, S.; Li, Y.; Zhang, J. K. pneumoniae bacteremia mortality: A systematic review and meta-analysis. Front. Cell Infect. Microbiol. 2023, 13, 1157010. [Google Scholar] [CrossRef]
- Larkin, H. Increasing Antimicrobial Resistance Poses Global Threat, WHO Says. Jama-J. Am. Med. Assoc. 2023, 329, 200. [Google Scholar] [CrossRef]
- Joshi, T.L. Unless we confront antimicrobial resistance now, we risk the consequences of a post-antibiotic society. Bmj-Brit Med. J. 2024, 386, q2104. [Google Scholar] [CrossRef] [PubMed]
- Ballen, V.; Gabasa, Y.; Ratia, C.; Ortega, R.; Tejero, M.; Soto, S. Antibiotic Resistance and Virulence Profiles of Klebsiella pneumoniae Strains Isolated from Different Clinical Sources. Front. Cell Infect. Mi 2021, 11, 738223. [Google Scholar] [CrossRef] [PubMed]
- Fu, B.; Yin, D.; Sun, C.; Shen, Y.; Liu, D.; Bai, R.; Zhang, R.; Shen, J.; Hu, F.; Wang, Y. Clonal and Horizontal Transmission of bla(NDM) among Klebsiella pneumoniae in Children’s Intensive Care Units. Microbiol. Spectr. 2022, 10, e157421. [Google Scholar] [CrossRef] [PubMed]
- Jiang, M.; Li, H.; Liu, X.; Shen, N.; Zhou, Y.; Song, W.; Wang, X.; Cao, Q.; Zhou, Z. Genomic Analysis Revealed the International and Domestic Transmission of Car-bapenem-Resistant Klebsiella pneumoniae in Chinese Pediatric Patients. Microbiol. Spectr. 2023, 11, e321322. [Google Scholar] [CrossRef]
- Kong, Z.; Liu, X.; Li, C.; Cheng, S.; Xu, F.; Gu, B. Clinical Molecular Epidemiology of Carbapenem-Resistant Klebsiella pneumoniae Among Pediatric Patients in Jiangsu Province, China. Infect. Drug Resist. 2020, 13, 4627–4635. [Google Scholar] [CrossRef]
- Wang, M.; Earley, M.; Chen, L.; Hanson, B.M.; Yu, Y.; Liu, Z.; Salcedo, S.; Cober, E.; Li, L.; Kanj, S.S.; et al. Clinical outcomes and bacterial characteristics of carbapenem-resistant Klebsiella pneumoniae complex among patients from different global regions (CRACKLE-2): A prospective, mul-ticentre, cohort study. Lancet Infect. Dis. 2022, 22, 401–412. [Google Scholar] [CrossRef]
- Zhang, H.; Zhang, G.; Yang, Y.; Zhang, J.; Li, D.; Duan, S.; Yang, Q.; Xu, Y. Antimicrobial resistance comparison of Klebsiella pneumoniae pathogens iso-lated from intra-abdominal and urinary tract infections in different organs, hospital departments and regions of China between 2014 and 2017. J. Microbiol. Immunol. 2021, 54, 639–648. [Google Scholar] [CrossRef]
- Huang, L.; Cao, M.; Hu, Y.; Zhang, R.; Xiao, Y.; Chen, G. Prevalence and mechanisms of fosfomycin resistance among KPC-producing Klebsiella pneumoniae clinical isolates in China. Int. J. Antimicrob. Ag. 2021, 57, 106226. [Google Scholar] [CrossRef]
- Itani, R.; Khojah, H.; Kibrit, R.; Raychouni, H.; Shuhaiber, P.; Dib, C.; Hassan, M.; Mukattash, T.L.; El-Lakany, A. Risk factors associated with multidrug-resistant Klebsiella pneumoniae infec-tions: A multicenter observational study in Lebanese hospitals. Bmc Public Health 2024, 24, 2958. [Google Scholar] [CrossRef]
- Chen, Y.; Liu, P.; Guo, P.; Wu, Z.; Peng, Y.; Deng, J.; Kong, Y.; Cui, Y.; Liao, K.; Huang, B. Risk factors and mortality for elderly patients with bloodstream infection of carbapenem resistance K. pneumoniae: A 10-year longitudinal study. BMC Geriatr. 2022, 22, 573. [Google Scholar] [CrossRef]
- Zhan, Q.; Xu, Y.; Wang, B.; Yu, J.; Shen, X.; Liu, L.; Cao, X.; Guo, Y.; Yu, F. Distribution of fluoroquinolone resistance determinants in Carbapenem-resistant Klebsiella pneumoniae clinical isolates associated with bloodstream infec-tions in China. Bmc Microbiol. 2021, 21, 164. [Google Scholar] [CrossRef] [PubMed]
- Wu, C.; Huang, Y.; Zhou, P.; Gao, H.; Wang, B.; Zhao, H.; Zhang, J.; Wang, L.; Zhou, Y.; Yu, F. Emergence of hyper-virulent and carbapenem-resistant Klebsiella pneumoniae from 2014–2021 in Central and Eastern China: A mo-lecular, biological, and epidemiological study. Bmc Microbiol 2024, 24, 465. [Google Scholar] [CrossRef] [PubMed]
- Clinical and Laboratory Standards InstituteM100 S30 Performance Standards for Antimicrobial Susceptibility Testing; CLSI: Wayne, PA, USA, 2020; pp. 34–84.
- Balkan, I.I.; Alkan, M.; Aygun, G.; Kuşkucu, M.; Ankaralı, H.; Karagöz, A.; Şen, S.; Arsu, H.Y.; Biçer, M.; Kaya, S.Y.; et al. Colistin resistance increases 28-day mortality in bloodstream infections due to Carbapenem-Resistant K. pneumoniae. Eur. J. Clin. Microbiol. Infect. Dis. 2021, 40, 2161–2170. [Google Scholar] [CrossRef]
- Liang, X.; Chen, P.; Deng, B.; Sun, F.H.; Yang, Y.; Yang, Y.; He, R.; Qin, M.; Wu, Y.; Yang, F.; et al. Outcomes and Risk Factors of Bloodstream Infections Caused by Carbapenem-Resistant and Non-Carbapenem-Resistant K. pneumoniae in China. Infect. Drug Resist. 2022, 15, 3161–3171. [Google Scholar] [CrossRef]
- Zhang, Y.; Guo, L.Y.; Song, W.Q.; Wang, Y.; Dong, F.; Liu, G. Risk factors for carbapenem-resistant K. pneumoniae bloodstream infection and predictors of mortality in Chinese paediatric patients. BMC Infect. Dis. 2018, 18, 248. [Google Scholar] [CrossRef]
- Chu, X.; Ning, L.; Fang, Y.; Jia, H.; Wang, M. Risk Factors and Predictive Nomogram for Carbapenem-Resistant Klebsiella pneumoniae in Children in a Grade 3 First-Class General Hospital in Central China. Infect. Drug Resist. 2024, 17, 41–49. [Google Scholar] [CrossRef]
- Wu, H.; Mao, Y.; Du, X.; Zhao, F.; Jiang, Y.; Yu, Y. The Value of Neutrophil-To-Lymphocyte Ratio for Evaluating Blood Stream Infection Caused by Carbapenem-Resistant K. pneumoniae: A Retrospective Cohort Study. Front. Med. 2022, 9, 832655. [Google Scholar] [CrossRef]
- Liu, Y.F.; Liu, Y.; Chen, X.; Jia, Y. Epidemiology, Drug Resistance, and Risk Factors for Mortality Among Hematopoietic Stem Cell Transplantation Recipients with Hospital-Acquired K. pneumoniae Infections: A Single-Center Retrospective Study from China. Infect. Drug Resist. 2022, 15, 5011–5021. [Google Scholar] [CrossRef]
- Qin, X.; Wu, S.; Hao, M.; Zhu, J.; Ding, B.; Yang, Y.; Xu, X.; Wang, M.; Yang, F.; Hu, F. The Colonization of Carbapenem-Resistant K. pneumoniae: Epidemiology, Resistance Mechanisms, and Risk Factors in Patients Admitted to Intensive Care Units in China. J. Infect. Dis. 2020, 221 (Suppl. S2), S206–S214. [Google Scholar] [CrossRef]
- Ma, X.; Xi, W.; Yang, D.; Zhao, L.; Yu, W.; He, Y.; Ni, W.; Gao, Z. Collateral sensitivity between tetracyclines and aminoglycosides constrains resistance evolution in Carbapenem-Resistant K. pneumoniae. Drug Resist. Updat. 2023, 68, 100961. [Google Scholar] [CrossRef]
- Huang, W.; Zhang, J.; Zeng, L.; Yang, C.; Yin, L.; Wang, J.; Li, J.; Li, X.; Hu, K.; Zhang, X.; et al. Carbapenemase Pro-duction and Epidemiological Characteristics of Carbapenem-Resistant Klebsiella pneumoniae in Western Chong-qing, China. Front. Cell Infect. Mi 2021, 11, 775740. [Google Scholar] [CrossRef]
- Ma, J.; Gao, K.; Li, M.; Zhou, J.; Song, X.; Zhang, Y.; Yu, Z.; Yu, Z.; Cheng, W.; Zhang, W.; et al. Epidemiological and molecular characteristics of carbapenem-resistant Klebsiella pneumoniae from pediatric patients in Henan, China. Ann. Clin. Microb. Anti 2024, 23, 98. [Google Scholar] [CrossRef] [PubMed]
- Yang, X.; Sun, Q.; Li, J.; Jiang, Y.; Li, Y.; Lin, J.; Chen, K.; Chan, W.W.-C.; Zhang, R.; Chen, S. Molecular epidemiology of carbapenem-resistant hypervirulent Klebsiella pneumoniae in China. Emerg. Microbes Infect. 2022, 11, 841–849. [Google Scholar] [CrossRef] [PubMed]
- Wu, C.; Zheng, L.; Yao, J. Analysis of Risk Factors and Mortality of Patients with Carbapenem-Resistant K. pneumoniae Infection. Infect. Drug Resist. 2022, 15, 2383–2391. [Google Scholar] [CrossRef]
- Chi, X.; Meng, X.; Xiong, L.; Chen, T.; Zhou, Y.; Ji, J.; Zheng, B.; Xiao, Y. Small wards in the ICU: A favorable measure for controlling the transmission of Carbapenem-Resistant K. pneumoniae. Intensive Care Med. 2022, 48, 1573–1581. [Google Scholar] [CrossRef]
- Lee, J.; Sunny, S.; Nazarian, E.; Fornek, M.; Abdallah, M.; Episcopia, B.; Rowlinson, M.C.; Quale, J. Carbapenem-Resistant K. pneumoniae in Large Public Acute-Care Healthcare System, New York, New York, USA, 2016–2022. Emerg Infect Dis. 2023, 29, 1973–1978. [Google Scholar] [CrossRef]
- Wang, Q.; Chen, M.; Ou, Q.; Zheng, L.; Chen, X.; Mao, G.; Fang, J.; Jin, D.; Tang, X. Carbapenem-resistant hypermucoviscous K. pneumoniae clinical isolates from a tertiary hospital in China: Antimicrobial susceptibility, resistance phenotype, epidemiological characteristics, microbial virulence, and risk factors. Front. Cell Infect. Microbiol. 2022, 12, 1083009. [Google Scholar] [CrossRef]
- Meng, H.; Han, L.; Niu, M.; Xu, L.; Xu, M.; An, Q.; Lu, J. Risk Factors for Mortality and Outcomes in Hematological Malignancy Patients with Carbapenem-Resistant K. pneumoniae Bloodstream Infections. Infect. Drug Resist. 2022, 15, 4241–4251. [Google Scholar] [CrossRef]
- Zhang, X.; Chen, D.; Xu, G.; Huang, W.; Wang, X. Molecular epidemiology and drug resistant mechanism in car-bapenem-resistant Klebsiella pneumoniae isolated from pediatric patients in Shanghai, China. PLoS ONE 2018, 13, e194000. [Google Scholar] [CrossRef]


| Factor | CSKP (n = 153) | CRKP (n = 49) | Z/χ2 | p Value |
|---|---|---|---|---|
| Age (months) | 28 (13–60.5) | 33 (19–79.5) | −1.729 | 0.084 |
| Sex | 0.327 | 0.567 | ||
| Male | 74 (48.4) | 26 (53.1) | ||
| Female | 79 (51.6) | 23 (46.9) | ||
| Pre-existing condition | ||||
| Hematopoietic malignancies | 14 (9.2) | 20 (40.8) | 26.585 | <0.001 |
| Congenital malformation | 3 (2.0) | 3 (6.1) | 1.020 | 0.313 |
| Neurological disorders | 16 (10.5) | 5 (10.2) | 0.003 | 0.960 |
| MODS | 17 (11.1) | 8 (16.3) | 0.931 | 0.335 |
| Site of infection | ||||
| Respiratory tract infection | 129 (84.3) | 30 (61.2) | 11.808 | <0.001 |
| Bloodstream infection | 11 (7.2) | 11 (22.4) | 8.905 | 0.003 |
| Urinary tract infection | 5 (3.3) | 3 (6.1) | 0.222 | 0.638 |
| Infection at other sites | 8 (5.2) | 5 (10.2) | 0.811 | 0.368 |
| Pre-infection related treatment | ||||
| Mechanical ventilation | 28 (18.3) | 25 (51.0) | 20.53 | <0.001 |
| Central venous catheterization | 28 (18.3) | 17 (34.7) | 5.76 | 0.016 |
| Number of antibiotic agents | 2 (1–3) | 4 (2–5.5) | −3.784 | <0.001 |
| Glucocorticoid therapy | 34 (22.2) | 16 (32.7) | 2.168 | 0.141 |
| Relevant examination results at the time of infection | ||||
| WBC (×109/L) | 12.1 (8.85–15.7) | 9.27 (7.19–11.65) | −3.784 | <0.001 |
| Neutrophil count (×109/L) | 7.02 (4.94–9.48) | 5.74 (4.08–7.15) | −3.295 | <0.001 |
| lymphocyte count (×109/L) | 3.63 (2.42–4.72) | 2.79 (2.06–3.69) | −3.444 | <0.001 |
| Hospitalization information | ||||
| Length of stay (days) | 15 (9.5–22) | 27 (14–41) | −4.529 | <0.001 |
| 7-day mortality | 1 (0.7) | 3 (6.1) | 3.248 | 0.071 |
| 28-day mortality | 3 (2.0) | 9 (18.4) | 15.063 | <0.001 |
| Hospital mortality | 6 (3.9) | 9 (18.4) | 9.263 | 0.002 |
| Antibiotic Categories | CSKP (n = 153) | CRKP (n = 49) | χ2 | p Value |
|---|---|---|---|---|
| Carbapenems | 21 (13.7) | 28 (57.1) | 38.078 | <0.001 |
| First-generation cephalosporins | 8 (5.2) | 2 (4.1) | <0.001 | 1.000 |
| Second-generation cephalosporins | 72 (47.1) | 31 (63.3) | 3.091 | 0.048 |
| Third-generation cephalosporins | 96 (62.7) | 38 (77.6) | 8.345 | 0.004 |
| β-lactamase inhibitors | 56 (36.6) | 23 (46.9) | 1.665 | 0.197 |
| Penicillins | 43 (28.1) | 15 (30.6) | 0.114 | 0.736 |
| Aminoglycosides | 42 (27.5) | 12 (24.5) | 0.166 | 0.684 |
| Quinolones | 13 (8.5) | 6 (12.2) | 0.251 | 0.616 |
| Glycopeptides | 7 (4.6) | 12 (24.5) | 15.015 | <0.001 |
| Oxazolidinones | 3 (2.0) | 13 (26.5) | 27.443 | <0.001 |
| Tetracyclines | 1 (0.7) | 3 (6.1) | 3.248 | 0.071 |
| Factor | Bivariate Analyses | Multivariate Analyses | ||
|---|---|---|---|---|
| OR (95% CI) | p Value | OR (95% CI) | p Value | |
| Hematopoietic malignancies | 6.847 (3.103–15.111) | <0.001 | 28.272 (2.430–328.889) | 0.008 |
| Respiratory tract infection | 0.294 (0.143–0.604) | 0.001 | 0.173 (0.047–0.641) | 0.009 |
| Bloodstream infection | 3.737 (1.505–9.276) | 0.004 | / | / |
| Mechanical ventilation | 4.650 (2.323–9.309) | <0.001 | 3.002 (1.117–8.071) | 0.029 |
| Central venous catheterization | 2.372 (1.158–4.857) | 0.018 | / | / |
| Number of antibiotic agents | 1.442 (1.211–1.718) | <0.001 | 1.491 (1.177–1.889) | 0.001 |
| WBC (×109/L) | 0.849 (0.779–0.926) | <0.001 | 0.800 (0.704–0.908) | 0.001 |
| Neutrophil count (×109/L) | 0.779 (0.677–0.896) | <0.001 | 0.751 (0.623–0.905) | 0.003 |
| Lymphocyte count (×109/L) | 0.635 (0.489–0.824) | 0.001 | / | / |
| Factor | Survival (n = 40) | Non-Survival (n = 9) | Z/χ2 | p Value |
|---|---|---|---|---|
| Age (months) | 35.5 (23.0–80.25) | 19 (15–84.5) | −0.828 | 0.423 |
| Sex | <0.001 | 1.00 | ||
| Male | 21 (52.5) | 5 (55.6) | ||
| Female | 19 (47.5) | 4 (44.4) | ||
| Pre-existing condition | ||||
| Hematopoietic malignancies | 15 (37.5) | 5 (55.6) | 0.385 | 0.535 |
| Congenital malformation | 2 (5.0) | 1 (11.1) | <0.001 | 1.00 |
| Neurological disorders | 4 (10.0) | 1 (11.1) | <0.001 | 1.00 |
| MODS | 6 (15.0) | 2 (22.2) | 0.001 | 0.976 |
| Site of infection | ||||
| Respiratory tract infection | 27 (67.5) | 3 (33.3) | 2.317 | 0.128 |
| Bloodstream infection | 6 (15.0) | 5 (55.6) | 4.807 | 0.028 |
| Urinary tract infection | 3 (7.5) | 0 (0.0) | 0.006 | 0.937 |
| Infection at other sites | 4 (10.0) | 1 (11.1) | <0.001 | 1.00 |
| Pre-infection related treatment | ||||
| Mechanical ventilation | 22 (55.0) | 3 (33.3) | 0.649 | 0.420 |
| Central venous catheterization | 12 (30.0) | 5 (55.6) | 1.140 | 0.286 |
| Number of antibiotic agents | 4 (2–5.75) | 5 (1.5–5.5) | −0.130 | 0.909 |
| Glucocorticoid therapy | 11 (27.5) | 5 (55.6) | 1.509 | 0.219 |
| Relevant examination results at the time of infection | ||||
| WBC (×109/L) | 10.005 (7.38–12.30) | 7.56 (5.17–9.59) | −1.988 | 0.047 |
| Neutrophil count (×109/L) | 5.79 (4.17–7.11) | 5.24 (2.83–7.85) | −0.090 | 0.929 |
| Lymphocyte count (×109/L) | 3.01 (2.23–3.75) | 1.94 (0.995–3.005) | −2.285 | 0.020 |
| Number of hospitalizations in the previous 3 months | 2 (1–3) | 5 (3.5–7.5) | −3.513 | <0.001 |
Disclaimer/Publisher’s Note: The statements, opinions and data contained in all publications are solely those of the individual author(s) and contributor(s) and not of MDPI and/or the editor(s). MDPI and/or the editor(s) disclaim responsibility for any injury to people or property resulting from any ideas, methods, instructions or products referred to in the content. |
© 2024 by the authors. Licensee MDPI, Basel, Switzerland. This article is an open access article distributed under the terms and conditions of the Creative Commons Attribution (CC BY) license (https://creativecommons.org/licenses/by/4.0/).
Share and Cite
Wang, C.; Feng, L.; Chen, R.; Chen, Y. Retrospective Case-Control Study of Risk Factors for Carbapenem-Resistant Klebsiella pneumoniae Infection in Children in China. Pathogens 2024, 13, 1106. https://doi.org/10.3390/pathogens13121106
Wang C, Feng L, Chen R, Chen Y. Retrospective Case-Control Study of Risk Factors for Carbapenem-Resistant Klebsiella pneumoniae Infection in Children in China. Pathogens. 2024; 13(12):1106. https://doi.org/10.3390/pathogens13121106
Chicago/Turabian StyleWang, Caizhen, Lijie Feng, Ruomu Chen, and Yuan Chen. 2024. "Retrospective Case-Control Study of Risk Factors for Carbapenem-Resistant Klebsiella pneumoniae Infection in Children in China" Pathogens 13, no. 12: 1106. https://doi.org/10.3390/pathogens13121106
APA StyleWang, C., Feng, L., Chen, R., & Chen, Y. (2024). Retrospective Case-Control Study of Risk Factors for Carbapenem-Resistant Klebsiella pneumoniae Infection in Children in China. Pathogens, 13(12), 1106. https://doi.org/10.3390/pathogens13121106
