First Report, Characterization and Pathogenicity of Vibrio chagasii Isolated from Diseased Reared Larvae of Chilean Scallop, Argopecten purpuratus (Lamarck, 1819)
Abstract
1. Introduction
2. Materials and Methods
2.1. Bacterial Isolation
2.2. Phenotypic Characterization
2.3. Virulence Factors Production
2.4. Bacterial DNA Extraction and Sequencing
2.5. Bacterial Identification
2.6. Genomic Analysis of Virulence Factors
2.7. Pathogenic Activity
2.8. Pathogenic Activity of Extracellular Products of Vibrio chagasii
2.9. Statistical Analyses
3. Results
3.1. Phenotypic Characterization
3.2. Virulence Factors Production
3.3. Bacterial Identification
3.4. Genomic Analysis of Virulence Factors
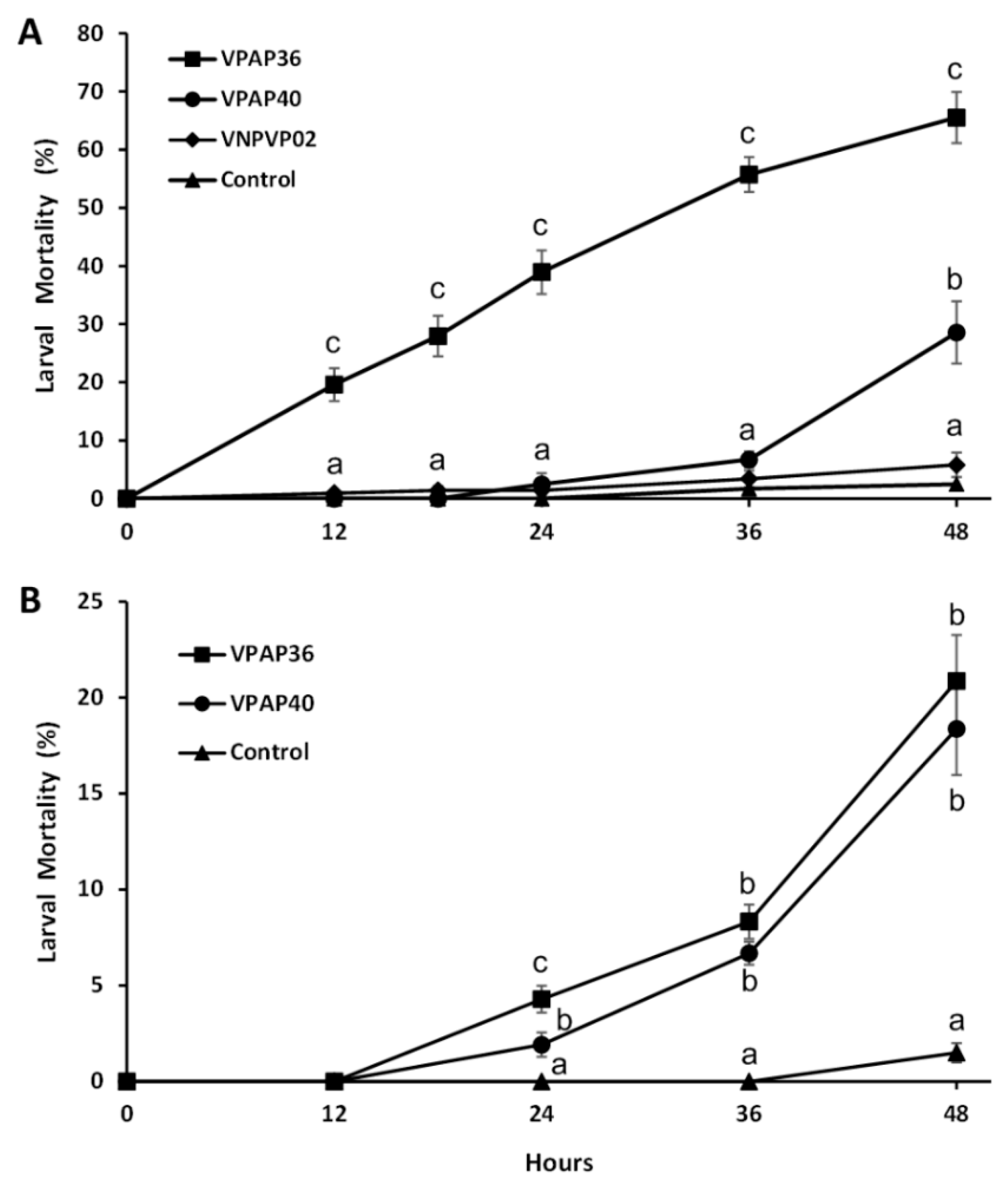
3.5. Pathogenic Activity
4. Discussion
5. Conclusions
Supplementary Materials
Author Contributions
Funding
Data Availability Statement
Acknowledgments
Conflicts of Interest
References
- Kashulin, A.; Seredkina, N.; Sørum, H. Cold-water vibriosis. The current status of knowledge. J. Fish Dis. 2017, 40, 119–126. [Google Scholar] [CrossRef] [PubMed]
- Ina-Salwany, M.Y.; Al-Saari, N.; Mohamad, A.; Mursidi, F.-A.; Mohd-Aris, A.; Amal, M.N.A.; Kasai, H.; Mino, S.; Sawabe, T.; Zamri-Saad, M. Vibriosis in Fish: A Review on Disease Development and Prevention. J. Aquat. Anim. Health 2019, 31, 3–22. [Google Scholar] [CrossRef] [PubMed]
- Beaz-Hidalgo, R.; Balboa, S.; Romalde, J.L.; Figueras, M.J. Diversity and pathogenecity of Vibrio species in cultured bivalve molluscs. Environ. Microbiol. Rep. 2010, 2, 34–43. [Google Scholar] [CrossRef] [PubMed]
- Sanches-Fernandes, G.M.M.; Sá-Correia, I.; Costa, R. Vibriosis Outbreaks in Aquaculture: Addressing Environmental and Public Health Concerns and Preventive Therapies Using Gilthead Seabream Farming as a Model System. Front. Microbiol. 2022, 13, 904815. [Google Scholar] [CrossRef] [PubMed]
- Destoumieux-Garzón, D.; Canesi, L.; Oyanedel, D.; Travers, M.-A.; Charrière, G.M.; Pruzzo, C.; Vezzulli, L. Vibrio-bivalve interactions in health and disease. Environ. Microbiol. 2020, 22, 4323–4341. [Google Scholar]
- Romalde, J.; Barja, J. Bacteria in molluscs: Good and bad guys. In Current Research, Technology and Education Topics in Applied Microbiology and Microbial Biotechnology; Méndez-Vilas, A., Ed.; FORMATEX, Microbiology Series; Formatex Research Center: Badajoz, Spain, 2010; Volume 2, pp. 136–147. [Google Scholar]
- von Brand, E.; Merino, G.E.; Abarca, A.; Stotz, W. Scallop fishery and aquaculture in Chile. In Scallops: Biology, Ecology and Aquaculture. Developments in Aquaculture and Fisheries Science; Shumway, S.E., Parsons, J., Eds.; Elsevier: Amsterdam, The Netherlands, 2006; pp. 1293–1311. [Google Scholar] [CrossRef]
- Rojas, R.; Miranda, C.D.; Amaro, A.M. Pathogenicity of a Highly Exopolysaccharide –producing Halomonas Strain Causing Epizootics in Larval Cultures of the Chilean Scallop Argopecten purpuratus. Microb. Ecol. 2009, 57, 129–139. [Google Scholar] [CrossRef]
- Rojas, R.; Miranda, C.D.; Opazo, R.; Romero, J. Characterization and pathogenicity of Vibrio splendidus strains associated with massive mortalities of commercial hatchery-reared larvae of scallop Argopecten purpuratus (Lamarck, 1819). J. Inv. Pathol. 2015, 124, 61–69. [Google Scholar] [CrossRef]
- Rojas, R.; Miranda, C.D.; Romero, J.; Barja, J.L.; Dubert, J. Isolation and pathogenic characterization of Vibrio bivalvicida associated with a massive larval mortality event in a commercial hatchery of scallop Argopecten purpuratus in Chile. Front. Microbiol. 2019, 10, 855. [Google Scholar] [CrossRef]
- Rojas, R.; Blanco-Hortas, A.; Kehlet-Delgado, H.; Lema, A.; Miranda, C.D.; Romero, J.; Martínez, P.; Barja, J.L.; Dubert, J. First description outside Europe of the emergent pathogen Vibrio europaeus in shellfish aquaculture. J. Inv. Pathol. 2021, 180, 107542. [Google Scholar] [CrossRef]
- Miranda, C.D.; Rojas, R.; Garrido, M.; Geisse, J.; González, G. Role of shellfish hatchery as a reservoir of antimicrobial resistant bacteria. Mar. Pollut. Bull. 2013, 74, 334–343. [Google Scholar] [CrossRef]
- Miranda, C.D.; Rojas, R.; Abarca, A.; Hurtado, L. Effect of florfenicol and oxytetracycline treatments on the intensive larval culture of the Chilean scallop Argopecten purpuratus (Lamarck, 1819). Aquac. Res. 2014, 45, 16–30. [Google Scholar] [CrossRef]
- de la Fuente, M.; Miranda, C.D.; Faúndez, V. Bacteriología asociada al cultivo de moluscos en Chile. Av. Perspect. Rev. Biol. Mar. Oceanog. 2015, 50, 1–12. [Google Scholar] [CrossRef]
- Riquelme, C.; Hayashida, G.; Toranzo, A.E.; Vilches, J.; Chávez, P. Pathogenicity studies on a Vibrio anguillarum-related (VAR) strain causing an epizootic in Argopecten purpuratus larvae cultured in Chile. Dis. Aquat. Org. 1995, 22, 135–141. [Google Scholar]
- Riquelme, C.; Toranzo, A.E.; Barja, J.L.; Vergara, N.; Araya, R. Association of Aeromonas hydrophila and Vibrio alginolyticus with larval mortalities of scallop (Argopecten purpuratus). J. Inv. Pathol. 1996, 67, 213–218. [Google Scholar] [CrossRef]
- Thompson, F.L.; Thompson, C.C.; Li, Y.; Gomez-Gil, B.; Vandenberghe, J.; Hoste, B.; Swings, J. Vibrio kanaloae sp. nov., Vibrio pomeroyi sp. nov. and Vibrio chagasii sp. nov., from sea water and marine animals. Int. J. Syst. Evol. Microbiol. 2003, 53, 753–759. [Google Scholar] [CrossRef]
- Jiang, C.; Kasai, H.; Mino, S.; Romalde, J.L.; Sawabe, T. The pan-genome of Splendidus clade species in the family Vibrionaceae: Insights into evolution, adaptation, and pathogenicity. Environ. Microbiol. 2022, 24, 4587–4606. [Google Scholar] [CrossRef]
- Tall, A.; Hervio-Heath, D.; Teillon, A.; Boisset-Helbert, C.; Delesmont, R.; Bodilis, J.; Touron-Bodilis, A. Diversity of Vibrio spp. isolated at an ambient environmental temperature in the eastern English Channel as determined by pyrH sequencing. J. Appl. Microbiol. 2013, 114, 1713–1724. [Google Scholar] [CrossRef]
- Teng, W.-M.; Li, W.-J.; Zhang, M.; Yu, Z.-A.; Li, S.-L.; Liu, X.-F.; Li, H.-L.; Fu, C.-D. Isolation, identification, and pathogenicity of Vibrio chagasii from Patinopecten yessoensis. J. Fisheries China. 2012, 36, 937–943. [Google Scholar] [CrossRef]
- Liang, X.; Wang, J.S.; Liu, Y.Z.; Peng, L.-H.; Li, Y.-F.; Batista, F.M.; Power, D.M.; Gui, L.; Yang, J.-L. Complete genome of a marine bacterium Vibrio chagasii ECSMB14107 with the ability to infect mussels. Mar. Genom. 2019, 48, 100683. [Google Scholar] [CrossRef]
- Dégremont, L.; Morga, B.; Maurouard, E.; Travers, M.-A. Susceptibility variation to the main pathogens of Crassostrea gigas at the larval, spat, and juvenile stages using unselected and selected oysters to OsHV-1 and/or V. aestuarianus. J. Inv. Pathol. 2021, 183, 107601. [Google Scholar] [CrossRef]
- Lodeiros, C.; Bolinches, J.; Dopazo, C.P.; Toranzo, A.E. Bacillary necrosis in hatcheries of Ostrea edulis in Spain. Aquaculture 1987, 65, 15–29. [Google Scholar] [CrossRef]
- Sainz-Hernández, J.C.; Maeda-Martínez, A. Sources of Vibrio bacteria in mollusc hatcheries and control methods: A case study. Aquac. Res. 2005, 36, 1611–1618. [Google Scholar] [CrossRef]
- Noguerola, I.; Blanch, A.R. Identification of Vibrio spp. with a set dichotomous keys. J. Appl. Microbiol. 2008, 105, 175–185. [Google Scholar] [CrossRef] [PubMed]
- Buller, N.B. Bacteriological Culture Techniques: Microscopy, Culture and Identification. In Bacteria from Fish and Other Aquatic Animals: A Practical Identification Manual, 1st ed.; Buller, N.B., Ed.; CABI Publishing: Cambridge, MA, USA, 2004; pp. 83–116. [Google Scholar] [CrossRef]
- Hansen, G.H.; Sörheim, R. Improved method for phenotypical characterization of marine bacteria. J. Microbiol. Meth. 1991, 13, 231–241. [Google Scholar] [CrossRef]
- Barrow, G.I.; Feltham, R.K.A. Cowan and Steel’s Manual for the Identification of Medical Bacteria, 3rd ed.; Cambridge University Press: Cambridge, UK, 1993; p. 331. [Google Scholar]
- MacDonnell, M.T.; Singleton, F.L.; Hood, M.A. Diluent composition for use of API 20E in characterizing marine and estuarine bacteria. Appl. Environ. Microbiol. 1982, 44, 423–427. [Google Scholar] [CrossRef]
- Natrah, F.M.I.; Ruwandeepika, H.A.D.; Pawar, S.D.; Karunasagar, I.; Sorgeloos, P.; Bossier, P. Regulation of virulence factors by quorum sensing in Vibrio harveyi. Vet. Microbiol. 2011, 154, 124–129. [Google Scholar] [CrossRef]
- Wick, R.; Judd, L.; Gorrie, C.; Hol, K. Unicycler: Resolving bacterial genome assemblies from short and long sequencing reads. PLoS Comput. 2017, 13, e1005595. [Google Scholar] [CrossRef]
- Ondov, B.D.; Treangen, T.J.; Melsted, P.; Mallonee, A.; Bergman, N.; Koren, S.; Phillippy, A. Mash: Fast genome and metagenome distance estimation using MinHash. Genome Biol. 2016, 17, 132. [Google Scholar] [CrossRef]
- Stamatakis, A.J.B. RAxML version 8: A tool for phylogenetic analysis and post-analysis of large phylogenies. Bioinformatics 2014, 30, 1312–1313. [Google Scholar] [CrossRef]
- Lee, I.; Ouk, K.Y.; Park, S.C.; Chun, J. OrthoANI: An improved algorithm and software for calculating average nucleotide identity. Int. J. Syst. Evol. Microbiol. 2015, 66, 1100–1103. [Google Scholar] [CrossRef]
- Mao, C.; Abraham, D.; Wattam, A.R.; Wilson, M.J.; Shukla, M.; Yoo, H.S.; Sobral, B.W. Curation, integration and visualization of bacterial virulence factors in PATRIC. Bioinformatics 2015, 31, 252–258. [Google Scholar] [CrossRef] [PubMed]
- Chen, L.; Zheng, D.; Liu, B.; Yang, J.; Jin, Q. VFDB 2016: Hierarchical and refined dataset for big data analysis-10 years on. Nucleic Acids Res. 2016, 44, D694–D697. [Google Scholar] [CrossRef] [PubMed]
- Liu, P.C.; Chen, Y.C.; Lee, K.K. Pathogenicity of Vibrio alginolyticus isolated from diseased small abalone Haliotis diversicolor supertexta. Microbios 2001, 104, 71–77. [Google Scholar] [PubMed]
- Zar, J.H. Biostatistical Analysis, 4th ed.; Prentice-Hall: Upper Saddle River, NJ, USA, 1999; p. 931. [Google Scholar]
- Gomez-Gil, B.; Thompson, C.C.; Matsumura, Y.; Sawabe, T.; Iida, T.; Christen, R.; Thompson, F.; Sawabe, T. The Famlily Vibrionaceae. Chapter 36. In The Prokaryotes—Gammaproteobacteria, 4th ed.; Rosenberg, E., DeLong, E.F., Lory, S., Stackebrandt, E., Thompson, F., Eds.; Springer: Berlin/Heidelberg, Germany, 2014; pp. 659–747. [Google Scholar] [CrossRef]
- Dubert, J.; Barja, J.L.; Romalde, J.L. New insights into pathogenic vibrios affecting bivalves in hatcheries: Present and future prospects. Front. Microbiol. 2017, 8, 762. [Google Scholar] [CrossRef]
- Romalde, J.; Diéguez, A.; Lasa, A.; Balboa, S. New Vibrio species associated to molluscan microbiota: A review. Front. Microbiol. 2014, 4, 413. [Google Scholar] [CrossRef]
- Jiang, C.; Tanaka, M.; Nishikawa, S.; Mino, S.; Romalde, J.; Thompson, F.; Gomez-Gil, B.; Sawabe, T. Vibrio Clade 3.0: New Vibrionaceae Evolutionary Units Using Genome-Based Approach. Curr. Microbiol. 2022, 79, 10. [Google Scholar] [CrossRef]
- Banchi, E.; Manna, V.; Fonti, V.; Fabbro, C.; Celussi, M. Improving environmental monitoring of Vibrionaceae in coastal ecosystems through 16S rRNA gene amplicon sequencing. Environ. Sci. Pollut. Res. 2022, 29, 67466–67482. [Google Scholar] [CrossRef]
- Worden, P.J.; Bogema, D.R.; Micallef, M.L.; Go, J.; Deutscher, A.T.; Labbate, M.; Green, T.J.; King, W.L.; Liu, M.; Seymour, J.R.; et al. Phylogenomic diversity of Vibrio species and other Gammaproteobacteria isolated from Pacific oysters (Crassostrea gigas) during a summer mortality outbreak. Microb. Genom. 2022, 8, 000883. [Google Scholar] [CrossRef]
- Duman, M.; Buján, N.; Altun, S.; Romalde, J.L.; Saticioglu, I.B. Population genetic and evolution analysis of Vibrio isolated from Turkish fish farms. Aquaculture 2023, 562, 738728. [Google Scholar] [CrossRef]
- Verdonck, L.; Grisez, L.; Sweetman, E.; Minkoff, G.; Sorgeloos, P.; Ollevier, F.; Swings, J. Vibrios associated with routine productions of Brachionus plicatilis. Aquaculture 1997, 149, 203–214. [Google Scholar] [CrossRef]
- Litwin, C.M.; Calderwood, S.B. Cloning and genetic analysis of the Vibrio vulnificus fur gene and construction of a fur mutant by in viva marker exchange. J. Bacteriol. 1993, 175, 706–715. [Google Scholar] [CrossRef] [PubMed]
- Litwin, C.M.; Calderwood, S.B. Analysis of the complexity of gene regulation by Fur in Vibrio cholerae. J. Bacteriol. 1994, 176, 240–248. [Google Scholar] [CrossRef] [PubMed]
- Machado, H.; Gram, L. The fur gene as a new phylogenetic marker for Vibrionaceae species identification. Appl. Environ. Microbiol. 2015, 81, 2745–2752. [Google Scholar] [CrossRef] [PubMed]
- Litwin, C.M.; Calderwood, S.B. Role of iron in regulation of virulence genes. Clin. Microbiol. Rev. 1993, 6, 137–149. [Google Scholar] [CrossRef] [PubMed]
- Dubrac, S.; Touati, D. Fur positive regulation of iron superoxide dismutase in Escherichia coli: Functional analysis of the sodB promoter. J. Bacteriol. 2000, 13, 3802–3808. [Google Scholar] [CrossRef]
- Mersni-Achour, R.; Cheikh, Y.; Pichereau, V.; Doghri, I.; Etien, C.; D’egremont, L.; Salunier, D.; Fruitier-Arnaudin, I.; Travers, M.A. Factors other than metalloprotease are required for full virulence of french Vibrio tubiashii isolates in oyster larvae. Microbiology 2015, 161, 997–1007. [Google Scholar] [CrossRef]
- Dubert, J.; Nelson, D.R.; Spinard, E.J.; Kessner, L.; Gomez-Chiarri, M.; da Costa, F.; Prado, S.; Barja, J.L. Following the infection process of vibriosis in Manila clam (Ruditapes philippinarum) larvae through GFP-tagged pathogenic Vibrio species. J. Invert. Pathol. 2016, 133, 27–33. [Google Scholar] [CrossRef]
- Dongdong, W.; Mbewe, N.; De Bels, L.; Couck, L.; Van Stappen, G.; Van den Broeck, W.; Nevejan, N. Pathogenesis of experimental vibriosis in blue mussel (Mytilus edulis) larvae based on accurate positioning of GFP-tagged Vibrio strains and histopathological and ultrastructural changes of the host. Aquaculture 2021, 535, 736347. [Google Scholar] [CrossRef]
- Elston, R.A. Prevention and management of infectious diseases in intensive mollusc husbandry. J. World Maricult. Soc. 1984, 15, 284–300. [Google Scholar] [CrossRef]
- Miranda, C.D.; Rojas, R.; Hurtado, L. Manual Técnico Indicadores de Calidad Larval del ostión del Norte; INNOVA Chile de CORFO/Universidad Católica del Norte: Coquimbo, Chile, 2009; p. 65. [Google Scholar]





| Enzyme | Activity | |
|---|---|---|
| VPAP36 | VPAP40 | |
| Control | Negative | Negative |
| Alkaline phosphatase | Positive | Positive |
| Esterase (C4) | Negative | Negative |
| Esterase lipase (C8) | Negative | Negative |
| Lipase (C14) | Negative | Negative |
| Leucine arylamidase | Positive | Positive |
| Valine arylamidase | Positive | Positive |
| Cystine arylamidase | Negative | Negative |
| Trypsin | Positive | Positive |
| α-Chymotrypsin | Negative | Negative |
| Acid phosphatase | Positive | Positive |
| Naphthol-AS-BI-Phosphohydrolase | Positive | Positive |
| α-Galactosidase | Negative | Negative |
| β-Galactosidase | Negative | Negative |
| β-Glucoronidase | Negative | Positive |
| α-Glucosidase | Negative | Negative |
| β-Glucosidase | Negative | Negative |
| N-Acetyl-β-glucosaminidase | Negative | Negative |
| α-Mannosidase | Negative | Negative |
| α-Fucosidase | Negative | Negative |
Disclaimer/Publisher’s Note: The statements, opinions and data contained in all publications are solely those of the individual author(s) and contributor(s) and not of MDPI and/or the editor(s). MDPI and/or the editor(s) disclaim responsibility for any injury to people or property resulting from any ideas, methods, instructions or products referred to in the content. |
© 2023 by the authors. Licensee MDPI, Basel, Switzerland. This article is an open access article distributed under the terms and conditions of the Creative Commons Attribution (CC BY) license (https://creativecommons.org/licenses/by/4.0/).
Share and Cite
Urtubia, R.; Miranda, C.D.; Rodríguez, S.; Dubert, J.; Barja, J.L.; Rojas, R. First Report, Characterization and Pathogenicity of Vibrio chagasii Isolated from Diseased Reared Larvae of Chilean Scallop, Argopecten purpuratus (Lamarck, 1819). Pathogens 2023, 12, 183. https://doi.org/10.3390/pathogens12020183
Urtubia R, Miranda CD, Rodríguez S, Dubert J, Barja JL, Rojas R. First Report, Characterization and Pathogenicity of Vibrio chagasii Isolated from Diseased Reared Larvae of Chilean Scallop, Argopecten purpuratus (Lamarck, 1819). Pathogens. 2023; 12(2):183. https://doi.org/10.3390/pathogens12020183
Chicago/Turabian StyleUrtubia, Rocío, Claudio D. Miranda, Sergio Rodríguez, Javier Dubert, Juan L. Barja, and Rodrigo Rojas. 2023. "First Report, Characterization and Pathogenicity of Vibrio chagasii Isolated from Diseased Reared Larvae of Chilean Scallop, Argopecten purpuratus (Lamarck, 1819)" Pathogens 12, no. 2: 183. https://doi.org/10.3390/pathogens12020183
APA StyleUrtubia, R., Miranda, C. D., Rodríguez, S., Dubert, J., Barja, J. L., & Rojas, R. (2023). First Report, Characterization and Pathogenicity of Vibrio chagasii Isolated from Diseased Reared Larvae of Chilean Scallop, Argopecten purpuratus (Lamarck, 1819). Pathogens, 12(2), 183. https://doi.org/10.3390/pathogens12020183

