Next Article in Journal
Population, Resources and Female Labor in the Raw Silk Industry of Nagano in Meiji Japan
Previous Article in Journal
Contesting Views on a Protected Area Conservation and Development in Ethiopia
 
 
Font Type:
Arial Georgia Verdana
Font Size:
Aa Aa Aa
Line Spacing:
Column Width:
Background:
Article

Cooperative Management of a Traditional Irrigation System in the Swiss Alps

1
Agricultural Economics and Rural Policy Group, Wageningen University, Hollandseweg 16706 KN Wageningen, The Netherlands
2
ETH Zurich, Agri-Food and Agri-Environmental Economics Group, Sonneggstrasse 33, 8092 Zurich, Switzerland
*
Author to whom correspondence should be addressed.
Soc. Sci. 2013, 2(1), 1-19; https://doi.org/10.3390/socsci2010001
Submission received: 27 November 2012 / Revised: 11 January 2013 / Accepted: 18 January 2013 / Published: 23 January 2013

Abstract

:
Traditional channel irrigation systems in Switzerland are managed on a community basis and have high cultural, touristic and ecological values. However, many irrigation communities disappeared in the last decades. This paper analyzes the factors contributing to the continuation of a still existent irrigation community. Our analysis thus provides insights into how to avoid further losses of these unique agricultural systems and to preserve the associated benefits. Based on hypotheses derived from game theoretical analysis, a survey was conducted in an irrigation community located in the canton of Valais. Our results show that the motivation of community members to remain in the traditional system is not a financial one. In contrast, factors such as long-term perspectives, system knowledge, communication and the institutional setting seem to be the basis for the continuation of the analyzed irrigation community. For policy makers, this example shows that the creation of institutions that enable self-governance, communication and knowledge transfer should be considered in this field of rural and agricultural policy making.

1. Introduction

Irrigation is an important determinant of agricultural production and rural land use in many parts of the world (see, e.g., [1,2,3] for overviews). Despite the technological and institutional development in irrigation systems in modern agriculture, traditional (indigenous) irrigation systems are still important in developing and developed countries. Following Trawick [4], the term traditional (indigenous) irrigation system refers to small-scaled channel systems, built by local people, with water use carried out following long term traditions. These systems are usually community based (often implying self-governance), i.e., farmers organize infrastructure and resource use on their own (e.g., [5,6]). The institutional design of agricultural water use is (and will be in the future) of highest importance to ensure sustainable water resource use and sufficient food production. Therefore, these traditional irrigation systems have received special attention, because they represent examples where sustainable water resource use has been ensured over centuries (e.g. [4,7,8,9]).
A wide range of studies has addressed the social, cultural and economic factors underlying the existence and stability of cooperative management systems (see, e.g., [10,11,12,13,14,15] for discussions and overviews). In the economic literature, the cooperative management of such irrigation systems has been recognized as an example for the management of a common pool resource (see [16] for overviews). In the case of an irrigation system, the common pool resource may be water itself (e.g., for a water reservoir), the joint provision of irrigation infrastructure or both. From a game-theoretical point of view, this cooperative infrastructure provision and maintenance could lead to situations of a prisoner’s dilemma (e.g., [17,18]). However, many real-world examples show that the cooperative management of irrigation systems is, despite the theoretical dilemma, possible (e.g., [4,16]). This observation has induced a wide range of theoretical and empirical investigations to reveal factors that enable cooperation in such community based use of common pool resources (see, e.g., [16,19,20,21] for overviews).
Our paper addresses the case of traditional channel irrigation systems in the Valais (a Swiss canton located in the southwest of the country), which are managed on a community basis. These irrigation systems are necessary to conduct mountain agriculture in this part of Switzerland. However, the economic relevance of these irrigation systems was significantly reduced in the last decades, and many irrigation communities thus disappeared. This development caused societal welfare reductions, because these traditional irrigation systems provide important services to the society by having high cultural, touristic and ecological importance (details are presented in section 3). Furthermore, irreversibility properties of abandoning irrigation due to failures of community based approaches in these mountainous regions can cause economic losses. In absence of irrigated grassland production, natural regrowth (e.g., by shrubs) will cause losses of production sites. Furthermore, infrastructure, such as water channels, is rapidly lost if not maintained (see, e.g., [22]). Once lost, the costs of re-establishing grassland sites (e.g., in cases where there would be higher needs for food production) or the re-construction of infrastructure, such as water channels, can be very high. For instance, Zurwerra [23] estimates the costs that are necessary to re-construct the currently existing system of water channels to be 1 billion Swiss Francs. Along these lines, the maintenance of these production sites and irrigation systems has been assigned an insurance value, because this would allow the increase of agricultural production if needed [24]. Sustaining the existing community based irrigation systems has thus been perceived as an important task for policy makers and other stakeholders. More specifically, the preservation of the existing systems is thus of high importance from a rural, ecological and agricultural policy point of view. Instruments to achieve these goals are currently under discussion, including financial incentive schemes for preservation of irrigation systems (e.g., [25]) and policy interventions preventing losses of such areas [23].
Based on this background, we aim to analyze potential factors that determine the survival of such communities. To this end, we use a survey in an exemplary irrigation community in the canton of Valais. This survey is developed based on a review on potential factors provided by game theoretical literature, as well as the specific characteristics of the employed case study. The survey results are evaluated empirically and qualitatively to identify the most important determinants for the survival of the considered irrigation community. These factors are relevant for policy makers and other stakeholders to avoid further losses of these unique agricultural systems and to preserve the associated benefits by pointing out the promising paths to follow in policy reforms. Thus, our results contribute to current policy discussions by revealing alternative approaches for conservation of traditional irrigation communities and the associated land use practices in the Swiss Alps. More generally, we additionally aim to link the here presented example of sustainable resource and infrastructure management with recent developments of incentive schemes in agricultural policy. The here presented analysis aims to extend the existing concepts applied to explain the success and failure of irrigation communities in Switzerland (e.g., [26,27]). Most importantly, the here presented analysis provides a value added to existing studies by empirically testing the success factors.

2. Game Theoretical Background on Resource Competition

In this section, we briefly introduce the idea of resource competition from a game theoretical perspective. Note that this section cannot provide an in-depth overview on all aspects of game theory, but rather aims to provide the basis for hypotheses development for the questionnaire. Thus, we restrict our presentation to short descriptions of important aspects and their expected effects on cooperative behavior, because deeper descriptions and analyses are beyond the scope of this paper. Even though the discussed phenomena may be well known, their brief discussion in this section is important for the interpretation of the results derived in our study.
In general, game theoretical analyses are devoted to strategic interactions, i.e., covering situations where the actions of individuals mutually influence their pay-off (or well-being) and, thus, their behavior (e.g., [18,28]). Thus, players involved in the ‘game’ interact, and their optimal decisions influence each other. The so called prisoner’s dilemma is a widely used example in game theory to describe competition on resource provision, maintenance or use. For irrigation systems, this resource can be either the water itself (e.g., in case of a reservoir) and/or the irrigation infrastructure (e.g., provision or maintenance pumps, pipes or channels). The question addressed in this paper refers to the latter case.
A simple description of the decision matrix for two players is depicted in Table 1. In situation A, both players invest in the irrigation infrastructure and have positive returns from this investment. However, if one player does not contribute to the infrastructure investment, i.e., is free-riding, his return is even higher, because he still benefits from the infrastructure (situation B1 and B2). Thus, both players have an incentive to not cooperate. Anticipating the behavior of the opponent, both players will decide not to invest, leading to situation C. This example shows that the strategic interaction of both players can result in the Nash equilibrium of non-investment, which actually represents the dilemma: even though both players would benefit from cooperation, their strategic interaction leads to a non-optimal solution, because no investment takes place.
Table 1. Schematic formulation of a prisoners’ dilemma on infrastructure investment.
Table 1. Schematic formulation of a prisoners’ dilemma on infrastructure investment.
Player 2
Player 1StrategyInvestmentNo Investment
InvestmentA: Both players benefit from investment and both cover the costsB1: Both players benefit from investment, but only Player 1 covers costs
No InvestmentB2: Both players benefit from investment, but only Player 2 covers costsC: No investment takes place, neither benefit the players, nor have they to cover costs
Even though the theoretical model described above results in non-cooperation, it has been frequently observed in case studies and experiments that cooperation (in our example, the joint provision or maintenance of infrastructure) is possible (see, e.g., [4,16] for overviews). Theoretical and empirical investigations on game theoretical approaches have provided several arguments as to why this cooperative solution is possible. We conducted a literature review to identify the most important of those arguments for the case of irrigation infrastructure provision. These phenomena derived from the literature are used to develop hypotheses for our survey.
In the game presented in Table 1, we assumed that players make investment decisions only once. However, in practice, players can be involved in the same game (with the same opponents) more than once, e.g., infrastructure maintenance decisions are made every year. If the game is repeated a finite number of times and the players are aware of this limit, there will be still no incentive to cooperate. Using backward induction of the sequential game, one can show that all players have an incentive to not invest in the final round, which also eliminates the incentives to cooperate in previous rounds. However, if the number of rounds is infinitive or the number of rounds is unknown to the players, repetition enables cooperative behavior (e.g., [29,30]). In these cases, i.e., if players play more than once against each other, certain behavioral rules of the players can induce cooperative behavior. Thus, players have strict or implicit rules (which are known by the other players) on how to react to the non-cooperative behavior of others. Players may simply react with the same strategy their opponent has chosen (tit-for-tat), i.e., cooperation is followed by cooperation (in response to the other player), non-cooperation by non-cooperation. If all players are aware of these decision rules, incentives for non-cooperative behavior are reduced, because gains from cheating are small or even negative (they do not pay-off in the long run). If players cannot observe other players decisions directly, an indirect decision rule may be chosen that focuses on the outcome of the game (e.g., profits, water availability for irrigation) observed by the player: if this outcome falls below a certain trigger, he stops cooperating, because this shows him that there is non-cooperative behavior in the group (trigger strategy). For the case study addressed in this paper, the above described situation may refer to the observation of a lack of water received by a farmer due to (or the direct observation of) insufficient infrastructure. These phenomena are summarized, for instance, by Axelrod [31], Axelrod and Dion [32], Bendor and Mookherjee [33], Fudenberg and Maskin [34] and Matsushima [35]. In this repetitive setting of games, it is important for our application how important future periods are for the involved players (i.e., their preferences for future periods). This cooperative solution of the game requires players to have preferences for future periods, because, otherwise (if only the current period matters), short-term maximization of profits would lead to non-cooperative behavior.
Along these lines, cooperative group behavior can also be facilitated if players have the option to punish others. Even though punishment may not be necessarily rational (because it is costly and does not necessarily increases one’s own outcome), it has been observed that human beings usually are willing to punish at their own expense. This strategy is particularly efficient if the punishment mechanisms are fixed in institutional rules (e.g., an automatic punishment) (e.g., [36,37,38,39,40,41]). In addition, it has been pointed out that the group size (i.e., the number of players) may affect incentives for cooperative behavior. In small groups, players know each other and can observe the behavior of the other players, which reduces incentives for non-cooperative behavior (e.g., [42,43]). Also, the players’ knowledge of the game has been found to influence cooperative behavior. For instance, if the players are aware of the social relationships of the game (e.g., the consequences of their decision on other individuals), as well as how their “input” to the community is exactly used, they are more likely to cooperate (e.g., [44]). In contrast, asymmetries across players have been found to negatively affect the likelihood of cooperative behavior: if payoffs from the game are not equal, e.g., due to asymmetries in water rights and land, non-cooperative behavior is more likely [44]. Finally, communication between the players is mentioned as an important fact to enable cooperation, because it reduces the degree of anonymity: more communication between players increases cooperative behavior [43]1.

3. Traditional Irrigation Systems in the Canton of Valais and the Case Study “Finnen”2

Though Switzerland usually receives high levels of precipitation and is known as a “water castle” [45,46], the inner alpine valley region of the canton of Valais in South-Western Switzerland is located in the rain shadows of the Alps and receives only low levels (annual rainfall levels are between 400 and 700 mm) of precipitation [47]. The scarcity of rainfall, in particular during summer months, has induced the construction of complex channel based irrigation systems in the Valais several centuries ago, which were first mentioned between the 11th and the 13th century [48,49,50]. These irrigation channels are mainly used to irrigate grasslands and are called Suonen (in German) or Bisse (in French). They are mainly fed from glacial (or snow) melt water. Irrigated grasslands in the canton of Valais represent the largest share of irrigated surface in Switzerland [51]. In the beginning of the 20th century, the system had 200 km of main- and 25,000 km of side channels [52].
Historically, most of these irrigation systems were managed in cooperatives and have been referred to as success-stories of local management [53]. In these cooperatives, the rights to use water (usually determined in hours of water outflow from the main channel) are tied with land use rights, which are both passed on over generations. Members of these cooperatives elected presidents and guardians, which were responsible for compliance with cooperative rules and the control of the infrastructure. The maintenance of infrastructure, however, was the responsibility of all members of the cooperative and was carried out in spring, i.e., before the irrigation season started. While this traditional system still exists in Switzerland, it has currently not sustained in all cases: In some cases, municipalities took the organizational responsibility from irrigation communities or the irrigation systems, and the associated land-use has mainly been abandoned ([47,48,54,55] provide further overviews on water channels and traditional irrigation in the Valais). An inventory of irrigation systems in the Valais is provided by Gerber [49].
The irrigation systems in the Valais have a high value for the society, because they provide important cultural, touristic and ecological functions. The traditional irrigation systems and the so-formed landscapes are perceived as one of the most beautiful cultural landscapes in Switzerland [56], and traditional irrigation systems are a unique characteristic of the Valais region [23]. These water channel systems are furthermore perceived as a part of cultural and historical heritage [57]. Based on these cultural values, the water channels and traditional forms of irrigation have also a high touristic value (e.g., [50]). They are, for instance, used as “waterway hiking trails” [58,59] and attract many tourists. They thus constitute an important economic factor in the highly touristic based economy of the Valais. Moreover, irrigation over the period of several centuries has created a unique flora and fauna along the irrigation channels, which represents a high biodiversity value [25]. For instance, traditional (gravity) irrigation with water being diverted from the water channels downhill over the grassland sites leads to a mixture of wet and dry spots that is expected to increase the diversity of plant species and birds [56,60]. Furthermore, the maintenance of mountain agriculture may be assigned an insurance-like value by providing the potential for (more intensive) production for cases when higher food production is needed. Therefore, losses of these irrigation systems imply societal welfare reductions due to reduced biodiversity and touristic attractiveness. Failures of community based approaches and a stop of irrigated grassland cultivation also have some irreversibility properties, because of natural regrowth (e.g., by shrubs), and infrastructure is rapidly lost if not maintained. Thus, the costs of re-establishing grassland sites (e.g., if there would be a higher need for food production) or a re-construction of water channels (e.g., for touristic purposes) can be very high.
Our analysis focuses on the irrigation community, Finnen, that is located at 1408 m a.s.l. and belongs to the municipality Eggerberg in the canton of Valais. Following its statutes, the irrigation community is responsible for the infrastructure of irrigation channels starting at the creek “Finnenbach” (fed from snow melt water at the Gärsthorn 2927 m a.s.l.), the distribution of water to community members, the fair allocation of maintenance costs, the coordination of building activities on the community ground and the enforcement of community rights3.
The community at large (and not the farmer himself) is the owner of the land. However, community members have water rights that are tied to land use rights, which are usually passed on over generations, but can also be traded. Community members consist of registered water users, owners of buildings at the community ground or free (external) members. Currently, there are in total about 181 community members, including 129 members that hold water rights. In contrast to the situation in the past, none of the community members are professional farmers anymore. This reflects the general development of agricultural employment in the Valais, with substantial switches from full-time to part-time agriculture in the last century.
Due to this fact, the here addressed case study may fundamentally differ from the usually applied examples on irrigation communities, where the farmers’ livelihood depends directly on irrigation (see e.g., [16] for overviews). Even though channel irrigation systems in Switzerland may represent part-time (or even hobby) rather than subsistence agriculture, these irrigation systems are of high relevance due to their high cultural, touristic and ecological value (cp. also [61] for an example from Greece).
In the irrigation community, Finnen, community members pay an annual (membership) fee of 10 CHF, a water use fee of 0.50 CHF per hour of water use (i.e., hours of water outflow from the main channel) and 10 CHF/year per building on the community ground. Once a year, there is a general assembly, where the president, secretary and cashier are elected. Moreover, the general assembly elects every two years a person (Wasservogt) who organizes the maintenance event of the irrigation community, that is called Gemeinwerk4. This Gemeinwerk takes place before the irrigation season starts with participants (members of the community). While participation at this infrastructure maintenance event was obligatory in former times, the fee system replaced obligatory participation. Currently, participants are reimbursed for their participation. Thus, the fees paid by all community members are necessary to ensure the maintenance of the irrigation channel system.
If irrigation and agricultural use would be abandoned, this would lead to a loss of productive agricultural land and a loss of the unique countryside. To prevent this, there is a regulation by the municipality that parcels have to be irrigated (and used for grassland production). If the owner of the water rights is not carrying out the irrigation on his own, it is made by external persons, but at the expense of the owner. So, owners of water rights are actually forced to irrigate their land. The current practice is, however, that this duty is conducted by others (other farmers from the community) that are compensated for their efforts. The traditional form of irrigation is labor-intensive and, thus, expensive. Furthermore, the very small structure of parcels increases costs for management and irrigation. Zurwerra [23] estimates the costs for this type of irrigation in the Valais to be about 1,440 CHF per hectare each year. In order to avoid expenses due to community fees and irrigation itself, owners of water rights could give up or sell their water rights (potentially also meaning that they leave the community), or even chose to not further contribute to the community by not paying fees anymore.
The community has a fixed time schedule for the water use (Wasserkehr) that determines the right to use water to a specific water user in time slices of 30 minutes5. This plan for water use is made for four weeks. It re-starts from the beginning for the next 30 days. Because the creek has only a small flow volume, only one person can use the water, and no simultaneous use of water is possible. Thus, any attempt to “steal” water by irrigation off the time table will be detected easily. The irrigation season usually lasts till July or August, when the creek dries up.

4. Questionnaire

A questionnaire was developed based on the background information on the case study, the interview with the community president and, finally, on the game theoretical literature presented above. In this section, we describe the questionnaire content, as well as the intentions of and hypotheses associated with the included questions6.
First, the questionnaire was used to collect information on farms’ and farmers’ characteristics. To this end, we asked community members to indicate their age, education and income (in five categories of monthly earnings), as well as the size of land (in hectares) they have water rights for. We also asked if their land is located at one parcel, many parcels that are located next to each other or if they have abutting parcels. For the latter response, they had to specify the number of abutting parcels. Respondents also indicated if they have inherited or bought their land. Secondly, we elaborated irrigation specific details from the respondents. We asked if they irrigate their land on their own or if someone else (usually another farmer who is compensated for this) undertakes this task. Respondents also had to indicate if irrigation is worth the effort in financial terms (i.e., if it is profitable to irrigate). Furthermore, we asked if they would also irrigate without any obligations or if they irrigate their land only because it is obligatory.
The literature review presented above revealed that the valuation of the future is an important determinant for cooperation. In particular, cooperation is more likely the more important future periods are. Even though the “game” the community members are playing in our example has an infinite time horizon, this may not matter at all if the players leave the system in the next period. To get an indication of how important future periods are for the community members, we asked if they have successors that will inherit the land and water rights. They had to choose from four categories: sure yes, probably yes, probably no, sure no. If there is a successor, we expect that these persons care much more about future periods than if this would not be the case.
Another important point derived from the literature was the knowledge on the system and knowledge on the consequences of one’s own behavior on other players. In general, a higher state of knowledge is expected to facilitate cooperative behavior. Furthermore, the lack of anonymity in the group has been indicated as positive for cooperation. To elaborate on the knowledge of the community members on the social structure of the game, we asked them if they know for what the fees they pay are used (three categories: no, roughly yes, exactly yes). We also asked if they think that not paying fees would affect others. If the answer is “yes”, we asked for specific examples in an open question. To approximate how well the respondents know the other community members, we asked them how often they see other members (in six categories: daily, weekly, monthly, various times per year, once a year, never). Moreover, we asked them if they participate at the annual maintenance event of the irrigation community (five categories: always, often, sometimes, infrequent, never).
Additional questions aimed to identify under which conditions the community members would stop cooperation, i.e., would stop contributing fees to the community, and the system would break down. First, they were asked if they would still make their payments if there would be no further investment in infrastructure and the irrigation channels would thus be in bad conditions. Secondly, they were asked if they would pay (accept) an additional annual fee—the amount was randomly chosen for each survey from the following set of possibilities: 5, 10, 20, 30, 40, 60, 80, 100, 200, 300, 600 and 900 CHF (i.e., for each questionnaire, an amount was assigned randomly).
Finally, we asked respondents about their reactions to the non-cooperative behavior of others. Thus, these questions should show if community members play tit-for-tat (or similar) strategies or use punishment mechanisms. In a first step, the respondents were asked to outline (in an open question) their reaction (i.e., what they would do) if they knew that someone is not paying his fees. Subsequently, they were asked if they would stop paying their own fee if they knew that others do not pay. If they indicated that they would stop paying their fees, they were asked to specify if this would be the case already if others would not pay a few times, or if this is only the case if others stop paying at all over a long time. The questionnaire was sent to all 181 community members (addresses were provided by the president of the irrigation community), and we received 39 completed questionnaires. This low response rate can be partially explained by the fact that 25 addresses were not valid (i.e., were returned) and six incomplete questionnaires were received. Furthermore, no incentive schemes for participation or reminders have been used to motivate higher response rates. In absence of the possibility for quantitative validation of the representativeness of the respondents, we used a qualitative approach by interacting with the community administration, who supported the representativeness of the sample.

5. Analysis

In order to investigate the relationship between crucial answers to crucial variables and farmers’ characteristics, we employ cross tables and Pearson Chi-Square tests (for categorical variables), Kendall’s Tau (for ordered variables), as well as logistic regressions (for continuous explanatory variables). More specifically, we test for influential factors explaining the farmers’ decision to irrigate on their own using variables describing the farmers’ and land characteristics (such as age, education, land size), their involvement in the community (contact to other community members, participation at maintenance event) and information about if a successor will inherit the land and water rights. The same strategy is used to test for the influential factors explaining the respondents’ answers on the questions about whether they know for what the fees are being used and if they think that not paying fees affects others. Furthermore, we tested if the stated profitability of the irrigation activity is related to the size of the land belonging to their water rights.
In order to estimate the marginal effect of the size of the additional fee suggested on the probability of acceptance, we used a logistic regression between the binary answer to the question and the amount offered. Because the explanatory variable is highly skewed, we used its logarithm in the regression. In order to validate the explanatory power of the estimated logistic regression model, a cross-validation is conducted with a randomly selected training data set consisting of 75% of the total observations and a validation dataset of the remaining 25% of the total observations. The coefficient estimates derived from the training dataset are used to predict answers in the validation dataset. This cross validation procedure is repeated 1,000 times, and the average percentage of correct predictions is reported.

6. Results

Table 2 summarizes the characteristics of the community members, as well as of their land used. On average, the respondents are 64 years old ,and most of them indicated a professional apprenticeship as the highest education level. The most frequent indicated income classes are in line with the average incomes observed in the canton of Valais [62]. The area cultivated by a single community member is, with an average of 1.07 ha, extremely small and ranges from 0.03 to 7 ha. Very small land sizes are often the result of a split-up of an inheritance and are observed also in other parts of the Valais [48]. In most cases, this land is even divided in abutting parcels: only 29% of all respondents have only a single parcel. Those community members that do have abutting parcels (69%), have on average 3.27 parcels. Thus, parcels and associated water rights for single members are very small and spread over the community ground. Land and water rights are usually inherited, as almost 90% of the respondents indicated this. The large range of land sizes reveals strong asymmetries between community members regarding their assets and the potential gain from participating in the community. However, as fees are also based on the size of water rights (and thus land), these asymmetries are outweighed and are not expected to influence decisions on cooperation.
Table 2. Characteristics of community members and irrigation plots.
Table 2. Characteristics of community members and irrigation plots.
VariableMeanRangeSD
Age6442–8510.75
EducationMost frequent answer (20 out of 34): professional apprenticeshipFrom obligatory school degree to university degree-
IncomeMost frequent answer (13 out of 35): Between 3,000 and 5,000 CHF per monthFrom less than 3,000 till more than 9,000 CHF per month-
Moreover, 10 out of 35 indicated monthly incomes between 5,000 and 7,000 CHF
Land size Allocation of Parcels1.07 ha0.03–7 ha1.46 ha
29% indicate that their land is only at one parcel
8% indicated that their parcels are located next to each other
63% indicated to have abutting parcels. On average, the number of abutting parcels is 3.27
Is land inherited or bought?77% inherited, 10% bought, 10% both, 3% without answer
Table 3 summarizes the answers to the irrigation behavior of the community members, as well as their importance and valuation of future periods. Only the minority (34%) irrigates on their own. For the majority of community members, other persons (usually other farmers) at least temporarily undertake this task and, thus, are also responsible for the cultivation of this land. We find a significant positive relationships (at the 5% level) between the decision to irrigate on their own and the variables: contact with other community members, participation at the annual maintenance event and the likelihood that a successor inherits the land and water rights (having a successor increases the probability to observe that the irrigation task is performed by the farmer itself). Thus, farmers that are more involved in the community and have high likelihoods that the activities will be carried on further in their family are more likely to perform irrigation activities and not transfer this task to other farmers. In contrast, no significant relationship was found with land and farmers’ characteristics (age, education, land size).
The majority of community members (78%) indicated that the irrigation is not profitable, i.e., the additional production does not cover costs and efforts made. However, a significant (at the 10% level) difference between the responses of very small farms (smaller than 1 ha) and the larger farms have been found: irrigation tends to be rather profitable for members with larger land sizes. The above presented results show that the observed cooperative behavior, i.e., staying in the community, is not based on financial incentives for the majority of respondents. This is additionally underlined by the following observation: Currently, irrigation (and agricultural use) of the plots is obligatory, which has been enforced to avoid shrub invasion at the grassland sites. However, this obligation is not the main motivation to continue irrigation: 83% of the respondents indicate that they would continue irrigation even if it would no longer be compulsory. In summary, neither the financial motivation nor the requirement to use and irrigate the plots seems to be the main driver of the cooperative behavior of community members.
The observed cooperative behavior and the strong (non-financial) preference for maintaining the community irrigation system may be based on the clear link to future generations: 74% of the respondents indicate that there is (for sure or probably) a successor who will continue their activities. Passing along water rights and continuing irrigation activities is also reflecting the strong preference for the preservation of the ancestors’ heritage.
Table 3. Analysis of questions on Irrigation behavior and relevance of future periods.
Table 3. Analysis of questions on Irrigation behavior and relevance of future periods.
QuestionAnswers
Do you irrigate yourself?Yes: 34%, No: 66%
Does irrigation pay in financial terms?Yes: 22%, No: 78%
Would you also irrigate if it would not be obligatory?Yes: 83%, No: 17%
Do you have a successor who will inherit the water rights?Yes, for sure: 36%
Yes, probably: 38%
No, probably not: 13%
No, for sure not: 13%
The results of the questionnaire with respect to the community members’ knowledge on the system, as well as the contact frequency among the members are summarized in Table 4. More than 80% of the respondents know how and for what their fees are used. As outlined in the literature review, this is an absolutely important determinant for cooperation—the value added of their contribution to the community is perceived and recognized by the community members. We find that this knowledge is significantly (at the 5% level) positively correlated with the contact frequency with other members of the community, as well as with the likelihood that a successor will inherit land and water rights. No significant relationship was found with other variables, such as land and farmers’ characteristics.
The response to the question about if they think that non-cooperative behavior would affect others is ambiguous: 41% of the respondents indicated that this would have no influence on others, while 44% responded the opposite way. Among the latter, in particular the fact that the level of maintenance and, thus, also, of infrastructure could not be held on the current level has been highlighted as a consequence of non-cooperative behavior. Moreover, they think that other members would have to pay for their non-cooperative behavior by facing higher fees. No significant relationship with other variables was found for this question.
Regarding the contact frequency among the members, the majority of members (46%) indicated that they see the others various times per year, and 18% see other members even at least once a month. Only 21% indicate that they see the other community members never. Thus, the community members do know each other well, which is another important reason for cooperative behavior outlined in the literature. About half of the respondents participate at the annual maintenance event. Note that the fee system replaced obligatory participation. Thus, this participation is voluntary (and reimbursed). In summary, the respondents do know for what their fees are used and many of them see the consequences of non-cooperative behavior for others (and the community). Moreover, community members know each other and see other members rather frequently. This reduces the incentives for non-cooperative behavior, even though the community is, with more than 180 members, rather large.
Table 4. Analysis of questions on knowledge and anonymity.
Table 4. Analysis of questions on knowledge and anonymity.
QuestionsAnswers
Do you know how your fees are used?No: 18%
Yes, more or less: 46%
Yes, exactly: 36%
Do you think that not paying fees affect others?No answer: 15%
No: 41%
Yes: 44%
Specifications, if indicated yes in the last question (most frequent answers to open question)1. Regular maintenance could not be guaranteed any longer and infrastructure cannot not be maintained (7 counts)
2. Fees for others have to be increased (4 counts)
3. Maintenance has to be done by myself (2 counts)
How often do you see other community members?Daily: 0%
Once a week: 10%
Once a month: 8%
Various times per year: 46%
Once per year: 15%
Never: 21%
Do you participate at the annual maintenance event?Always: 21%
Often: 8%
Sometimes: 10%
Infrequent: 5%
Never: 56%
The strong preference for cooperation is also underlined by the answers summarized in Table 5. 56% of the respondents would even continue with their payments to the community of the infrastructure (what they actually pay for) even if it would be in bad condition. In an open question about how they would react if they would know that other members would not pay their fees, most respondents indicated no change in their behavior, but also no personal approach to the dissenter. In contrast, they are convinced that the community and its rules will solve the problem. Consequently, complaints at the general assembly or to the president are mentioned as possible reactions. Note that, however, doing nothing was the most frequent response given by the respondents. Only two persons indicated reacting with a tit-for-tat strategy of not paying fees as well. This is also underlined by the answers given to the subsequent question: even if they would know that other members would not pay their fees, the majority (62%) would not stop paying fees to the community. Among those that would consider stopping their payments, 60% would require a frequent non-cooperative behavior of others to stop paying fees. Thus, neither tit-for-tat decision rules are considered by the community members, nor do they indicate direct punishment mechanisms against non-cooperative behavior. In contrast, the community organization itself and the general assembly seem to be the institutions the community members rely on, even though no sanctioning mechanisms are defined in the community rules.
Table 5. Analysis of questions on cooperative behavior.
Table 5. Analysis of questions on cooperative behavior.
QuestionsAnswers
Would you still pay your fees if infrastructure would be in bad conditions?Yes: 56%
No: 44%
What would you do if you know that someone is not paying his fees? (most frequent answers to open question)1. No reaction (and still fully comply with my obligations) (9 counts)
2. Make a complaint (to the president or general assembly), because the community is responsible to handle such cases (6 counts)
3. Stop my paying my fees as well (2 counts)
If you would know that someone is not paying his fees, would you still pay your fees?Yes: 62%
No: 38% (among those 40% even if it happens a few time, 60% only if it happens frequently)
Table 6 presents the estimation results of the logistic regression on the respondents’ willingness to accept a higher annual fee. In the questionnaire, they were asked if they would accept a certain higher annual fee, which was chosen randomly from a set of possible amounts ranging from 5 to 900 CHF. A logistic regression was used to estimate the marginal effects of higher fees on the participation in the community by paying fees. It shows that, as expected, higher fees reduce the respondents’ willingness to accept additional fees.
Table 6. Coefficient estimates on the willingness to accept additional fees.
Table 6. Coefficient estimates on the willingness to accept additional fees.
VariableCoefficient estimate (t-value)
Intercept1.95 (1.25)
Logarithm (Additional Fee)−0.51 (−1.81) *
Correct Predictions67%
* denotes significance at the 5% level.
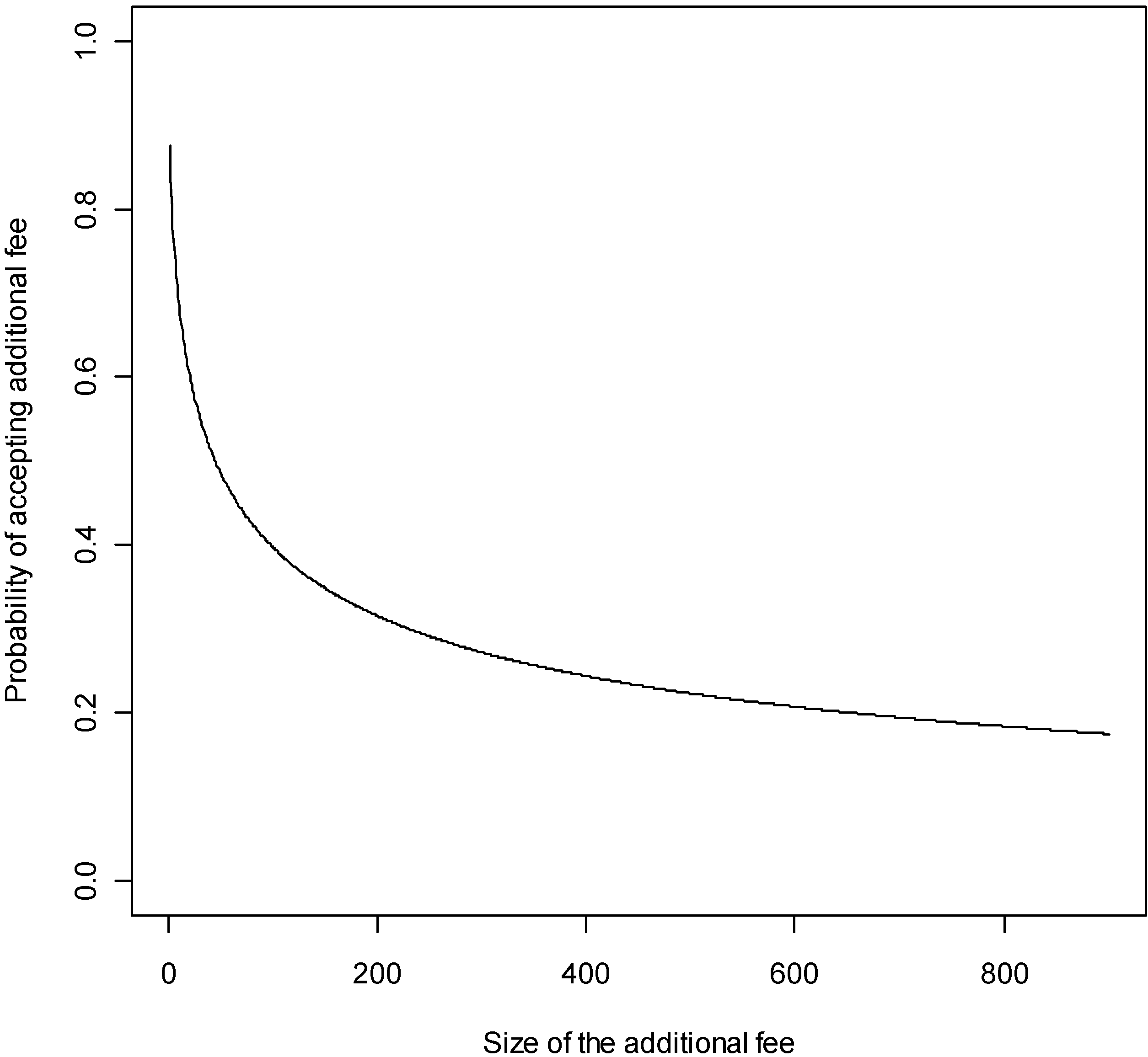
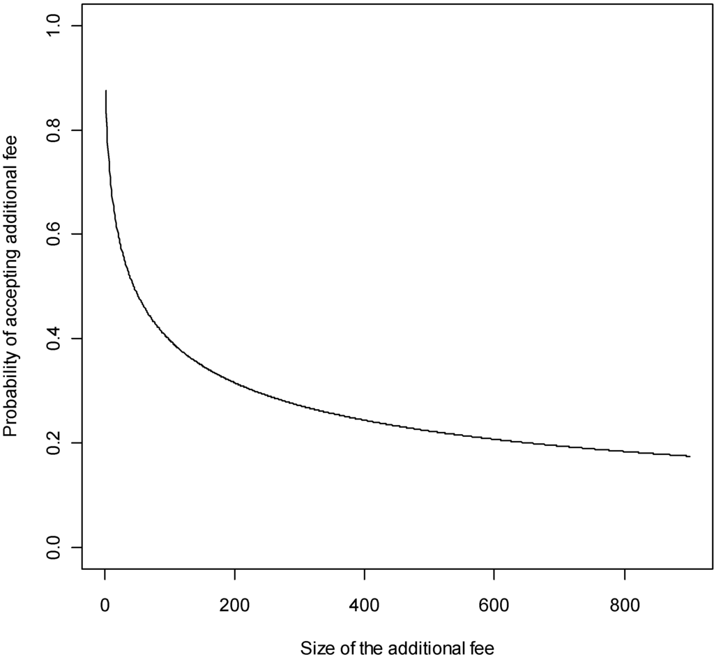
This marginal effect of the size of the additional fee on the probability of acceptance is visualized in Figure 1. It shows that one part of the community is sensitive to increasing fees, i.e., willingness to accept additional fees reduces rapidly with increases from the current level. However, the marginal effects curve shows saturation for higher amount of fees, which indicates the insensitivity of another part of the community to higher fees.
Figure 1. Marginal effect of the size of the additional fee on the probability of acceptance.
Figure 1. Marginal effect of the size of the additional fee on the probability of acceptance.
Socsci 02 00001 g001

7. Summary and Policy Conclusions

We analyzed a community based irrigation system in the Valais, Switzerland. This case study represents an example of how community based management of water and infrastructure can sustain over centuries. Revealing the factors that lead to continuation can thus provide important insights for policy makers and other stakeholders on how community based management of common pool resources can be sustained also in the future. Traditional channel based irrigation systems in the Valais are of high cultural, touristic and ecological value. However, many of these systems have been abandoned in the last century. These abandonments represent a societal welfare loss and are also characterized by irreversibility, because unmanaged land and irrigation channels may be lost rapidly due to natural regrowth. We analyzed potential factors contributing to continuation of the community using a questionnaire distributed among the community members, which was returned by 39 respondents. The questionnaire development was based on a literature review on factors that can support cooperative behavior, with a particular focus on observations derived from game theory. Our empirical investigation was thus used to identify and isolate those factors that are responsible for cooperative behavior.
We find that the motivation of community members in the here analyzed example to remain in the community based management of irrigation channels is not a financial one. None of them is a full-time farmer, and most of the respondents indicated that irrigation and the associated grassland production is not profitable for them, i.e., costs for coordination and infrastructure maintenance are not covered by the additional returns from agricultural production. Currently, irrigation (and cultivation) of parcels is obligatory though a regulation of the municipality. 83% of respondents indicated that they would continue current management even if there would be no such regulation. This is additionally underlined by the fact that most respondents would continue to pay their fees even if the infrastructure would be in bad conditions. Also, an analysis of their willingness to accept higher levels of fees revealed a saturated response, i.e., a price insensitivity for some of the community members. Thus, neither financial motives nor legislative regulation seem to be the major motivation for continuing the community based management and use of water from irrigation channels. In contrast, other factors are much more important.
For instance, the tradition of passing on land use and water rights from generation to generation seems to be one of the factors contributing to the continuation of the community. The majority of respondents has inherited their water and land-use rights and already has a successor that will continue their activities. Therefore, community members have strong preferences for the future and do not follow short-run maximization of profits (or better cost-avoiding) by leaving the community, by selling their water rights or by stopping the payment of fees. Due to this high relevance of future periods, the repetitive nature of the decision on infrastructure maintenance enables cooperative behavior.
Furthermore, the good knowledge on the system at large, as well as the lack of anonymity and communication between players have been found to be important drivers for the continuation of the analyzed irrigation community. Almost all respondents know for what (and how) their financial contributions to the community are used and that not paying fees has consequences for other members. Even though the group of involved actors is large (the community has more than 180 members), they indicate frequent contact and communication among community members, which is expected to reduce the anonymity factor within the group. Other success factors frequently mentioned in the literature are related to reactions of players to non-cooperative behavior. It is assumed that, for example, tit-for-tat strategies, i.e., answering with non-cooperative behavior on observed deviations from cooperative behavior, would enable cooperation. In general, also, the strong will of players to use (or even institutional agreements on) punishment options was expected to enforce cooperative behavior in the group. However, our questionnaire revealed that community members do not use these strategies: most of them would continue to pay their fees even if they know that others do not. Most respondents indicated that they would not react at all or, if reacting, would make a complaint to the community president or at the general assembly. No kind of punishment was mentioned. Thus, instead of responding to non-cooperative behavior on their own, members tend to rely on the institution of the community to handle non-cooperative behavior, even though no sanctioning mechanisms are explicitly defined in the community rules. To further investigate determinants of community behavior in these traditional irrigation systems, future research should focus on investigating (and comparing) a wider set of communities, build-up panel information (to trace the development of communities over time) and also focus on additional qualitative information (e.g., by using interviews instead of surveys).
For policy makers, our results show that financial incentive schemes may have a limited potential to solve problems of these irrigation systems, i.e., to stop their disappearance. This is due to the fact that participants’ decisions seem to be not mainly driven by financial motivations. Rather, the institution of the community, the frequent contact (and exchange), as well as the good knowledge on the system are the determinants of a successful community based management of irrigation infrastructure. An introduction of financial motivations to sustain the traditional irrigation systems may even have the contrary effect: if financial aspects are emphasized by the government, this may change the perception of community members and may push the actual motivations into the background. More generally, Swiss agricultural policy is focused to compensate farmers for reducing environmental loads from agriculture and to provide public goods, related to recent discussions on payments for ecosystem services (see, e.g., [63]). This is even more emphasized in the currently discussed reform of the Swiss agricultural policy [64]. Lessons learned from the here presented example show that the creation of institutions that enable a self-governance and communication, as well as knowledge transfers (e.g., on specific environmental problems) may be another path that should be followed in the future. This conclusion may be also valid for choosing adequate institutional and policy designs for agricultural water use in a more general sense that will be critically important to ensure sustainable water resource use and sufficient food production.

Acknowledgements

We would like to thank all members of the irrigation community, Finnen, that provided us with information and responded to our survey. Furthermore, we would like to thank Bernard Lehmann and Emmanuel Reynard as well as two anonymous reviewers for their support and comments. The paper is a contribution to the activities of the National Research Project NRP 61 on Sustainable Water Management.

References and Notes

  1. Charles H. Batchelor, Chris Lovell, and A.J. Semple. “Garden irrigation for improving agricultural sustainability in dryland areas.” Land Use Policy 11 (1994): 286–93. [Google Scholar] [CrossRef]
  2. Dick Grove, and Jack M. Grove. “Traditional montane irrigation systems in modern Europe: an example from Valais, Switzerland.” Agriculture, Ecosystems & Environment 33 (1990): 181–86. [Google Scholar]
  3. Ruth Meinzen-Dick. “Beyond panaceas in water institutions.” Proceedings of the National Academy of Science of the United States of America 104 (2007): 15200–05. [Google Scholar] [CrossRef] [PubMed]
  4. Paul B. Trawick. “Successfully Governing the Commons: Principles of Social Organization in an Andean Irrigation System.” Human Ecology 29 (2001): 1–25. [Google Scholar] [CrossRef]
  5. Zerihun Bekele, and Ketema Tilahun. “On-farm performance evaluation of improved traditional small-scale irrigation practices: a case study from Dire Dawa area, Ethiopia.” Irrigation and Drainage Systems 20 (2006): 83–98. [Google Scholar] [CrossRef]
  6. Ahmed Salim Al-Marshudi. “Traditional irrigated agriculture in Oman-operation and management of the Aflaj system.” Water International 26 (2001): 259–64. [Google Scholar] [CrossRef]
  7. Donald C. Funnell. “Intervention and indigenous management: the geography of small-scale irrigation development in Morocco and Swaziland.” Land Use Policy 11 (1994): 45–54. [Google Scholar] [CrossRef]
  8. Linden Vincent. “Lost chances and new futures: Interventions and institutions in small-scale irrigation.” Land Use Policy 11 (1994): 309–22. [Google Scholar] [CrossRef]
  9. Hermann Kreutzmann, ed. Sharing Water. Irrigation and Water Management in the Hindukush-Karakoram-Himalaya. Oxford: Oxford University Press, 2000.
  10. James Barsimantov, Alex Racelis, Kelly Biedenweg, and Maria Digiano. “When collective action and tenure allocations collide: Outcomes from community forests in Quintana Roo, Mexico and Petén, Guatemala.” Land Use Policy 28 (2011): 343–52. [Google Scholar] [CrossRef]
  11. Piers Blaikie. “Is small really beautiful? Community-based natural resource management in Malawi and Botswana.” World Development 34 (2006): 1942–57. [Google Scholar] [CrossRef]
  12. Betsy Jane Clary. “Broadening the Concept of Rational Economic Behavior: A Case Study of Cheese Making at the Abbey of Tamie.” Review of Social Economy 65 (2007): 165–86. [Google Scholar] [CrossRef]
  13. David P. Ellerman. “Entrepreneurship in the Mondragon Cooperatives.” Review of Social Economy 42 (1984): 272–94. [Google Scholar] [CrossRef]
  14. Frederic Varone, Emmanuel Reynard, Ingrid Kissling-Näf, and Corine Mauch. “Institutional resource regimes: The case of water in Switzerland.” Integrated Assessment 3 (2002): 78–94. [Google Scholar] [CrossRef]
  15. Arild Vatn. “Resource regimes and cooperation.” Land Use Policy 24 (2006): 624–32. [Google Scholar] [CrossRef]
  16. Elinor Ostrom, Roy Gardner, and James Walker. Rules, Games, and Common-Pool Resources. Ann Arbor: University of Michigan Press, 1994. [Google Scholar]
  17. Ariel Dinar, Shlomi Dinar, Stephen McCaffrey, and Daene McKinney. Bridges over Water—Understanding Transboundary Water Conflict, Negotiation and Cooperation. Singapore: World Scientific Publishing Co. Pte. Ltd, 2007. [Google Scholar]
  18. Roger B. Myerson. Game Theory Analysis of Conflict. Cambridge: Harvard University Press, 1997. [Google Scholar]
  19. Elinor Ostrom. Governing the Commons: The Evolution of Institutions for Collective Action. New York: Cambridge University Press, 1990. [Google Scholar]
  20. Elinor Ostrom. “A Long Polycentric Journey.” Annual Review of Political Science 13 (2010): 1–23. [Google Scholar] [CrossRef]
  21. Elinor Ostrom, and Roy Gardner. “Coping with asymmetries in the commons: Self-governing irrigation systems can work.” Journal of Economic Perspectives 7 (1993): 93–112. [Google Scholar] [CrossRef]
  22. Mario Gellrich, and Niklaus E. Zimmermann. “Land abandonment in the Swiss mountains: A spatial statistical analysis at the regional scale.” Landscape and Urban Planning 79 (2007): 65–76. [Google Scholar] [CrossRef]
  23. Richard Zurwerra. “Wiesenbewässerung im Wallis—zwischen Tradition und Moderne.” Geomatik Schweiz 10 (2010): 454–57. [Google Scholar]
  24. Bernard Lehmann. “Wie viel und welcher Teil der landwirtschaftlichen Nutzflächen im Berggebiet sollen in Zukunft noch genutzt werden? ” In Conference on ‘Berglandwirtschaft: Minimalnutzung als Teil der Multifunktionalität’, Zurich, Switzerland, 19 March 2010.
  25. Raimund Rodewald, Bruno Baur, Simon Birrer, Peter Knoepfel, and Andreas Rigling. “Water Channels for Biodiversity and Tourism.” Project Proposal, National Research Program 59, Swiss National Science Foundation, Bern, Switzerland. 2011. [Google Scholar]
  26. Ingrid Kissling-Näf, Thomas Volken, and Kurt Bisang. “Common property and natural resources in the Alps: The decay of management structures? ” Forest Policy and Economics 4 (2002): 135–47. [Google Scholar] [CrossRef]
  27. Emmanuel Reynard. “Cadre institutionel et gestion des ressources en eau dans les Alpes: deux éetudes des cas dans des stations touristiques valaisannes.” Swiss Political Science Review 6 (2000): 53–85. [Google Scholar] [CrossRef]
  28. Hal Ronald Varian. Microeconomic Analysis. New York: W.W. Norton, 1992. [Google Scholar]
  29. Robert Duncan Luce, and Howard Raiffa. Games and Decisions—Introduction and Critical Survey. New York: Wiley, 1967. [Google Scholar]
  30. Robert John Aumann. Repeated Games with Incomplete Information. Cambridge: MIT Press, 1995. [Google Scholar]
  31. Robert Axelrod. The Evolution of Cooperation. New York: Basic Books, 1984. [Google Scholar]
  32. Robert Axelrod, and Douglas Dion. “The further evolution of cooperation.” Science 242 (1988): 1385–90. [Google Scholar] [CrossRef] [PubMed]
  33. Jonathan Bendor, and Dilip Mookherjee. “Institutional structure and the logic of ongoing collective action.” American Political Science Review 81 (1987): 129–54. [Google Scholar] [CrossRef]
  34. Drew Fudenberg, and Erik Maskin. “The Folk Theorem in Repeated Games with Discounting or with incomplete Information.” Econometrica 54 (1986): 533–54. [Google Scholar] [CrossRef]
  35. Hitoshi Matsushima. “Long-term partnership in a repeated prisoner's dilemma with random matching.” Econonomics Letters 34 (1990): 245–48. [Google Scholar] [CrossRef]
  36. Robert Axelrod. “An evolutionary approach to norms.” American Political Science Review 80 (1986): 1095–111. [Google Scholar] [CrossRef]
  37. Ernst Fehr, and Simon Gächter. “Altruistic punishment in humans.” Nature 415 (2002): 137–40. [Google Scholar] [CrossRef] [PubMed]
  38. David Hirshleifer, and Erik Rasmusen. “Cooperation in a repeated prisoners' dilemma with ostracism.” Journal of Economic Behavior & Organization 12 (1989): 87–106. [Google Scholar]
  39. Nikos Nikiforakis, and Hans-Theo Normann. “A comparative statics analysis of punishment in public-good experiments.” Experimental Economics 11 (2008): 358–69. [Google Scholar] [CrossRef]
  40. Elinor Ostrom, James Walker, and Roy Gardner. “Covenants With and Without a Sword: Self-Governance is Possible.” American Political Science Review 86 (1992): 404–17. [Google Scholar] [CrossRef]
  41. Akira Okada. “The possibility of cooperation in an n-person dilemma with institutional arrangements.” Public Choice 77 (1993): 629–56. [Google Scholar] [CrossRef]
  42. Robyn M. Dawes. “Social Dilemmas.” Annual Review of Psychology 31 (1980): 169–93. [Google Scholar] [CrossRef]
  43. Peter Kollock. “Social dilemmas: The anatomy of cooperation.” Annual Review of Sociology 24 (1998): 183–214. [Google Scholar] [CrossRef]
  44. Martin Beckenkamp, Heike Hennig-Schmidt, and Frank P. Maier-Rigaud. “Cooperation in Symmetric and Asymmetric Prisoner's Dilemma Games.” 3/2007. http://ssrn.com/abstract=968942. Preprints of the Max Planck Institute for Research on Collective Goods, Bonn, 2006, no. 2006/25.
  45. Manfred Spreafico, and Rolf Weingartner. “Hydrologie der Schweiz. Rapports de l’OFEG, Série Eaux—Rapporti dell’UFAEG.” Serie Acque Nr. 7, Berne. 2005. [Google Scholar]
  46. Daniel Viviroli, and Rolf Weingartner. “Water Towers—A global view of the hydrological importance of mountains.” In Mountains: Sources of Water, Sources of Knowledge. Edited by Ellen Wiegandt. Dordrecht: Springer, 2008, pp. 15–20. [Google Scholar]
  47. Darren S. Crook, and Anne M. Jones. “Design principles from traditional mountain irrigation systems (bisses) in the Valais, Switzerland.” Mountain Research and Development 19 (1999): 79–99. [Google Scholar] [CrossRef]
  48. Guy Bratt. The Bisses of Valais—Man-made Watercourses in Switzerland. Buckinghamshire: Gerrards Cross, 1995. [Google Scholar]
  49. Johannes Gerber. Die Suonen im Wallis. Available online: www.suonen.ch (accessed on 10. September 2012).
  50. Emmanuel Reynard. “Les bisses du Valais, un exemple de gestion durable de l’eau? ” Lemaniques 69 (2008): 1–8. [Google Scholar]
  51. Michael Weber, and Andreas Schild. Stand der Bewässerung in der Schweiz—Bericht zur Umfrage 2006. Bern: Swiss Federal Office for Agriculture, 2007. [Google Scholar]
  52. Emmanuel Reynard. “Réhabilitation de canaux d'irrigation de montagne à des fins touristiques—L'example des bisses du Valais (Suisse).” L'eau, l'industrie, les nuisances 213 (1998): 24–30. [Google Scholar]
  53. Robert Netting. “The system nobody knows: Village irrigation in the Swiss Alps.” In Irrigation's Impact on Society. Edited by McGuire Gibson and Theodore E. Downing. Tucson: University of Arizona Press, 1974, pp. 67–75. [Google Scholar]
  54. Emmanuel Reynard. “Hill irrigation in Valais (Swiss Alps): Recent evolution of common-property corporations.” In Farmer Managed Irrigation Systems in the Changed Context. Edited by Prachanda Pradhan and Upendra Gautam. Proceedings of the Second International Seminar held on 18–19 April 2002, Kathmandu, Nepal, Kathmandu, Farmer Managed Irrigation Systems Promotion Trust 2002; pp. 343–61.
  55. Emmanuel Reynard. “Transporter l’eau: Regards croisés sur les réseaux urbains et ruraux de l’eau en Suisse.” Flux 72 (2008): 27–38. [Google Scholar]
  56. Elisabeth Kaestli. “Die Suonen sprudeln wieder.” Umwelt 1/06 (2006): 38–39. [Google Scholar]
  57. NZZ. “Wasserleitungen als historisches Erbe.” Neue Zuercher Zeitung (NZZ). 2012. Available online: http://www.nzz.ch/aktuell/schweiz/wasserleitungen-als-historisches-erbe-1.17177365 (accessed on 10 September 2012).
  58. Switzerland Tourism. “Les Bisses / Suonen - Historic Waterways.” Available online: http://www.myswitzerland.com/en//destinationen/wasserland-schweiz/wandern-entlang-der-suonen-im-wallis.html (accessed on 10 September 2012).
  59. Johannes Gerber. Wandern an Sagenhaften Suonen. Wandertouren, Brig: Rotten Verlag, 2008. [Google Scholar]
  60. Ori Schipper. “Demokratisch und oekologisch.” Horizonte 9 (2011): 8–10. [Google Scholar]
  61. Thanasis Kizos, Anastasia Dalaka, and Theodora Petanidou. “Farmers’ attitudes and landscape change: evidence from the abandonment of terraced cultivations on Lesvos, Greece.” Agriculture and Human Values 27 (2010): 199–212. [Google Scholar] [CrossRef]
  62. Swiss Federal Statistical Office. “Regional indicators—Per capita cantonal income.” Available online: www.bfs.admin.ch (accessed on 10 September 2012).
  63. B. Kelsey Jack, Carolyn Kousky, and Katharine R.E. Sims. “Designing payments for ecosystem services: Lessons from previous experience with incentive-based mechanisms.” Proceedings of the National Academy of Science of the United States of America 105 (2008): 9465–70. [Google Scholar] [CrossRef] [PubMed]
  64. BLW. “Agrarpolitik 2014–2017.” Bundesamt für Landwirtschaft (BLW). Available online: http://www.blw.admin.ch/themen/00005/00044/01178/index.html?lang=de (accessed on 10 September 2012).
  • 1These game theoretical approaches have been used widely to analyze irrigation systems (see, e.g., [4,16] for overviews). In our study, this background is used to develop a survey enabling us to capture and empirically assess the determinants contributing to the survival of an irrigation community.
  • 2The here presented information is derived from the statutes (available upon request) of the irrigation community, as well as an interview with the president of the community, Arthur In-Albon.
  • 3Note that the water catchment itself is managed by the municipality and not by the community.
  • 4In contrast to other irrigation communities in the Valais, there is no person responsible to control the water use.
  • 5The water-use plan is available upon request from the authors.
  • 6The questionnaire (which was conducted in German) underlying our survey conducted in 2009/2010 is available upon request from the authors.

Share and Cite

MDPI and ACS Style

Finger, R.; Borer, A. Cooperative Management of a Traditional Irrigation System in the Swiss Alps. Soc. Sci. 2013, 2, 1-19. https://doi.org/10.3390/socsci2010001

AMA Style

Finger R, Borer A. Cooperative Management of a Traditional Irrigation System in the Swiss Alps. Social Sciences. 2013; 2(1):1-19. https://doi.org/10.3390/socsci2010001

Chicago/Turabian Style

Finger, Robert, and Anna Borer. 2013. "Cooperative Management of a Traditional Irrigation System in the Swiss Alps" Social Sciences 2, no. 1: 1-19. https://doi.org/10.3390/socsci2010001

APA Style

Finger, R., & Borer, A. (2013). Cooperative Management of a Traditional Irrigation System in the Swiss Alps. Social Sciences, 2(1), 1-19. https://doi.org/10.3390/socsci2010001

Article Metrics

Back to TopTop