Abstract
In the evolving landscape of information dissemination, the importance of social media has become crucial. This is especially apparent in the aftermath of the COVID-19 pandemic, where we observed social media integration into different parts of daily life, yielding myriad impacts. The present study investigates the effects of social media on the communication dependency of Emirati individuals who engage with these platforms, further leading to communication with friends, family, and professional connections in the post-pandemic era. Based on the media dependency theory, this research gathered data from 385 respondents that were further analyzed by using Partial Least Square-Structural Equation modeling (PLS-SEM). Results showed that Emirati users widely rely on social media for communication and interactivity. It is further found that social media use is significantly linked to communication with friends and families among the study respondents. Finally, the use of social media for professional communication also remained significantly related, indicating social media as a potential source of communication among Emiratis in the post-pandemic era. Thus, the broader agreement remained towards the role of social media as an agent to sustain socialization even after the disease outbreak. It is concluded that as we progress, both individuals and organizations must adopt the potential benefits of these platforms while also effectively managing the challenges they bring. Improving digital literacy and adaptability will be crucial for effectively navigating this growing communication environment.
1. Introduction
The evolving terrain of communication and information patterns indicates an increasing dependence on media platforms in the future. This dependency is especially attributed to social media, which brings forth multiple positive aspects. While it is true that social media also has negative characteristics, the definite benefits cannot be overlooked. This is especially evident in the post-pandemic era, where social media has emerged as a universal conduit for information dissemination, communication, interaction, education, and entertainment (Adekoya and Fasae 2021). As Li et al. (2019) highlighted, social media platforms were key in promoting different aspects of our lives during and after the pandemic. Precautionary measures, i.e., social distancing and the temporary closure of numerous institutions, led to physical distances bridged by social media for communication. As we transition back to normality, social media facilitates remote interactions on both educational and professional fronts. Traditionally, educational institutions have served as hubs for academic growth, social development, and interpersonal skills acquisition. However, in today’s landscape, educational institutions depend on physical and virtual resources to support educational activities and encourage social interactions among students and instructors. As noted by Bozzola et al. (2022), today, social media and social networks are present in nearly every household, serving as valuable resources for individuals of all ages. The internet has become essential for connecting people and maintaining social activities. Social media platforms offer a range of communication techniques, whether through written or visual means on the internet, facilitating connections and enabling instant interactions.
Likewise, akin to societies worldwide, Emirati culture places a significant dependence on social media for the growth and development of students during the pandemic (Youssef 2020). Thus, there is a growing dependence, particularly among the younger generation, on social media platforms for different purposes, including communication, information acquisition, and education. This increased dependence signifies notable shifts in Emirati society, both at a comprehensive societal level and within individual social spheres. According to Al Hosany et al. (2021), the preventive measures implemented to impede the spread of COVID-19 also impacted family and social gathering dynamics in the United Arab Emirates. Even after the pandemic’s initial outbreak, these patterns persisted, with virtual resources becoming the preferred mode of interaction over face-to-face meetings. In response, scholars have concurred in supporting the use of social media to improve communication and promote social interactions. It is widely recognized that social media is important in strengthening individual connections. Through virtual meetings, phone calls, video chats, and the like, Emirati society is further knit together, facilitating stronger familial bonds and an increased engagement in social issues (Aouadi 2021). Further, these social media patterns indicated an increased dependency on social media for professional communication purposes that further led to the normalization of them as a routine life process (Castillo De Mesa et al. 2019; Matook and Butler 2014). As noted by Abeza et al. (2019), social media has appeared as a crucial tool for professional communication, reshaping the way individuals and organizations communicate within the business landscape. Online platforms provide a dynamic space for networking, fostering professionals to connect, share insights, and develop valuable relationships, allowing for the exchange of industry knowledge, job opportunities, and collaborative experiences.
According to Alolyan (2015), social media has revolutionized how we communicate and connect. With physical distancing measures during the pandemic, people turned to platforms like Facebook, Twitter, and Instagram to keep social ties. Virtual meetings and online events became the norm, enabling individuals to partake in activities they once did in person. This shift assured a semblance of normality during challenging times and expanded the reach of social interactions beyond geographic boundaries that also expanded during the post-pandemic era. As a result, social media platforms have altered from mere entertainment hubs to necessary tools for strengthening social bonds and fostering a sense of community. Thus, this research also examined the role of social media in changing the social life patterns of Emirati society. Notably, this research is based on empirical and theoretical gaps. One significant gap in this research lies in the particularity of the context under study. While it aims to investigate the role of social media in changing social and professional life patterns in Emirati society, there is a need for more comprehensive studies focusing primarily on the dynamics of Emirati culture and how it interacts with social media during the post-pandemic era.
Further, this study employed the Media System Dependency Theory as its theoretical framework, indicating a literature gap regarding the application and validation of this theory within the Gulf region, especially in the context of the United Arab Emirates. Further, this investigation addresses a significant gap in the literature by focusing especially on the Emirati context, recognizing that cultural nuances and societal norms play an influential role in shaping social media usage patterns. Focusing on the specific population, the research can uncover insights that may not readily apply to other cultural contexts. Also, by investigating dependency and communication practices, the study takes a comprehensive approach, acknowledging that these two constructs are intricately linked to social media usage. This dual focus adds depth and richness to the research, allowing for a more complex understanding of how social media impacts these aspects of Emirati society. The theory’s significance in exemplifying the relationship between individuals and media systems has yet to be extensively tested in this cultural and social context. Thus, there is a need for empirical research that investigates the relevance and applicability of the Media System Dependency Theory in comprehending how Emirati society depends on and interacts with social media platforms, specifically after the COVID-19 pandemic.
Social Media Usage: United Arab Emirates in Focus
Social media has acquired immense popularity in the UAE, becoming an essential part of people’s daily lives (Elbarazi et al. 2022). Online platforms like WhatsApp and Instagram have become indispensable for many, making it difficult to imagine life without them. For professional purposes, these platforms hold even greater importance as they form a critical component of their business strategies. They allow enterprises to generate revenue and connect with a global client base cost-effectively (Radcliffe et al. 2023). Today, 99% of the UAE’s population are internet users, which amounts to 10.07 million individuals out of a total of 10.17 million.
Regarding social media usage, a staggering 98.99% of the population, equal to about 9.7 million people, are active users. This suggests a widespread integration of social media into the daily routines of the majority. The collective count of individual and professional social media accounts reaches a significant 10.73 million users (Global Media Insights 2023). Individuals in the UAE spend around 2 h and 50 min per day on social media platforms on average, highlighting their significant role in everyday life. Recent data also indicates that WhatsApp, Facebook Messenger, and TikTok emerged as the top three most preferred platforms. Around 3.95 million UAE residents indicated that their main motive for using social media is to strengthen connections with family and friends, highlighting the platform’s crucial role in promoting personal relationships (Global Media Insights 2023). Notably, the user base for WhatsApp in the UAE stands at 6.73 million, closely followed by Facebook with 6.65 million users and Instagram with 6.21 million users as of 2023. These data collectively show the profound effect and extensive reach of social media within the UAE’s digital landscape.
2. Review of Literature
2.1. Media Dependency
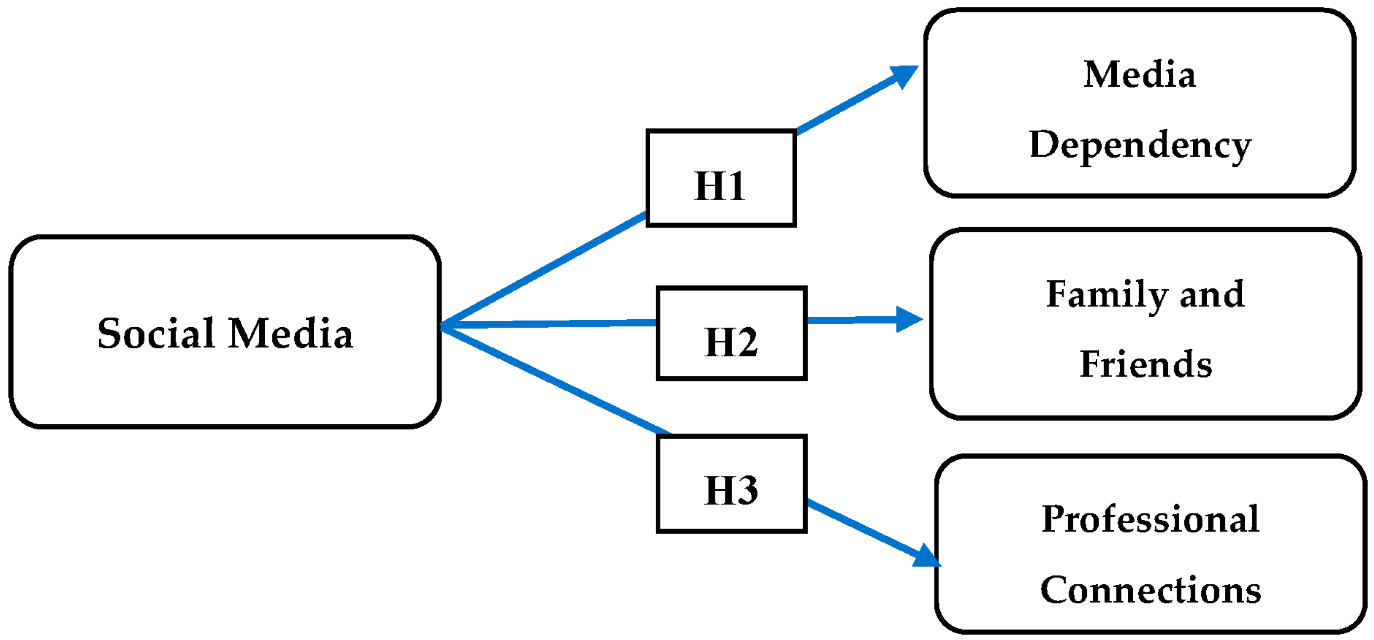
The media dependency theory supports this research as a structured framework for analyzing how mass media impacts audiences and the dynamic interchanges between media, audiences, and societal systems. Figure 1 illustrates the explanatory framework of the current research, and Table 1 provides the operationalization of key constructs in the current research study. It was initially outlined by American communication scholars Sandra Ball-Rokeach and Melvin DeFleur in 1976. The theory explains the impact of media use on the audience’s behavior and further explains the social changes on the whole. During the current era of digitalization, social media has significantly reshaped the landscape of the social communication process, and its long-term effects are intricate and not easily defined. According to Ivan and Hebblethwaite (2016), active engagement on social media can lead to interactive experiences, such as connecting with like-minded individuals, communicating with family members, raising awareness about important issues, learning from reliable sources, building, and sustaining professional relationships, and creating meaningful content. Viewing media as a communication system places it at the core of society (Bengtsson et al. 2021), as individuals, organizations, and social systems depend on it for critical information. However, Qi (2019) argued that excessive engagement with social media platforms can potentially harm academic performance. It highlights that while social media provides a platform for connectivity and information sharing, it can also serve as a source of distraction, leading to reduced focus and productivity in academic tasks. Also, strong social connections through platforms can amplify the impact of social media on task performance. This implies that close relationships within the online sphere may amplify both positive and negative consequences of social media use. In another study, Yilmazsoy et al. (2020) highlighted the detrimental effects of incorporating social networks, specifically WhatsApp, particularly for young students. As noted, while social networks can serve as practical tools for communication and collaboration, they can also introduce distractions and potential privacy concerns in an educational context. Thus, excessive use of social networking platforms can divert students’ attention from their studies, leading to decreased focus and academic performance.
Figure 1.
Explanatory Framework of Current Research.
Table 1.
Operationalization of Key Terms.
Media dependency theory also explains the interdependence between individuals and the media, determining the impact and power of the media. The theory of media dependence can also be applied to the fact that as professional complexity and confusion expand, the role of the media system in society becomes more important (Vangelisti 2012). This applies to both short-term and long-term social improvements. In times of increased uncertainty, i.e., during disasters or major social events, users tend to rely more heavily on social media for information and communication processes. The increased importance of people’s concerns and needs leads to a greater reliance on the media for services that can help alleviate uncertainty. Users depend more on the media because it is expected that the mainstream media platforms will provide important and unique information necessary for understanding community happenings. In this regard, media dependency theory explains the direct and indirect impact mass media has on the behavior of audiences and social media users (Subramanian 2017). Here Chambers (2013, p. 13) also highlighted the role of social media in facilitating communication between transnational families living in other parts of the world. As noted, migrants depend on different digital platforms to stay connected with their families.
Consequently, the rates of social media adoption and use among immigrants are higher than the other users. Social media is designed to promote social relationships in a digital environment. They offer online services that help individuals create communities with people they may not be acquainted with in their usual social and professional circles but who engage with them over the internet (Ghareb et al. 2018; Moh’d Zakarneh et al. 2021, p. 35). Thus, the review of the literature helped to hypothesize that:
H1.
Social media has a significant influence on media dependency among Emirati users.
2.2. Social Media and Family Communication
In the present day, social media serves as a pathway to the internet, offering multiple opportunities to gain fresh milestones and improve our exposure to different forms of media. Compared to earlier times, communication, information dissemination, entertainment, and interaction routes have become notably quicker, more efficient, and better organized (Joo and Teng 2017). According to research by Ibrahim Zakarneh et al. (2021), social media is crucial in facilitating interpersonal communication and strengthening social capital. It empowers individuals to share their messages with a global audience while allowing them to obtain messages from people spanning the globe. Widely recognized platforms like Facebook, Twitter, Pinterest, Instagram, and others are credited with popularizing the concept of social media, operating as prior mediums for user-to-user communication. Hence, social media encourages communication and interaction and extends its utility to task management services.
According to Procentese et al. (2019), families who use any social media platform to share their emotional triumphs and tragedies regularly can experience social support, emotional connection, and decreased homesickness. Frequent open communication is linked to increased feelings of intimacy and care, making family and friends spent time apart more endurable. Family members can communicate regularly as they show positive communication behavior, including cheerful photographs, posts, cute emojis, conversations, messages, Facebook likes, and GIFs.
Individuals filter their communication to remove serious information concerning distant family members (Joo and Teng 2017). Romero-Abrio et al. (2019) stated that assurances are a crucial part of families’ daily routines. These short calls and messages to greet, share everyday trivia, or ask about trivial things often fulfill a phatic function. Even hearing sound over an open webcam without any direct communication provides a guarantee that the relationship exists. According to Taipale and Farinosi (2018), assurances on social media can take the form of liking posts and commenting about “missing” the individual who publicized them. Some individuals share family members’ images and posts on Facebook to value the other person and their ideas. Based on the cited literature, it is hypothesized that:
H2.
Social media has a significant influence on family communication among Emirati users.
2.3. Social Media and Professional Connections
Prior research has highlighted that social media serves two primary communication purposes: vertical and horizontal. Vertical communication pertains to interactions between individuals at various hierarchical levels, while horizontal communication generally involves those at similar hierarchical statuses (Chen and Wei 2020). Vertical communication contains information that clarifies team dynamics, accountabilities, and the roles of colleagues within the team. On the other hand, horizontal communication includes task-related information about the team’s activities and progress and informal information that promotes a sense of belonging and unity among team members. Therefore, social media is utilized for both vertical and horizontal communication, and it is also important for effective relationships between colleagues. Social media-based communication among workers provides the social and emotional support required for professional success (Lewis 2014). Interpersonal relationships among employees can be sustained through social media communication. Communication between colleagues cultivates mutual trust, respect, and fellowship, thereby maintaining these relationships. Also, communication between coworkers via social media encourages the reciprocal exchange of information and assistance, maintaining team cohesion (Forsgren and Byström 2018).
Further, in relationships, social media is distinguished by communication between colleagues, indicating employees’ economic, social, and psychological requirements are more likely to be met. According to Derani and Naidu (2016), these social exchanges gradually develop into a shared dedication to work goals and values, eventually improving employee job performance (Froment et al. 2017). Thus, the cited literature helped to hypothesize that:
H3.
Social media has a significant influence on professional connections among Emirati users.
3. Research Methods
This research is a case study in nature, and the data were gathered via a closed-ended questionnaire from the study respondents. As noted by (Cousin 2005), case studies are helpful in examining a phenomenon in a particular situation or setting. They provide a pathway to have strong insights and generate generalizable results. The survey was distributed electronically, and respondents had the option to respond at their convenience. The data were collected from August 2023 to September 2023. Thus, after gathering the data, the researchers coded it for further analysis by using SPSS and Smart-PLS. However, first, the reliability of the questionnaire was assessed using pilot testing. For the relevant purposes, a sample of 30 individuals was selected using the rule of thumb (Fraser et al. 2018). As shown in Table 2, the Cronbach Alpha values of all the constructs range from 0.707 to 0.790, and the reliability of the questionnaire is affirmed. Table 1 also provides a brief overview of the questionnaire.
Table 2.
Questionnaire Items, Sources, and Pilot Testing.
3.1. Population and Sampling
The population under study includes residents of the United Arab Emirates, mainly focusing on individuals actively engaged with social media platforms. This includes Emirati nationals and expatriates residing in the UAE. The sampling frame consisted of individuals who have access to the internet and actively use social media platforms within the United Arab Emirates. This includes various age groups, socio-economic backgrounds, and cultural affiliations. Further, the stratified random sampling approach was utilized. The population was divided into strata based on demographic factors, including age, nationality, and level of social media engagement. Random samples were drawn from each stratum to confirm representation across different segments.
Further, the sample size is selected using the Sample Size Formula for Estimating Proportions (Single Proportion) (Taherdoost 2018), used in statistics to determine the required sample size for estimating a proportion within a population. The relevant formula indicated that a sample size of 385 respondents was ideal for the current research study. However, once the data were gathered, the collected responses were carefully evaluated and calculated. The gathered responses indicated that 70 questionnaires needed to be included or correctly filled in by the respondents. Thus, with the finalized 315 questionnaires, the response rate of 81.8% remained greater than the threshold value of 60.0% (Deutskens et al. 2004). The analysis of respondents’ demographic information showed that most participants (57.9%) identified as male, while 41.7% identified as female. Regarding age distribution, 50.5% fell within the 19–20 age bracket, 13.8% were between 16 and 18 years old, 11.3% were 23 years old or older, and 5.1% were in the 21–22 age range. Also, 70.8% of respondents resided in urban areas, with the remaining 29.2% hailing from urbanized areas. It was further observed that 59.4% of participants reported living with other family members, which encompassed parents, siblings, and close relatives, while 40.6% indicated that they lived independently. Detailed demographic information is provided in Table 3.
Table 3.
Descriptive Statistics Regarding Demographics.
The research examines how social media contributes to sustaining the Emirati population’s social activities, particularly targeting college-level students for data collection. Initially, the researcher used a random sampling approach to select a sample of n = 315 students. This approach, known as simple random sampling, was selected to ensure that the study respondents were selected without researcher bias. Further, simple random sampling was employed by providing an equal chance of selection to all possible respondents (Kalton 2011).
3.2. Data Analysis Approaches
The data analysis process for this study concerns using Partial Least Square-Structural Equation Modeling (PLS-SEM) to analyze the impact of social media on changing social communication patterns within Emirati society, specifically in the post-COVID-19 era. However, before conducting the SEM, the dataset went through preliminary descriptive analysis, including the calculation of measures, including means, standard deviations, and ranges of the gathered data. These descriptive statistics provided an extensive overview of the distribution and central tendencies of the variables under consideration.
3.3. Missing Value Analysis (MVA)
Further, this research also involved Missing Value Analysis (MVA). As noted by von Hippel (2004), Missing Value Analysis (MVA) provides discernment into the missingness patterns, which is crucial for making informed decisions about handling the missing values during data processing. By identifying whether the missingness is completely random, at random, or not at random, researchers select suitable techniques like imputation or model-based approaches to mitigate the effect of missing data. As shown in Table 4, the missing values in the current data remained under the threshold amount (15) (Josse and Husson 2012), mitigating potential bias. Thus, it is assumed that the data contain missing values that would not affect the results.
Table 4.
Missing Value Analysis.
3.4. Analysis and Findings
This research is guided by three research hypotheses that are further tested by applying a two-step approach typically used in Partial Least Square-Structural Equation Modelling (SEM), known as “inner model and outer model analysis”. The first step concerns analyzing the inner model’s validity and reliability, including testing the measurement instrument. The second step focuses on examining the relationships between variables asserted by the study hypotheses. Initially, the inner model was analyzed for its validity and reliability. Convergent validity was evaluated to determine the internal consistency among the measurement items of each construct, following the technique suggested by (Chin and Yao 2014). Discriminant validity was also tested to determine the extent to which the study constructs lack correlation with one another (Mello and Collins 2001). Table 5 presents the results of the convergent validity assessment. It was observed that most of the Factor Loads of the measurement items exceeded the suggested threshold value of >0.5 (Carlson and Herdman 2010). Also, the Average Variance Extracted Values (AVEs) surpassed the threshold value of >0.5, signifying that all the items have internal consistency (Social Media Use 0.572, Media Dependency 0.512, Family and Friends Communication 0.520, and Professional Communications 0.551). Further, the construct reliability was also tested, indicating the Cronbach Alpha (Social Media Use 0.754, Media Dependency 0.716, Family and Friends Communication 0.777, and Professional Communications 0.704) and Composite Reliability values also surpassed the threshold value 0.7 (Social Media Use 0.842, Media Dependency 0.806, Family and Friends Communication 0.761, and Professional Communications 0.776). Table 5 represents the results of measurement model assessment.
Table 5.
Measurement Model Assessment of Current Research.
In order to ensure a good fit of the measurement model, the goodness of fit was tested. According to Chwialkowski et al. (2018), goodness of fit helps to determine the extent to which the measurement model fits well into the expected model. Notably, the loading items having values less than 0.5 or near the borderline of the relevant value were removed. Figure 2 shows the final measurement model of the current research study and Table 6 summarizes the results of Goodness of Fit. Thus, after removing the loading values, the goodness of fit indicated the Standardized Root Mean Square (SRMR) value of 0.172, which is less than the threshold value <0.80. Further, the Non-Fit Index (NFI) value was 0.939, which is between 0 and 1; the Tucker and Lewis (TLI) value remained at 1.737, which is above >0.90; and the chi-square value is 2.74, which is below the threshold value <3.00 (Demler et al. 2015), indicating a good fit for the study.
Figure 2.
Final Measurement Model.
Table 6.
Goodness of Fit.
Additionally, the measurement tool’s discriminant validity was assessed using a two-step criterion method, which includes the Fornel–Larcker scale and Heterotrait–Monotrait Ratio (HTMT) (Mello and Collins 2001). The findings showed that the correlation values associated with each construct were distinct, indicating no significant interrelationships (See Table 7). Also, the Heterotrait–Monotrait Ratio (HTMT) values were below the threshold value of <0.90 (Shiu et al. 2011). Thus, it is confirmed that there is a presence of discriminant validity among the study constructs. Table 7 presents the results of the Fornel–Larker criterion, and Table 8 presents the results of the Heterotrait–Monotrait Ratio scale (See Table 8).
Table 7.
Fornell–Larker Criterion.
Table 8.
Heterotrait–Monotrait Ratio.
According to Selya et al. (2012), effect size (f2) pertains to the extent of the relationship between latent variables in regression-based research studies. It determines how much the dependent variable is expected to change when the independent variable shifts by one unit, holding other factors constant (Samartha and Kodikal 2018). In this regard, an effect size of 0.020 or below is deemed small, 0.150 is moderate, and 0.350 or higher is considered large (Lorah 2018). As a result, the effect sizes for Social Media on Media Dependency are 0.316 (medium), the effect size of Social Media Use on Family and Friends Communication is 1.723 (Large), and the effect size of Social Media Use is 0.226 (medium). These figures demonstrate a robust effect of the independent variable on each dependent variable presented in Table 9.
Table 9.
Effect Size (f2) Assessment.
Further, Coefficients of Determination R2 was assessed to examine the predictive power of the predictor variable. As shown in Table 10, R2 value of Media Dependency is 0.515, Family and Friends Communication is 0.719, and Professional Connection is 0.582, indicating a strong predictive power of the “Social Media” in the current study.
Table 10.
Coefficients of Determination R2.
The researchers further examined the predictive relevance of the Q2 measure, employing the cross-validated commonality and redundancy approach. This approach combines information from the study’s measurement and structural models to assess data points that should have been considered when calculating the Q2 values (Purwanto and Juliana 2022). The findings revealed (See Table 11) that Media Dependency had a predictive relevance of 0.063 (moderate), Organizational Innovation scored 0.037 (moderate), and Family and Friends Communication demonstrated a predictive relevance of 0.907 (strong). The predictive relevance of Professional Connection remained at 00. Overall, the predictive relevance of constructs remained acceptable, as suggested by Akter and D’Ambra (2011). Table 11 provides a summary of the predictive relevance of the Q2.
Table 11.
Predictive Relevance Q2 Analysis.
Finally, the path analysis was conducted to examine the hypotheses proposed in the current research study. Table 12 presents the results of hypotheses testing in the current study. First, the proposed effect of Social Media Use on the Media Dependency among Emirati users was examined. Results indicated that the relevant effect in the H1 of the current research study remained significant with the beta coefficients value β = 0.490, t-value = 11.678, and significance value p < 0.000 ***. Further, the H2 of the current research study was tested, proposing a significant effect of Social Media Use on Family and Friends Communication. Path analysis showed the beta coefficient value β = 0.795, t-value = 20.232, and significance value p < 0.000 ***. Finally, the H3 was tested, proposing a significant effect of Social Media Use on Professional Communication among Emirati users. The proposed effects also remained significant with the beta coefficient value β = 0.430, t-value = 6.553, and significance value p < 0.000 ***. Notably, the path between Social Media Use and Family and Friends Communication remained the strongest among all, followed by Social Media Use and Media Dependency, and the path between Social Media Use and Professional Communication remained lowest among all. Table 12 and Figure 3 present the results of path analysis accompanied by Means, Standard Deviations, and confidence intervals.
Table 12.
Hypotheses Testing (Path Analysis, Regression Weights).
Figure 3.
Measurement Model of Current Study.
4. Discussion on Results
As previously mentioned, social media plays a multifaceted role in society. In today’s digital age, individuals have quick access to communication and information at the click of a button. Notably, social media serves as a critical platform for communication and interaction, showing a convenient means to connect with others irrespective of cultural or geographical boundaries (Singh and Signh 2017). Its importance in enabling communication extends across different domains, including education and business, as emphasized by Yousif et al. (2021). This significance has been further highlighted in the wake of the pandemic, where dependence on online resources for communication with family, friends, and peers has become increasingly predominant. Users use social media platforms to reestablish connections, stay informed, and interact with their social circles (Yossef et al. 2022).
According to Sarangi et al. (2022), the concept of media dependency takes on increased importance as digital communication channels resume to play a crucial role in connecting individuals and disseminating information in the post-pandemic era. The dependence on media in the post-pandemic era encompasses different facets of daily life. From virtual meetings and conferences to online shopping and entertainment streaming, digital media platforms have become critical to both personal and professional tasks (Carrigan and Jordan 2022). However, it is worth noting that the global nature of the pandemic necessitated an increased reliance on digital platforms, including social media, for information dissemination, social interactions, and professional connections. For example, a study by Bellmann et al. (2021) examining the role of social media during the COVID-19 pandemic among German DAX companies revealed crucial insights into crisis communication and competence on platforms like Facebook. Furthermore, Politte-Corn et al. (2022) conducted a study regarding social media use and perceived stress during the pandemic, providing an additional perspective. Their research highlights the complex interplay between social media engagement, perceived social support, and stress levels, indicating that the impact of social media on individuals’ well-being can vary significantly based on the context and the support structures in place. Thus, when considering these broader insights, it is essential to note that while some overarching trends may be applicable universally, the unique cultural and societal dynamics of Emirati society may introduce distinct nuances in the relationship between social media, dependency, and communication practices. These factors may include distinct cultural norms, traditions, and values that shape the way individuals in Emirati society engage with social media platforms.
Talking specifically about the current study results (See Table 13 for the descriptives), social media use was also found to be associated with changed patterns of communication and media dependency among Emirati social media users. Table 8 presents the descriptives of descriptive data, indicating the agreement among respondents towards their social media use for communication purposes (Elbarazi et al. 2022). First, the study respondents agreed that they consider using social media even when physical communication is not possible and using social media is a part of their everyday routine. They also indicated that they use social media to interact with others and also a pathway to share and receive messages with others. Besides, the respondents also use social media to learn about new phenomena and to begin conversations (M 3.91, SD 0.633). According to the respondents, they prefer relying on social media for building social connections and having professional meetings, and they are dependent on online platforms to build professional relationships. Respondents agreed that they prefer using social media when they need to know more about people in family, friends’ circles, and professional circles (M 3.86, SD 0.549). These findings are consistent with the existing literature (Kim and Kim 2017; Subrahmanyam et al. 2008). Mason et al. (2021) argued that social media use and reliance have even increased after the COVID-19 pandemic. These online platforms not only help the users to stay connected and interact but also help in the decision-making process, as a result. Technology dependency has become inevitable and is further accompanied by several advantages and disadvantages.
Table 13.
Descriptives of Survey Data.
Further, the respondents agreed that they like to connect to social media to communicate, and they prefer communicating with others through social media. According to most of the respondents, social media is important in building social relationships, which is why they use social media to build social connections. Respondents also agreed that they frequently check social media accounts to check the online activities among their friends and family, and social media is important to them as it keeps them updated about their friends and family (M 3.94, SD 0.539). Existing literature also indicates similar results, in which the post-pandemic era shows social media use as associated with communication to build and sustain social relationships through communication (Marzouki et al. 2021; Thygesen et al. 2021). Particularly in the Emirati context, Gu (2022) argued that social media has brought about a transformation in the dynamics of communication in the post-pandemic era. Earlier, communication was bound by several limitations. However, the outbreak of the disease accelerated social media platform use, further promoting global proximity among individuals. This paradigm shifts in communication not only introduced novel channels of interaction but also led to a reconfiguration of pre-existing methods.
Finally, most of the respondents agreed with the fact that they frequently use social media to build professional connections and to stay updated about the professional achievements of their colleagues. According to the respondents, they frequently read articles shared by colleagues on social media platforms and leave comments on colleagues’ posts on social media often. Also, they indicated that they use social media to share information about their professional career (M 3.96, SD 0.592). As existing literature also witnessed the increased use of social media for professional communication and business relations purposes (Huang et al. 2023; Kaya 2020; Luo 2021), a similar scenario is found in the United Arab Emirates. The study by Sullivan et al. (2021) further indicated the increased use of social media for professional communication, sustainability, and resilience in the post-pandemic era. As argued, the post-pandemic era has witnessed a surge in social media use for sustainability and stability endeavors. Organizations and professionals are leveraging these platforms to convey information about sustainable practices, environmental initiatives, and resilience-building strategies. Today, organizations amplify their message and engage a broader audience in discussions surrounding sustainable professional practices. Also, social media serves as a dynamic platform for showcasing success stories and best practices, encouraging others to adopt similar approaches. This collective effort towards sustainability and resilience, driven by the extensive use of social media, highlights the transformative prospect of digital platforms in shaping a more sustainable and resilient post-pandemic world.
Theoretical Implications
The research on the role of social media in changing social life patterns within Emirati society addresses critical empirical and theoretical gaps. This study emphasizes the need for more extensive research, specifically focusing on the interplay between Emirati culture and social media dynamics in the post-pandemic era. By employing the Media System Dependency Theory as its theoretical framework, this research contributes to the literature by validating its applicability within the Gulf region, especially in the context of the United Arab Emirates. The study highlights the theory’s significance in explaining the relationship between individuals and media systems, providing useful insights into how Emirati society depends on and engages with social media platforms, especially after the COVID-19 pandemic. Also, the accepted hypotheses regarding the effects of social media on media dependency, family and friends’ communication, and professional communication shed light on the complex web of interactions between individuals, social media platforms, and their immediate social circles. This research increases understanding of how social media has become an integral element of communication patterns in Emirati society, affecting the dependency levels on different forms of media. It highlights the transformative role of social media in shaping not only personal relationships but also professional interactions, emphasizing its far-reaching implications for societal communication dynamics. This research highlights the need for a nuanced examination of media dependency in the context of evolving digital landscapes, providing practical insights for scholars and practitioners alike.
5. Conclusions
The current research study showed the profound impact of social media on communication patterns in the United Arab Emirates (UAE) after the COVID-19 pandemic. The data highlights a substantial increase in media dependency, suggesting that social media platforms have become critical sources of information and connection for individuals in the UAE. This increased reliance emphasizes the crucial role these platforms play in sharing important information during times of crisis. Also, this study reveals a notable surge in family and friends’ communication through social media. While physical distancing measures necessitated a change towards virtual interactions, these platforms have proven valuable in maintaining and strengthening social bonds. Notably, individuals have used social media not only for socializing but also as a means to confirm the safety and well-being of their loved ones. It is also found that the professional landscape in the UAE has glimpsed a transformative shift towards remote work and online communication. Social media platforms have appeared as necessary tools in promoting these transitions, providing continuity in professional relationships and collaborations. Thus, it is evident that social media has become an important part of post-pandemic UAE society. As we move ahead, individuals and institutions must accept the opportunities presented by these platforms while also handling the challenges they pose. Strengthening digital literacy and adaptability will be key in navigating this growing communication landscape.
Limitations and Recommendations
While this study delves into a novel topic, it has inherent limitations. Firstly, the sample for this study was exclusively drawn from the Emirates, potentially limiting the generalizability of the findings to other countries. Future researchers may address this limitation by widening their scope to encompass different regions, yielding more widely applicable insights. Also, this study examined social media as a collective entity rather than focusing on specific platforms for analysis, which also narrowed down its scope. Further studies can adopt a platform-specific approach, focusing on some particular platforms to examine their use and effect on Emirati society and their communication patterns. Lastly, this study is based on a single methodology, including quantitative design. Further researchers can conduct mixed-method studies accompanied by interviews and focused Group Discussions (FGDs) to delimit this limitation further.
Author Contributions
Conceptualization, E.Y. and M.M.; methodology, M.M.; software, M.M.; validation, E.Y., M.M. and M.A.; formal analysis, E.Y.; investigation, M.M.; resources, M.A.; data curation, M.A.; writing—original draft preparation, E.Y.; writing—review and editing, M.A.; visualization, M.A.; supervision, E.Y.; project administration, M.M. All authors have read and agreed to the published version of the manuscript.
Funding
This research received no external funding.
Institutional Review Board Statement
This research is approved by Research Ethics Committee Ajman University, United Arab Emirates (Code H-F-H-14-Mar).
Informed Consent Statement
Written informed consent was obtained from the respondents to publish this paper.
Data Availability Statement
No data are attributed and available regarding this study.
Conflicts of Interest
The authors declare no conflicts of interest.
References
- Abeza, Gashaw, Norm O’Reilly, and Benoit Seguin. 2019. Social Media in Relationship Marketing: The Perspective of Professional Sport Managers in the MLB, NBA, NFL, and NHL. Communication & Sport 7: 80–109. [Google Scholar] [CrossRef]
- Adekoya, Clement Ola, and Joseph Kehinde Fasae. 2021. Social Media and the Spread of COVID-19 Infodemic. Global Knowledge, Memory, and Communication 71: 105–20. [Google Scholar] [CrossRef]
- Aichner, Thomas, Matthias Grünfelder, Oswin Maurer, and Deni Jegeni. 2021. Twenty-Five Years of Social Media: A Review of Social Media Applications and Definitions from 1994 to 2019. Cyberpsychology, Behavior, and Social Networking 24: 215–22. [Google Scholar] [CrossRef]
- Akter, Shahriar, and John D’Ambra. 2011. An evaluation of PLS based complex models: The roles of power analysis, predictive relevance and GoF index. Paper presented at the 17th Americas Conference on Information Systems (AMCIS2011), Detroit, MI, USA, August 4–8. [Google Scholar]
- Al Hosany, Farida, Subhashini Ganesan, Shammah Al Memari, Shereena Al Mazrouei, Faheem Ahamed, Ashish Koshy, and Walid Zaher. 2021. Response to COVID-19 Pandemic in the UAE: A Public Health Perspective. Journal of Global Health 11: 03050. [Google Scholar] [CrossRef] [PubMed]
- Alolyan, Asma Ali. 2015. The Perceived Impact of the Internet on Family and Social Relations in the Kingdom of Saudi Arabia. Masters thesis, The Manchester Metropolitan University, Manchester, UK. Available online: https://e-space.mmu.ac.uk/608781/1/Asma%20Alolyan%20thesis%2014%204%2016%20.pdf (accessed on 19 October 2023).
- Aouadi, Sami. 2021. Economic and Social Impacts of the COVID-19 Pandemic in the Arab Region the Economic Effects of the COVID-19 Pandemic. Available online: https://www.ituc-csi.org/IMG/pdf/a_special_report_on_the_most_important_violations_of_trade_union_rights_and_freedoms_recorded_in_the_arab_region_during_the_covid-19_pandemic_period.pdf (accessed on 2 October 2023).
- Bellmann, Lutz, Pauline Bourgeon, Christina Gathmann, Christian Kagerl, David Marguerit, Ludivine Martin, Laura Pohlan, and Duncan Roth. 2021. Digitalisation in Companies: The COVID-19 Pandemic as a Push Factor. Wirtschaftsdienst (Hamburg, Germany: 1949) 101: 713–18. [Google Scholar] [CrossRef] [PubMed]
- Bengtsson, Stina, Karin Fast, André Jansson, and Johan Lindell. 2021. Media and Basic Desires: An Approach to Measuring the Mediatization of Daily Human Life. Communications 46: 275–96. [Google Scholar] [CrossRef]
- Borchers, Nadja Enke, and S. Nils. 2021. Social Media Influencers in Strategic Communication: A Conceptual Framework for Strategic Social Media Influencer Communication. In Social Media Influencers in Strategic Communication. Abingdon: Routledge. [Google Scholar]
- Bozzola, Elena, Giulia Spina, Rino Agostiniani, Sarah Barni, Rocco Russo, Elena Scarpato, Antonio Di Mauro, Antonella Vita Di Stefano, Cinthia Caruso, Giovanniand Corsello, and et al. 2022. The Use of Social Media in Children and Adolescents: Scoping Review on the Potential Risks. International Journal of Environmental Research and Public Health 19: 9960. [Google Scholar] [CrossRef]
- Carlson, Kevin D., and Andrew O. Herdman. 2010. Understanding the Impact of Convergent Validity on Research Results. 2012. Available online: https://journals.sagepub.com/doi/abs/10.1177/1094428110392383 (accessed on 2 October 2023).
- Carrigan, Mark, and Katy Jordan. 2022. Platforms and Institutions in the Post-Pandemic University: A Case Study of Social Media and the Impact Agenda. Postdigital Science and Education 4: 354–72. [Google Scholar] [CrossRef]
- Castillo De Mesa, Joaquín, Luis Gómez Jacinto, Antonio López Peláez, and Maria De Las Olas Palma García. 2019. Building Relationships on Social Networking Sites from a Social Work Approach. Journal of Social Work Practice 33: 201–15. [Google Scholar] [CrossRef]
- Chambers, Deborah. 2013. Social Media and Personal Relationships. London: Palgrave Macmillan UK. [Google Scholar] [CrossRef]
- Chen, Renee Rui, Robert M. Davison, and Carol Xiaojuan Ou. 2020. A Symbolic Interactionism Perspective of Using Social Media for Personal and Business Communication. International Journal of Information Management 51: 102022. [Google Scholar] [CrossRef]
- Chen, Xiayu, and Shaobo Wei. 2020. The Impact of Social Media Use for Communication and Social Exchange Relationship on Employee Performance. Journal of Knowledge Management 24: 1289–314. [Google Scholar] [CrossRef]
- Cheng, Terence Chai, Seonghoon Kim, and Kanghyock Koh. 2020. The Impact of COVID-19 on Subjective Well-Being: Evidence from Singapore. IZA Discussion Paper, 13702. Bonn: IZA—Institute of Labor Economics. [Google Scholar]
- Chin, Ching-Lan, and Grace Yao. 2014. Convergent Validity. In Encyclopedia of Quality of Life and Well-Being Research. Edited by A. C. Michalos. Dordrecht: Springer, pp. 1275–76. [Google Scholar] [CrossRef]
- Chwialkowski, Kacper, Heiko Strathmann, and Arthur Gretton. 2018. A Kernel Test of Goodness of Fit. Paper presented at 33rd International Conference on Machine Learning, New York, NY, USA, June 19–24; pp. 10–19. [Google Scholar]
- Cousin, Glynis. 2005. Case Study Research. Journal of Geography in Higher Education 29: 421–27. [Google Scholar] [CrossRef]
- Demler, Olga V., Nina P. Paynter, and Nancy R. Cook. 2015. Tests of calibration and goodness-of-fit in the survival setting. Statistics in Medicine 34: 1659–80. [Google Scholar] [CrossRef] [PubMed]
- Derani, Nor Emmy Shuhada, and Prashalini Naidu. 2016. The Impact of Utilizing Social Media as a Communication Platform during a Crisis within the Oil Industry. Procedia Economics and Finance 35: 650–58. [Google Scholar] [CrossRef]
- Deutskens, Elisabeth, Ko De Ruyter, and Martin Wetzels. 2004. Response Rate and Response Quality of Internet-Based Surveys: An Experimental Study. Available online: https://link.springer.com/article/10.1023/B:MARK.0000021968.86465.00 (accessed on 21 October 2023).
- Elbarazi, Iffat, Basema Saddik, Michal Grivna, Faisal Aziz, Deena Elsori, Emmanuel Stip, and Enes Bendak. 2022. The Impact of the COVID-19 ‘Infodemic’ on Well-Being: A Cross-Sectional Study. Journal of Multidisciplinary Healthcare 15: 289–307. [Google Scholar] [CrossRef] [PubMed]
- Felix, Reto, Philipp A. Rauschnabel, and Chris Hinsch. 2017. Elements of Strategic Social Media Marketing: A Holistic Framework. Journal of Business Research 70: 118–26. [Google Scholar] [CrossRef]
- Forsgren, Emma, and Katriina Byström. 2018. Multiple Social Media in the Workplace: Contradictions and Congruencies. Information Systems Journal 28: 442–64. [Google Scholar] [CrossRef]
- Fraser, Joy, Dorothy (Willy) Fahlman, Jane Arscott, and Isabelle Guillot. 2018. Pilot Testing for Feasibility in a Study of Student Retention and Attrition in Online Undergraduate Programs. The International Review of Research in Open and Distributed Learning 19. [Google Scholar] [CrossRef]
- Froment, Facundo, Alfonso Javier GARCÍA González, and M. Rocío Bohórquez. 2017. The Use of Social Networks as a Communication Tool between Teachers and Students: A Literature Review. The Turkish Online Journal of Educational Technology, 126–44. Available online: https://files.eric.ed.gov/fulltext/EJ1160610.pdf (accessed on 4 October 2023).
- Ghareb, Mazen, Hawraman Karim, Shvan Salih, and Hiwa Hassan. 2018. Social Media and Social Relationships: A Case Study in Kurdistan Society. Applied Computer Science 14: 31–42. [Google Scholar] [CrossRef]
- Global Media Insights. 2023. United Arab Emirates (UAE) Social Media Statistics 2023|GMI. Available online: https://www.globalmediainsight.com/blog/uae-social-media-statistics/ (accessed on 8 March 2023).
- Griffiths, Mark D., Daria J. Kuss, and Zsolt Demetrovics. 2014. Chapter 6—Social Networking Addiction: An Overview of Preliminary Findings. In Behavioral Addictions. Edited by Kenneth Paul Rosenberg and Laura Curtiss Feder. San Diego: Academic Press, pp. 119–41. [Google Scholar] [CrossRef]
- Gu, Jingjing. 2022. Social Media Affects the Way of Communication. BCP Education & Psychology 7: 290–94. [Google Scholar] [CrossRef]
- Habes, Mohammed, Mokhtar Elareshi, Ahmed Mansoori, Saadia Pasha, Said A. Salloum, and Waleed Mugahed Al-Rahmi. 2023. Factors Indicating Media Dependency and Online Misinformation Sharing in Jordan. Sustainability 15: 1474. [Google Scholar] [CrossRef]
- Huang, Qiongyao, Benjamin J. Lynn, Chuqing Dong, Shijun Ni, and Linjuan Rita Men. 2023. Relationship Cultivation via Social Media During the COVID-19 Pandemic: Evidence From China and the U.S. International Journal of Business Communication 60: 512–42. [Google Scholar] [CrossRef]
- Ibrahim Zakarneh, Belal, Najeh Rajeh Alsalhi, Abdul Raouf Abdulla Bin Talab, Hanaa M. Mansour, and Mahmoud Mohd J Mahmoud. 2021. Social Interactions as a Barrier to Second Language Learning: A Sociocultural Perspective. International Journal of English Language and Literature Studies 10: 145–57. [Google Scholar] [CrossRef]
- Ivan, Loredana, and Shannon Hebblethwaite. 2016. Grannies on the Net: Grandmothers’ Experiences of Facebook in Family Communication. Revista Romănă de Comunicare Şi Relaţii Publice 18: 11–25. [Google Scholar]
- Joo, Tang-Mui, and Chan-Eang Teng. 2017. Impact of Social Media (Facebook) on Human Communication and Relationships: A View on Behavioral Change and Social Unity. International Journal of Knowledge Content Development & Technology 7: 4. Available online: https://journals.sfu.ca/ijkcdt/index.php/ijkcdt/article/view/125 (accessed on 4 October 2023).
- Josse, Julie, and François Husson. 2012. Handling Missing Values in Exploratory Multivariate Data Analysis Methods. Journal de La Société Française de Statistique 153: 79–99. [Google Scholar]
- Kalton, Graham. 2011. Simple Random Sampling. Introduction to Survey Sampling, 9–16. [Google Scholar] [CrossRef]
- Kaplan, Andreas M., and Michael Haenlein. 2016. Higher Education and the Digital Revolution: About MOOCs, SPOCs, Social Media, and the Cookie Monster. Business Horizons 59: 441–50. [Google Scholar] [CrossRef]
- Kaya, Tugberk. 2020. The Changes in the Effects of Social Media Use of Cypriots Due to COVID-19 Pandemic. Technology in Society 63: 101380. [Google Scholar] [CrossRef] [PubMed]
- Kim, Bumsoo, and Yonghwan Kim. 2017. College Students’ Social Media Use and Communication Network Heterogeneity: Implications for Social Capital and Subjective Well-Being. Computers in Human Behavior 73: 620–28. [Google Scholar] [CrossRef]
- Lewis, Tanya. 2014. Tweeting @ Work: The Use of Social Media in Professional Communication. Information Services & Use 34: 89–90. [Google Scholar] [CrossRef]
- Li, Yixiao, Shuiqing Yang, Shuai Zhang, and Wenyu Zhang. 2019. Mobile Social Media Use Intention in Emergencies among Gen Y in China: An Integrative Framework of Gratifications, Task-Technology Fit, and Media Dependency. Telematics and Informatics 42: 101244. [Google Scholar] [CrossRef]
- Lorah, Julie. 2018. Effect size measures for multilevel models: Definition, interpretation, and TIMSS example. Large-scale Assessments in Education 6: 8. [Google Scholar] [CrossRef]
- Luo, Cheng. 2021. Analyzing the Impact of Social Networks and Social Behavior on Electronic Business during COVID-19 Pandemic. Information Processing & Management 58: 102667. [Google Scholar] [CrossRef]
- Maree, Jacobus Gideon. 2018. Perspective: Promoting Career Development in the Early Years of People’s Lives through Self- and Career Construction Counselling to Promote Their Career Resilience and Career Adaptability. Early Child Development and Care 188: 421–24. [Google Scholar] [CrossRef]
- Marzouki, Yousri, Fatimah Salem Aldossari, and Giuseppe A. Veltri. 2021. Understanding the Buffering Effect of Social Media Use on Anxiety during the COVID-19 Pandemic Lockdown. Humanities and Social Sciences Communications 8: 1–10. [Google Scholar] [CrossRef]
- Mason, Andrew N., John Narcum, and Kevin Mason. 2021. Social media marketing gains importance after COVID-19. Cogent Business & Management 8: 1870797. [Google Scholar] [CrossRef]
- Matook, Sabine, and Brian Butler. 2014. Social Media and Relationships. In The International Encyclopedia of Digital Communication and Society, 1st ed. Hoboken: John Wiley & Sons, Inc. [Google Scholar] [CrossRef]
- Mello, Sérgio C. Benício De, and Martin Collins. 2001. Convergent and Discriminant Validity of the Perceived Risk Scale in Business-to-Business Context Using the Multitrait-Multimethod Approach. Revista de Administração Contemporânea 5: 167–86. [Google Scholar] [CrossRef]
- Moh’d Zakarneh, Bilal, Dina Elkhattat, Enaam Yousef, and Ashraf Alazab. 2021. Utilizing Social Media Networks as Learning Tools for Foreign Languages among Arab Youth in UAE. International Journal of English Language and Literature Studies 10: 132–44. [Google Scholar] [CrossRef]
- Politte-Corn, Madison, Elizabeth A. Nick, Lindsay Dickey, Samantha Pegg, David A. Cole, and Autumn Kujawa. 2022. #socialdistancing: Social Media Use and Online Social Support Moderate the Effect of Pandemic-Related Stress on Internalizing Symptoms in Emerging Adults. Journal of Social and Clinical Psychology 41: 30–53. [Google Scholar] [CrossRef]
- Procentese, Fortuna, Flora Gatti, and Immacolata Di Napoli. 2019. Families and Social Media Use: The Role of Parents’ Perceptions about Social Media Impact on Family Systems in the Relationship between Family Collective Efficacy and Open Communication. International Journal of Environmental Research and Public Health 16: 5006. [Google Scholar] [CrossRef]
- Purwanto, Agus, and Juliana Juliana. 2022. The Effect of Supplier Performance and Transformational Supply Chain Leadership Style on Supply Chain Performance in Manufacturing Companies. Uncertain Supply Chain Management 10: 511–16. [Google Scholar] [CrossRef]
- Qi, Cong. 2019. Social Media Usage of Students, Role of Tie Strength, and Perceived Task Performance. Journal of Educational Computing Research 57: 385–416. [Google Scholar] [CrossRef]
- Radcliffe, Damian, Hadil Abuhmaid, and Nii Mahliaire. 2023. Social Media in the Middle East 2022: A Year in Review. SSRN Electronic Journal. [Google Scholar] [CrossRef]
- Romero-Abrio, Ana, Belén Martínez-Ferrer, Daniel Musitu-Ferrer, Celeste León-Moreno, María Elena Villarreal-González, and Juan Evaristo Callejas-Jerónimo. 2019. Family Communication Problems, Psychosocial Adjustment and Cyberbullying. International Journal of Environmental Research and Public Health 16: 2417. [Google Scholar] [CrossRef]
- Samartha, Vishal, and Rashmi Kodikal. 2018. Measuring the Effect Size of Coefficient of Determination and Predictive Relevance of Exogenous Latent Variables on En-dogenous Latent Variables through PLS-SEM. International Journal of Pure and Applied Mathematics 119: 39–48. Available online: https://acadpubl.eu/hub/2018-119-18/1/4.pdf (accessed on 4 October 2023).
- Sarangi, Ashish, Wail Amor, Edzel Lorraine F Co, Sana Javed, Sadia Usmani, and Aimn Rashid. 2022. Social Media Reinvented: Can Social Media Help Tackle the Post-Pandemic Mental Health Onslaught? Cureus 14: e21070. [Google Scholar] [CrossRef]
- Selya, Arielle S., Jennifer S. Rose, and Lisa C. Dierker. 2012. A Practical Guide to Calculating Cohen’s f2, a Measure of Local Effect Size, from PROC MIXED. Available online: https://www.frontiersin.org/articles/10.3389/fpsyg.2012.00111/full (accessed on 7 October 2023).
- Shiu, Edward, Simon J. Pervan, Liliana L. Bove, and Sharon E. Beatty. 2011. Reflections on Discriminant Validity: Reexamining the Bove et al. (2009) Findings. Journal of Business Research 64: 497–500. [Google Scholar] [CrossRef]
- Singh, Gaurav, and Nity Signh. 2017. Role and Impact of Media on Society: A Sociological Approach With Respect To Demonetisation [Papel e Impacto de Los Medios En La Sociedad: Un Enfoque Sociológico Con Respecto a La Desmonetización]. IMPACT: International Journal of Research in Humanities, Arts and Literature 5: 127–36. [Google Scholar] [CrossRef]
- Subrahmanyam, Kaveri, Stephanie M. Reich, Natalia Waechter, and Guadalupe Espinoza. 2008. Online and Offline Social Networks: Use of Social Networking Sites by Emerging Adults. Journal of Applied Developmental Psychology 29: 420–33. [Google Scholar] [CrossRef]
- Subramanian, Kalpathy. 2017. Influence of Social Media in Interpersonal Communication. International Journal of Scientific Progress and Research (IJSPR) 109: 70–75. [Google Scholar]
- Sullivan, Daniel, Daniel Fox, and Robert Stoll. 2021. Social Media, Confusion, and Small Business During the COVID 19 Crisis. Journal of Applied Business and Economics 23: 1–22. [Google Scholar] [CrossRef]
- Taherdoost, Hamed. 2018. Sampling Methods in Research Methodology; How to Choose a Sampling Technique for Research. SSRN Electronic Journal. [Google Scholar] [CrossRef]
- Taipale, Sakari, and Manuela Farinosi. 2018. The Big Meaning of Small Messages: The Use of WhatsApp in Intergenerational Family Communication. In Human Aspects of IT for the Aged Population. Acceptance, Communication and Participation. Edited by Jia Zhou and Gavriel Salvendy. Lecture Notes in Computer Science. Cham: Springer International Publishing, pp. 532–46. [Google Scholar] [CrossRef]
- Thygesen, Hilde, Tore Bonsaksen, Mariyana Schoultz, Mary Ruffolo, Janni Leung, Daicia Price, and Amy Østertun Geirdal. 2021. Use and Self-Perceived Effects of Social Media before and after the COVID-19 Outbreak: A Cross-National Study. Health and Technology 11: 1347–57. [Google Scholar] [CrossRef]
- Trepte, Sabine. 2021. The Social Media Privacy Model: Privacy and Communication in the Light of Social Media Affordances. Communication Theory 31: 549–70. [Google Scholar] [CrossRef]
- Vanderhout, Shelley M., Catherine S. Birken, Peter Wong, Sarah Kelleher, Shannon Weir, and Jonathon L. Maguire. 2020. Family Perspectives of COVID-19 Research. Research Involvement and Engagement 6: 4–6. [Google Scholar] [CrossRef]
- Vangelisti, Anita L. 2012. The Routledge Handbook of Family Communication. Abingdon: Routledge. [Google Scholar]
- von Hippel, Paul T. 2004. Biases in SPSS 12.0 Missing Value Analysis. The American Statistician 58: 160–64. [Google Scholar] [CrossRef]
- Wolf, Maxim, Julian Sims, and Huadong Yang. 2018. Social Media? What Social Media? Paper presented at UK Academy for Information Systems Conference Proceedings, Oxford, UK, March 20–21; Available online: https://aisel.aisnet.org/ukais2018/3 (accessed on 19 October 2023).
- Yilmazsoy, Burak, Mehmet Kahraman, and Utku Köse. 2020. Negative Aspects of Using Social Networks in Education: A Brief Review on WhatsApp Example. Journal of Educational Technology and Online Learning 3: 69–90. [Google Scholar] [CrossRef]
- Yossef, Enaam, Saeed Nasef, and Nagwa Yousif. 2022. The Role of Community Institutions in the Socio-Economic Empowerment of Emirati Women Field Study in Ajman. Dirasat: Human and Social Sciences 49: 453–68. [Google Scholar] [CrossRef]
- Yousif, Nagwa Babiker Abdalla, Enaam Mohammed Youssef, and Rasha Mohamed Abdelrahman. 2021. The Social and Psychological Effects of Inclusive Education of Persons with Hearing Disability in Society: A Field Study at the Disability Resource Centre (Sharjah University). Sustainability 13: 12823. [Google Scholar] [CrossRef]
- Youssef, Enaam. 2020. Role of Social Service Institutions on Social Empowerment of Women at the United Arab Emirates: A Field Analysis Study. Multicultural Education 6: 99–111. [Google Scholar] [CrossRef]
Disclaimer/Publisher’s Note: The statements, opinions and data contained in all publications are solely those of the individual author(s) and contributor(s) and not of MDPI and/or the editor(s). MDPI and/or the editor(s) disclaim responsibility for any injury to people or property resulting from any ideas, methods, instructions or products referred to in the content. |
© 2024 by the authors. Licensee MDPI, Basel, Switzerland. This article is an open access article distributed under the terms and conditions of the Creative Commons Attribution (CC BY) license (https://creativecommons.org/licenses/by/4.0/).


