A Comprehensive Study on the Deformation Behavior of Hadfield Steel Sheets Subjected to the Drop Weight Test: Experimental Study and Finite Element Modeling
Abstract
1. Introduction
2. Experimental Method and Physical Conditions
3. Numerical Method and Modeling Conditions
3.1. Methodology Used for Modeling
3.2. Damage Mechanism of High Manganese Steel
3.2.1. Rice-Tracey Model
3.2.2. Isotropic Hardening
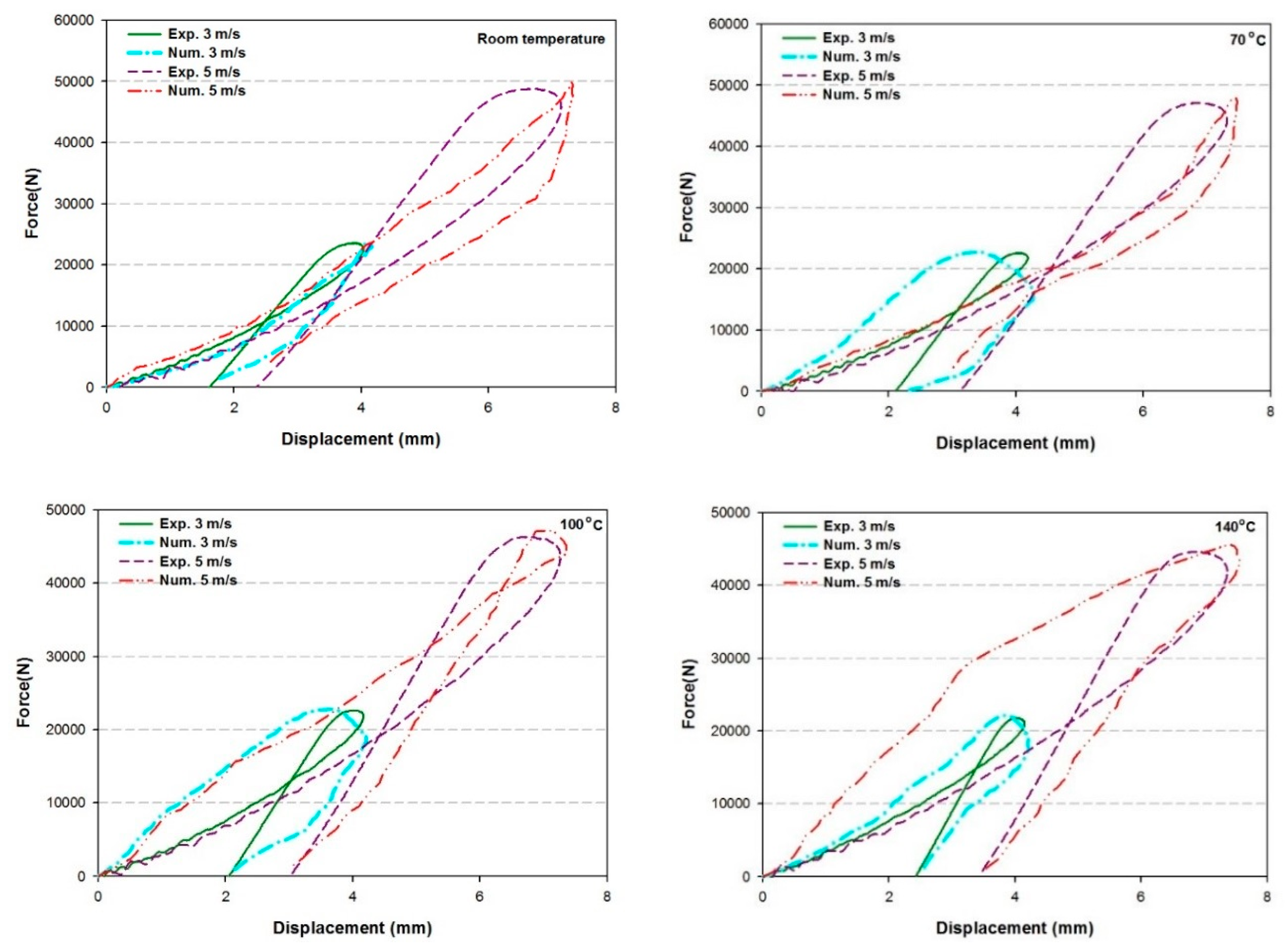
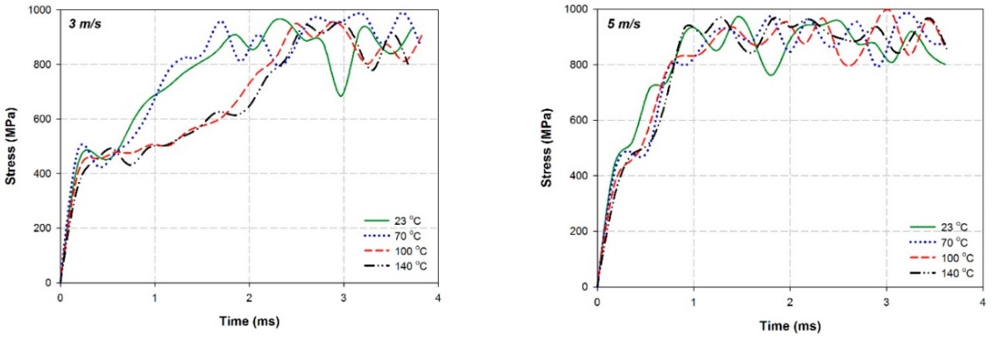
4. Results and Discussion
5. Conclusions
Author Contributions
Funding
Acknowledgments
Conflicts of Interest
References
- Da Silva Botelho, T.; Bayraktar, E.; Inglebert, G. Experimental and finite element analysis of spring back in sheet metal forming. Int. J. Comput. Mater. Sci. Surf. Eng. 2007, 1, 197–213. [Google Scholar]
- Bayraktar, E.; Khalid, F.A.; Levaillant, C. Deformation and fracture behaviour of high manganese austenitic steel. J. Mater. Process. Technol. 2004, 147, 145–154. [Google Scholar] [CrossRef]
- Bayraktar, E.; Altintas, S. Square cup deep drawing and 2D-draw bending analysis of Hadfield steel. J. Mater. Process. Technol. 1996, 60, 183–190. [Google Scholar] [CrossRef]
- Van den Beukel, A. Theory of the effect of dynamic strain aging on mechanical properties. Phys. Status Solidi A 1975, 30, 197–206. [Google Scholar] [CrossRef]
- Adler, P.H.; Olson, G.B.; Owen, W.S. Strain-Hardening of Hadfield Manganese Steel. Metall. Mater. Trans. A 1986, 17, 1725–1737. [Google Scholar] [CrossRef]
- Dastur, Y.N.; Leslie, W.C. Mechanism of Work-Hardening in Hadfield Manganese Steel. Metall. Trans. A 1981, 12, 749–759. [Google Scholar] [CrossRef]
- Zuidema, B.K.; Subramanyam, D.K.; Leslie, W.C. The effect of aluminum on the work hardening and wear resistance of Hadfield manganese steel. Metall. Trans. A 1987, 18, 1629–1639. [Google Scholar] [CrossRef]
- Shun, T.S.; Wan, C.M.; Byrne, J.G. Serrated flow in austenitic Fe-Mn-C and Fe-Mn-Al-C alloys. Scr. Metall. Mater. 1991, 25, 1769–1774. [Google Scholar] [CrossRef]
- Kubin, L.P.; Estrin, Y. Evolution of dislocation densities and the critical conditions for the Portevin-Le Châtelier effect. Acta Metall. Mater. 1990, 38, 697–708. [Google Scholar] [CrossRef]
- Bayraktar, E.; Levaillant, C.; Altintaş, S. Formability characterization of Hadfield steel. J. Mater. Process. Technol. 1994, 47, 13–31. [Google Scholar] [CrossRef]
- Pelletier, J.M.; Sauger, E.; Gachon, Y.; Vannes, A.B. Mechanical and tribological properties of Hadfield steel coatings manufactured by laser processing. J. Mater. Sci. 1999, 34, 2955–2969. [Google Scholar] [CrossRef]
- Tsakiris, V.; Edmonds, D.V. Martensite and deformation twinning in austenitic steels. Mater. Sci. Eng. A 1999, 273, 430–436. [Google Scholar] [CrossRef]
- Karaman, I.; Sehitoglu, H.; Beaudoin, A.J.; Chumlyakov, Y.I.; Maier, H.J.; Tome, C.N. Modeling the deformation behavior of Hadfield steel single and polycrystals due to twinning and slip. Acta Mater. 2000, 48, 2031–2047. [Google Scholar] [CrossRef]
- Beygelzimer, Y.; Estrin, Y.; Kulagin, R. Synthesis of hybrid materials by severe plastic deformation: A new paradigm of SPD processing. Adv. Eng. Mater. 2015, 17, 1853–1861. [Google Scholar] [CrossRef]
- Latypov, M.I.; Lee, M.G.; Beygelzimer, Y.; Kulagin, R.; Kim, H.S. Simple shear model of twist extrusion and its deviations. Met. Mater. Int. 2015, 21, 569–579. [Google Scholar] [CrossRef]
- Beygelzimer, Y.; Varyukhin, V.; Synkov, S.; Orlov, D. Useful properties of twist extrusion. Mater. Sci. Eng. A 2009, 503, 14–17. [Google Scholar] [CrossRef]
- Lee, W.S.; Chen, T.H. Plastic deformation and fracture characteristics of Hadfield steel subjected to high-velocity impact loading. J. Mech. Eng. Sci. 2002, 216, 971–982. [Google Scholar] [CrossRef]
- Allain, S.; Chateau, J.P.; Bouaziz, O. A physical model of the twinning-induced plasticity effect in a high manganese austenitic steel. Mater. Sci. Eng. A 2004, 387, 143–147. [Google Scholar] [CrossRef]
- Hutchinson, B.; Ridley, N. On dislocation accumulation and work hardening in Hadfield steel. Scr. Mater. 2006, 55, 299–302. [Google Scholar] [CrossRef]
- Petrov, Y.N.; Gavrijuk, V.G.; Berns, H.; Schmalt, F. Surface structure of stainless and Hadfield steel after impact wear. Wear 2006, 260, 687–691. [Google Scholar] [CrossRef]
- Canadinc, D.; Sehitoglu, H.; Maier, H.J. The role of dense dislocation walls on the deformation response of aluminum alloyed hadfield steel polycrystals. Mater. Sci. Eng. A 2007, 454, 662–666. [Google Scholar] [CrossRef]
- Canadinc, D.; Sehitoglu, H.; Maier, H.J.; Kurath, P. On the incorporation of length scales associated with pearlitic and bainitic microstructures into a visco-plastic self-consistent model. Mater. Sci. Eng. A 2008, 485, 258–271. [Google Scholar] [CrossRef]
- Canadinc, D.; Efstathiou, C.; Sehitoglu, H. On the negative strain rate sensitivity of Hadfield steel. Scr. Mater. 2008, 59, 1103–1106. [Google Scholar] [CrossRef]
- Li, X.; Wu, W.; Zu, F.; Liu, L.; Zhang, X. Influence of impact energy on work hardening ability of austenitic manganese steel and its mechanism. Chin. Foundry 2012, 9, 248–251. [Google Scholar]
- Icten, B.M.; Kıral, G.B.; Deniz, M.E. Impactor diameter effect on low velocity impact response of woven glass epoxy composite plates. Compos. Part B Eng. 2013, 50, 325–332. [Google Scholar] [CrossRef]
- Ferreira, L.F.P.; Bayraktar, E.; Robert, M.H.; Miskioglu, I. Recycling of scrap aluminium (AA7075) chips for low cost composites. In Mechanics of Composite and Multi-functional Materials, Proceedings of the 2016 Annual Conference on Experimental and Applied Mechanics, Orlando, FL, USA, 6–9 June 2016; Springer: Cham, Switzerland; Volume 7, pp. 19–25.
- Qiao, P.; Yang, M.; Bobaru, F. Impact Mechanics and High-Energy Absorbing Materials: Review. J. Aerosp. Eng. 2008, 21, 235–248. [Google Scholar] [CrossRef]
- Abaqus/Explicit User’s Manuals. Available online: https://www.google.com.tw/url?sa=t&rct=j&q=&esrc=s&source=web&cd=3&ved=2ahUKEwjt8_fa5sHdAhUD9LwKHT58AokQFjACegQICBAC&url=https%3A%2F%2Fwww.researchgate.net%2Ffile.PostFileLoader.html%3Fid%3D557a68c45e9d9734b28b458e%26assetKey%3DAS%3A273794663419904%401442289142232&usg=AOvVaw0YS4hYJN5XuqDTfdk0Vc7H (accessed on 8 August 2018).
- Kurşun, A.; Şenel, M.; Enginsoy, H.M. Experimental and numerical analysis of low velocity impact on a preloaded composite plate. Adv. Eng. Softw. 2015, 90, 41–52. [Google Scholar] [CrossRef]
- Rice, J.R.; Tracey, D.M. On the ductile enlargement of voids in triaxial stress fields. J. Mech. Phys. Solids. 1969, 17, 201–217. [Google Scholar] [CrossRef]
- Hooputra, H.; Gese, H.; Dell, H.; Werner, H. A comprehensive failure model for crashworthiness simulation of aluminium extrusions. Int. J. Crashworthiness 2004, 9, 449–464. [Google Scholar] [CrossRef]
- Khan, S.A.; Huang, S. Continuum Theory of Plasticity; John Wiley & Sons Inc.: New York, NY, USA, 1995. [Google Scholar]
- Hiermaier, S. Structures Under Crash and Impact: Continuum Mechanics, Discretization and Experimental Characterization; Springer: New York, NY, USA, 2008. [Google Scholar]
- Lindroos, M.; Apostol, M.; Heino, V.; Valtonen, K.; Laukkanen, A.; Holmberg, K.; Kuokkala, V.T. The Deformation, Strain Hardening, and Wear Behavior of Chromium-Alloyed Hadfield Steel in Abrasive and Impact Conditions. Tribol. Lett. 2015, 57, 24. [Google Scholar] [CrossRef]
- Apostol, M.; Kuokkala, V.T.; Laukkanen, A.; Holmberg, K.; Waudby, R.; Lindroos, M. High velocity particle impactor–modeling and experimental verification of impact wear test. In Proceedings of the World Tribology Congress, Turin, Italy, 8–13 September 2013; pp. 8–13. [Google Scholar]
- Lindroos, M.; Kuokkala, V.T.; Lehtovaara, A.; Kivikyto-Reponen, P. Effects of strain and strain rate on the abrasive wear behavior of high manganese austenitic steel. Key Eng. Mater. 2013, 527, 211–216. [Google Scholar] [CrossRef]
- Sarlin, E.; Apostol, M.; Lindroos, M.; Kuokkala, V.T.; Vuorinen, J.; Lepisto, T.; Vippola, M. Impact properties of novel corrosion resistant hybrid structures. Compos. Struct. 2014, 108, 886–893. [Google Scholar] [CrossRef]
- Wen, Y.H.; Peng, H.B.; Si, H.T.; Xiong, R.L.; Raabe, D. A novel high manganese austenitic steel with higher work hardening capacity and much lower impact deformation than Hadfield manganese steel. Mater. Des. 2014, 55, 798–804. [Google Scholar] [CrossRef]
- Bal, B.; Gumus, B.; Gerstein, G.; Canadinc, D.; Maier, H.J. On the micro-deformation mechanisms active in high-manganese austenitic steels under impact loading. Mater. Sci. Eng. A 2015, 632, 29–34. [Google Scholar] [CrossRef]
- Heathcock, C.J.; Protheroem, B.E.; Ballm, A. Cavitation erosion of stainless steels. Wear 1982, 81, 311–327. [Google Scholar] [CrossRef]













© 2018 by the authors. Licensee MDPI, Basel, Switzerland. This article is an open access article distributed under the terms and conditions of the Creative Commons Attribution (CC BY) license (http://creativecommons.org/licenses/by/4.0/).
Share and Cite
Enginsoy, H.M.; Bayraktar, E.; Kurşun, A. A Comprehensive Study on the Deformation Behavior of Hadfield Steel Sheets Subjected to the Drop Weight Test: Experimental Study and Finite Element Modeling. Metals 2018, 8, 734. https://doi.org/10.3390/met8090734
Enginsoy HM, Bayraktar E, Kurşun A. A Comprehensive Study on the Deformation Behavior of Hadfield Steel Sheets Subjected to the Drop Weight Test: Experimental Study and Finite Element Modeling. Metals. 2018; 8(9):734. https://doi.org/10.3390/met8090734
Chicago/Turabian StyleEnginsoy, Halil Murat, Emin Bayraktar, and Ali Kurşun. 2018. "A Comprehensive Study on the Deformation Behavior of Hadfield Steel Sheets Subjected to the Drop Weight Test: Experimental Study and Finite Element Modeling" Metals 8, no. 9: 734. https://doi.org/10.3390/met8090734
APA StyleEnginsoy, H. M., Bayraktar, E., & Kurşun, A. (2018). A Comprehensive Study on the Deformation Behavior of Hadfield Steel Sheets Subjected to the Drop Weight Test: Experimental Study and Finite Element Modeling. Metals, 8(9), 734. https://doi.org/10.3390/met8090734

