Improved Dehydrogenation Performance of Li-B-N-H by Doped NiO
Abstract
:1. Introduction
2. Materials and Methods
2.1. Sample Preparation
2.2. Sample Characterization
3. Results and Discussion
3.1. The Phase Structure and Morphology of the Synthesized NiO
3.2. Structural Characteristics of As-Milled Samples
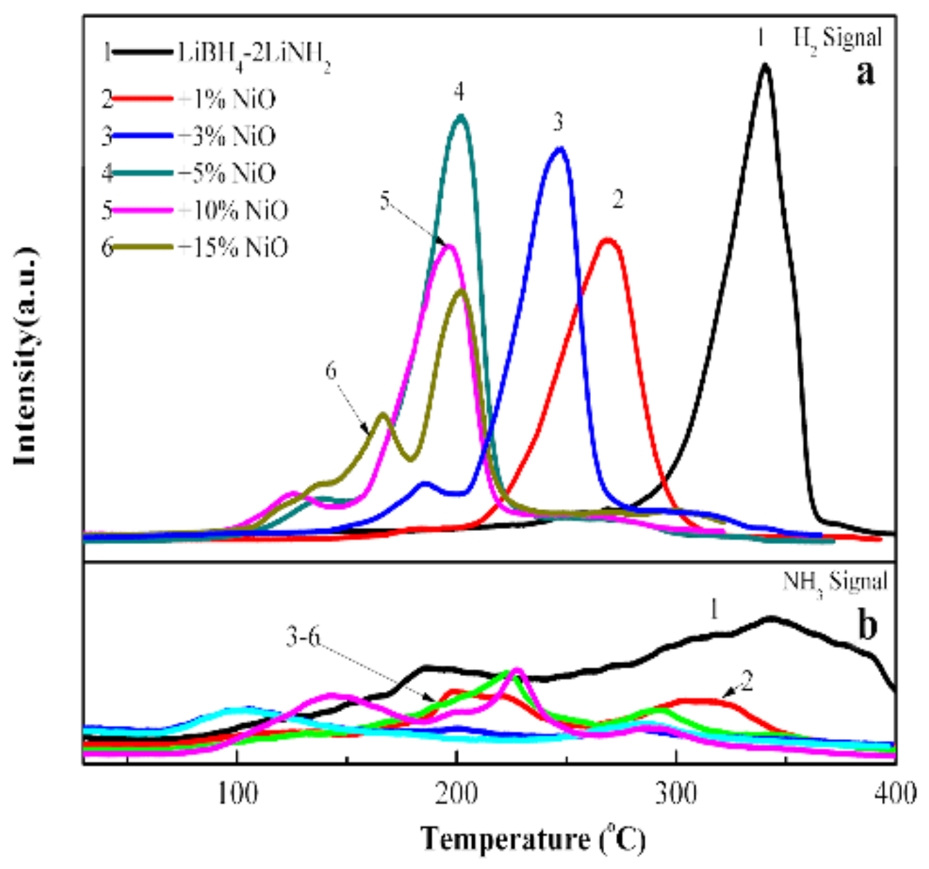
3.3. Dehydrogenation Behaviors of Doped NiO Samples
3.4. MS Analysis
3.5. Dehydrogenation Mechanism of the LiBH4-2LiNH2-5 wt. % NiO
4. Conclusions
Acknowledgments
Author Contributions
Conflicts of Interest
References
- Züttel, A.; Rentsch, S.; Fischer, P.; Wenger, P.; Sudan, P.; Mauron, P. Hydrogen storage properties of LiBH4. J. Alloy Compd. 2003, 356, 515–520. [Google Scholar] [CrossRef]
- Hu, Y.H. Novel hydrogen storage systems and materials. Int. J. Energy Res. 2013, 37, 683–685. [Google Scholar] [CrossRef]
- Zhang, L.; Chen, L.; Fan, X.; Xiao, X.; Zheng, J.; Huang, X. Enhanced hydrogen storage properties of MgH2 with numerous hydrogen diffusion channels provided by Na2Ti3O7 nanotubes. J. Mater. Chem. A 2017, 5, 6178–6185. [Google Scholar] [CrossRef]
- Khafidz, N.Z.A.K.; Yaakob, Z.; Lim, K.L.; Timmiati, S.N. The kinetics of lightweight solid-state hydrogen storage materials: A review. Int. J. Hydrogen Energy 2016, 41, 13131–13151. [Google Scholar]
- Moller, K.T.; Fogh, A.S.; Paskevicius, M.; Skibsted, J.; Jensen, T.R. Metal borohydride formation from aluminium boride and metal hydrides. Phys. Chem. 2016, 18, 27545–27553. [Google Scholar] [CrossRef] [PubMed]
- Zhang, J.; Li, P.; Wan, Q.; Zhai, F.Q.; Volinsky, A.A.; Qu, X.H. Superior destabilization effects of LiBH4 with the addition of nano-sized nickel ferrite NiFe2O4. RSC Adv. 2015, 5, 81212–81219. [Google Scholar] [CrossRef]
- Gosalawit-Utke, R.; Meethom, S.; Pistidda, C.; Milanese, C.; Laipple, D.; Saisopa, T. Destabilization of LiBH4 by nanoconfinement in PMMA-co-BM polymer matrix for reversible hydrogen storage. Int. J. Hydrogen Energy 2014, 39, 5019–5029. [Google Scholar] [CrossRef]
- Liu, X.; Langmi, H.W.; Beattie, S.D.; Azenwi, F.F.; McGrady, G.S.; Jensen, C.M. Ti-Doped LiAlH4 for Hydrogen Storage: Synthesis, Catalyst Loading and Cycling Performance. J. Am. Chem. Soc. 2011, 133, 15593–15597. [Google Scholar] [CrossRef] [PubMed]
- Xu, J.; Meng, R.R.; Cao, J.Y.; Gu, X.F.; Song, W.L.; Qi, Z.Q. Graphene-supported Pd catalysts for reversible hydrogen storage in LiBH4. J. Alloys Compd. 2013, 564, 84–90. [Google Scholar] [CrossRef]
- Wang, H.X.; Zhou, L.M.; Han, M.; Tao, Z.L.; Cheng, F.Y.; Chen, J. CuCo nanoparticles supported on hierarchically porous carbon as catalysts for hydrolysis of ammonia borane. J. Alloys Compd. 2015, 651, 382–388. [Google Scholar] [CrossRef]
- Shao, J.; Xiao, X.Z.; Chen, L.X.; Fan, X.L.; Han, L.Y.; Li, S.Q. Enhanced hydriding-dehydriding performance of a 2LiH-MgB2 composite by the catalytic effects of Ni-B nanoparticles. J. Mater. Chem. A 2013, 1, 10184–10192. [Google Scholar] [CrossRef]
- Yang, Z.; Grant, D.M.; Wang, P.; Walker, G.S. The effect of complex halides and binary halides on hydrogen release for the 2LiBH4:1MgH2 system. Faraday Discuss. 2011, 151, 133–141. [Google Scholar] [CrossRef] [PubMed]
- Li, H.W.; Yan, Y.G.; Akiba, E.; Orimo, S.I. Improved Dehydrogenation and Rehydrogenation Properties of LiBH4 by Nanosized Ni Addition. Mater. Trans. 2014, 8, 1134–1137. [Google Scholar] [CrossRef]
- Chen, S.; Miao, C.X.; Luo, Y.; Zhou, G.L.; Xiong, K.; Jiao, Z.J.; Zhang, X.M. Study of catalytic hydrodeoxygenation performance of Ni catalysts: Effects of prepared method. Renew. Energy 2017, 115, 1109–1117. [Google Scholar] [CrossRef]
- Vajo, J.J.; Skeith, S.L.; Mertens, F. Reversible storage of hydrogen in destabilized LiBH4. J. Phys. Chem. B 2005, 109, 3719–3722. [Google Scholar] [CrossRef] [PubMed]
- Pinkerton, F.E.; Meyer, M.S.; Meisner, G.P.; Balogh, M.P.; Vajo, J.J. Phase Boundaries and Reversibility of LiBH4/MgH2 Hydrogen Storage Material. J. Phys. Chem. C 2007, 111, 12881–12885. [Google Scholar] [CrossRef]
- Lim, J.H.; Shim, J.H.; Lee, Y.S.; Suh, J.Y.; Cho, Y.W. Rehydrogenation and cycle studies of LiBH4–CaH2 composite. Int. J. Hydrogen Energy 2010, 13, 6578–6582. [Google Scholar] [CrossRef]
- Lbikunle, A.; Goudy, A.J.; Yang, H. Hydrogen storage in a CaH2/LiBH4 destabilized metal hydride system. J. Alloys Compd. 2009, 475, 110–115. [Google Scholar] [CrossRef]
- Wu, X.C.; Wang, X.H.; Cao, G.Z.; Li, S.Q.; Ge, H.W.; Chen, L.X.; Yan, M. Hydrogen storage properies of LiBH4-Li3AlH6 composites. J. Alloys Compd. 2012, 517, 127–131. [Google Scholar] [CrossRef]
- Javadian, P.; Zlotea, C.; Ghimbeu, C.M.; Jenson, T.R. Hydrogen storage properties of nanoconfined LiBH4–Mg2NiH4 reactive hydride composites. J. Phys. Chem. C 2015, 119, 5819–5826. [Google Scholar] [CrossRef]
- Chen, P.; Xiong, Z.T.; Luo, J.Z.; Lin, J.Y.; Tan, K.L. Interaction of hydrogen with metal nitrides and imides. Nature 2002, 420, 302–304. [Google Scholar] [CrossRef] [PubMed]
- Pinkerton, F.E.; Meyer, M.S.; Meisner, G.P.; Balogh, M.P.; Kundrat, M.D. Hydrogen desorption exceeding ten weight percent from the new quaternary hydride Li3BN2H8. J. Phys. Chem. B 2005, 9, 6–8. [Google Scholar] [CrossRef] [PubMed]
- Pinkerton, F.E.; Meyer, M.S.; Meisner, G.P.; Balogh, M.P. Improved hydrogen release from LiB0.33N0.67H2.67 with metal additives: Ni, Fe, and Zn. J. Alloys Compd. 2007, 433, 282–291. [Google Scholar] [CrossRef]
- Zhang, Y.; Liu, Y.F.; Zhang, X.; Li, Y.; Gao, M.X.; Pan, H.G. Synthesis of a Nanosized Carbon-Supported Ni Composite and Its Remarkable Catalysis for Hydrogen Desorption from the LiBH4-2LiNH2 System. J. Phys. Chem. C 2015, 119, 24760–24768. [Google Scholar] [CrossRef]
- Zhao, Y.; Liu, Y.C.; Liu, H.Q.; Kang, H.Y.; Cao, K.Z.; Wang, Q.H.; Zhang, C.L.; Wang, Y.J. Improved dehydrogenation performance of LiBH4 by 3D hierarchical flower-like MoS2 spheres additives. J. Power Sources 2015, 300, 358–364. [Google Scholar] [CrossRef]
- Li, Y.; Zhang, Y.; Gao, M.X.; Pan, H.G.; Liu, Y.F. Preparation and catalytic effect of porous Co3O4 on the hydrogen storage properties of a Li-B-N-H system. Prog. Nat. Sci. Mater. Int. 2017, 27, 132–138. [Google Scholar] [CrossRef]
- Zhao, B.; Ke, X.; Bao, J.H.; Wang, C.L.; Dong, L.; Chen, W.Y.; Chen, H.L. Synthesis of flower-like NiO and effects of morphology on its catalytic properties. J. Phys. Chem. C 2010, 113, 14440–14447. [Google Scholar] [CrossRef]
- Zhang, Y.; Liu, Y.F.; Liu, T.; Gao, M.X.; Pan, H.G. Remarkable decrease in dehydrogenation temperature of Li-B-N-H hydrogen storage system with CoO additive. Int. J. Hydrogen Energy 2013, 38, 13318–13327. [Google Scholar] [CrossRef]
- Meisner, G.P.; Scullin, M.L.; Balogh, M.P.; Pinkerton, F.E.; Meyer, M.S. Hydrogen release from mixtures of lithium borohyride and lithium amide: A phase diagram study. J. Phys. Chem. B 2006, 110, 4186–4192. [Google Scholar] [CrossRef] [PubMed]
- Gao, Q.; Zeng, W.; Miao, R.Y. Synthesis of multifarious hierarchical flower-like NiO and their gas-sensing properties. J. Mater. Sci. Mater. Electron. 2016, 27, 9410–9416. [Google Scholar] [CrossRef]
- Chater, P.A.; Adeson, P.A.; Prendergast, J.W.; Walton, A.; Vicky, S.J.; David, B.; David, W.; Johnson, S.R.; Edwards, J.J. Synthesis and characterization of amide-borohydrides: New complex light hydrides for potential hydrogen storage. J. Alloys Compd. 2007, 446, 350–354. [Google Scholar] [CrossRef]
- Liu, Y.F.; Luo, K.; Zhou, Y.F.; Gao, M.X.; Pan, H.G. Diffusion controlled hydrogen desorption reaction for the LiBH4/2LiNH2 system. J. Alloys Compd. 2009, 481, 473–479. [Google Scholar] [CrossRef]
- Xu, Q.; Chandra, M. Catalytic activities of non-noble metals for hydrogen generation from aqueous ammonia-borane at room temperature. J. Power Sources 2006, 163, 364–370. [Google Scholar] [CrossRef]









© 2018 by the authors. Licensee MDPI, Basel, Switzerland. This article is an open access article distributed under the terms and conditions of the Creative Commons Attribution (CC BY) license (http://creativecommons.org/licenses/by/4.0/).
Share and Cite
Wu, Y.; Xu, F.; Sun, L.; Xia, Y.; Li, P.; Chen, J.; Yang, X.; Yu, F.; Zhang, H.; Chu, H.; et al. Improved Dehydrogenation Performance of Li-B-N-H by Doped NiO. Metals 2018, 8, 258. https://doi.org/10.3390/met8040258
Wu Y, Xu F, Sun L, Xia Y, Li P, Chen J, Yang X, Yu F, Zhang H, Chu H, et al. Improved Dehydrogenation Performance of Li-B-N-H by Doped NiO. Metals. 2018; 8(4):258. https://doi.org/10.3390/met8040258
Chicago/Turabian StyleWu, Yipeng, Fen Xu, Lixian Sun, Yongpeng Xia, Peng Li, Jun Chen, Xia Yang, Fang Yu, Huanzhi Zhang, Hailiang Chu, and et al. 2018. "Improved Dehydrogenation Performance of Li-B-N-H by Doped NiO" Metals 8, no. 4: 258. https://doi.org/10.3390/met8040258
APA StyleWu, Y., Xu, F., Sun, L., Xia, Y., Li, P., Chen, J., Yang, X., Yu, F., Zhang, H., Chu, H., & Zou, Y. (2018). Improved Dehydrogenation Performance of Li-B-N-H by Doped NiO. Metals, 8(4), 258. https://doi.org/10.3390/met8040258
 
        


