Magnetism-Structure Correlations during the ε→τ Transformation in Rapidly-Solidified MnAl Nanostructured Alloys
Abstract
:1. Introduction
2. Experimental Section
= effective intrinsic coercivity of magnetic phase-(i) (Oe),
squareness ratio (remanence vs. saturation; unitless), xi = relative fractional contribution of each constituent magnetic phase respect to the total magnetization (
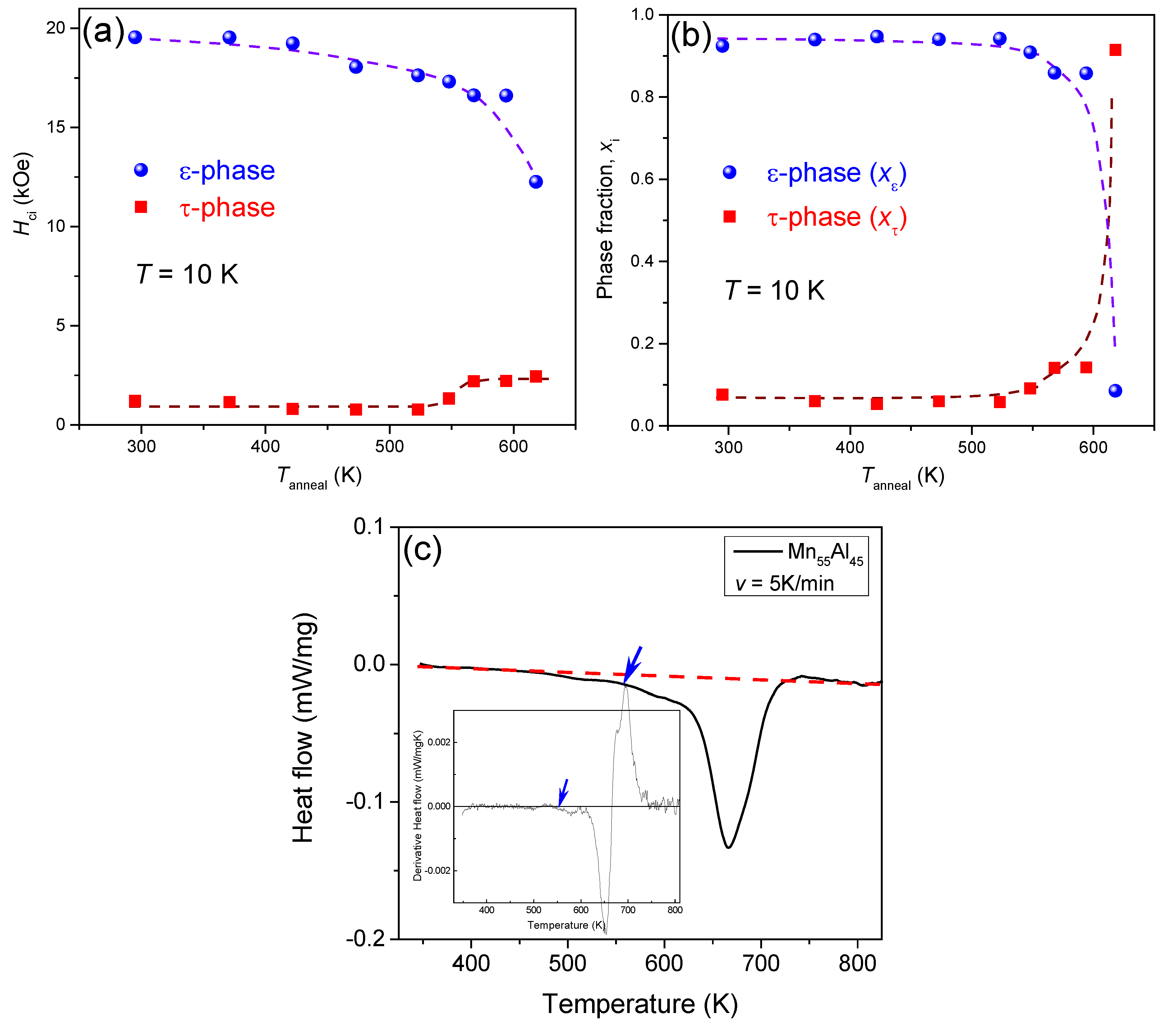
), and n = number of constituent magnetic phases contributing to M (unitless). 3. Results




4. Discussion


| Fabrication/processing method | τ-MnAl formation temperature (K) | Method | References |
|---|---|---|---|
| Water-quenched Mn53Al46C2 | 723 K | Annealed | [23] |
| Oil-quenched Mn55Al45 | 800 K | Annealed | [13] |
| Nonequilibrium synthesis methods | |||
| Splat-quenching | ~700 K | DSC (onset) | [20] |
| 723 K | DSC (peak) | [20] | |
| Mechanical milling | ~600 K | DSC (onset) | [28] |
| 665 K | DSC (peak) | [28] | |
| 623 K | XRD | [28] | |
| Melt-spun Mn54A l44C2 (at 25 m/s) | ~725 K | DSC (onset) | [27] |
| 779 K | DSC (peak) | [27] | |
| 748 K | M(T) curves | [27] | |
| Melt-spun Mn55Al45 (at 40 m/s) | ~710 K | DSC(onset) | [19] |
| 758 K | DSC(onset) | [19] | |
| Melt-spun Mn55Al45 (at 64 m/s) | ~550 K | DSC (onset) | This work |
| 654 K | DSC (peak) | This work | |
| 618 K | XRD | This work | |
| 568 K | M(H) curves | This work | |
5. Conclusions
Acknowledgments
Conflicts of Interest
References
- Lewis, L.H.; Jimenez-Villacorta, F. Perspectives on permanent magnetic materials for energy conversion and power generation. Metall. Mater. Trans. A 2013, 44, 2–20. [Google Scholar]
- Coey, J.M.D. Permanent magnets: Plugging the gap. Script. Mater. 2012, 67, 524–529. [Google Scholar] [CrossRef]
- Park, J.H.; Hong, Y.K.; Bae, S.; Lee, J.J.; Jalli, J.; Abo, G.S.; Neveu, N.; Kim, S.G.; Choi, C.J.; Lee, J.G. Saturation magnetization and crystalline anisotropy calculations for MnAl permanent magnet. J. Appl. Phys. 2010, 107, 09A731. [Google Scholar]
- Coey, J.M.D. Hard magnetic materials: A perspective. IEEE Trans. Magn. 2011, 47, 4671–4681. [Google Scholar] [CrossRef]
- Kharel, P.; Li, X.Z.; Shah, V.R.; Al-Aqtash, N.; Tarawneh, K.; Sabirianov, R.F.; Skomski, R.; Sellmyer, D.J. Structural, magnetic, and electron transport properties of MnBi:Fe thin films. J. Appl. Phys. 2012, 111, 07E326. [Google Scholar]
- Yang, J.B.; Yang, Y.B.; Chen, X.G.; Ma, X.B.; Han, J.Z.; Yang, Y.C.; Guo, S.; Yan, A.R.; Huang, Q.Z.; Wu, M.M.; et al. Anisotropic nanocrystalline MnBi with high coercivity at high temperature. Appl. Phys. Lett. 2011, 99, 082505. [Google Scholar] [CrossRef]
- Kono, H. Ferromagnetic phase in manganese-aluminum system. J. Phys. Soc. Jpn. 1958, 13, 1444–1451. [Google Scholar] [CrossRef]
- Koch, A.J.J.; Philips, N.V.; Hokkeling, P.; v.d.Steeg, M.G.; de Vos, K.J. New material for permanent magnets on a base of Mn and Al. J. Appl. Phys. 1960, 31, 75S–77S. [Google Scholar] [CrossRef]
- Chen, T.; Stutius, W.E. The phase transformation and physical properties of MnBi and Mn1.08Bi compounds. IEEE Trans. Magn. 1974, MAG-10, 581. [Google Scholar] [CrossRef]
- Wyslocki, J.J.; Pawlik, P.; Przybyl, A. Magnetic properties of the non-oriented ε-phase in Mn-Al-C permanent magnet. Mater. Chem. Phys. 1999, 60, 211–213. [Google Scholar]
- Hoydick, D.P.; Palmiere, E.J.; Soffa, W.A. Microstructural development in MnAl-base permanent magnet materials: New perspectives. J. Appl. Phys. 1997, 81, 5624–5626. [Google Scholar] [CrossRef]
- Kamino, K.; Kawaguchi, T.; Nagakura, M. Magnetic properties of manganese-aluminum system alloys. IEEE Trans. Magn. 1966, MAG-2, 506–510. [Google Scholar]
- Kuo, P.C.; Yao, Y.D.; Huang, J.H.; Chen, C.H. Fabrication and magnetic properties of manganese-aluminum permanent magnets. J. Magn. Magn. Mater. 1992, 115, 183–186. [Google Scholar] [CrossRef]
- Le Breton, J.M.; Bran, J.; Folcke, E.; Lucis, M.; Larde, R.; Jean, M.; Shield, J.E. Structural modifications in a Mn54Al43C3 melt-spun alloy induced by mechanical milling and subsequent annealing investigated by atom probe tomography. J. Alloys Compd. 2013, 581, 86–90. [Google Scholar] [CrossRef]
- Rama Rao, N.V.; Gabay, A.M.; Li, W.F.; Hadjipanayis, G.C. Nanostructured bulk MnBi magnets fabricated by hot compaction of cryomilled powders. J. Phys. D 2013, 46, 265001. [Google Scholar] [CrossRef]
- McCurrie, R.A.; Rickman, J.; Dunk, P.; Hawkridge, D.G. Dependence of the permanent magnet properties of manganese-aluminum (Mn55Al45) on particle size. IEEE Trans. Magn. 1978, MAG-14, 682–684. [Google Scholar]
- Gutfleisch, O.; Willard, M.A.; Brück, E.; Chen, C.H.; Sankar, S.G.; Liu, J.P. Magnetic materials and devices for the 21st century: Stronger, lighter, and more energy efficient. Adv. Mater. 2011, 23, 821–842. [Google Scholar] [CrossRef]
- Poudyal, N.; Liu, J.P. Advances in nanostructured permanent magnets research. J. Phys. D 2013, 46, 043001. [Google Scholar] [CrossRef]
- Liu, Z.W.; Chen, C.; Zheng, Z.G.; Tan, B.H.; Ramanujan, R.V. Phase transitions and hard magnetic properties for rapidly solidified MnAl alloys doped with C, B, and rare earth elements. J. Mater. Sci. 2012, 47, 2333–2338. [Google Scholar] [CrossRef]
- Kim, Y.J.; Perepezko, J.H. Formation of a metastable ferromagnetic τ phase during containerless melt processing and rapid quenching in manganese-aluminum-carbon alloys. J. Appl. Phys. 1992, 71, 676–680. [Google Scholar] [CrossRef]
- Crew, D.C.; McCormick, P.G.; Street, R. MnAl and MnAlC permanent magnets produced by mechanical alloying. J. Appl. Phys. 1995, 32, 315–318. [Google Scholar]
- Rao, V.; Pramanik, S.; Tewari, C.R.; Singh, S.R.; Mohanty, O.N. Phase transformations in manganese-aluminum permanent magnet alloys. J. Mater. Sci. 1989, 24, 4088–4093. [Google Scholar] [CrossRef]
- Dobromyslov, A.V.; Ermakov, A.E.; Taluts, N.I.; Uimin, M.A. Electron microscopy investigation of phase transformations in manganese-aluminum-carbon alloy. Phys. Status Solidi A 1985, 88, 443–454. [Google Scholar] [CrossRef]
- Kim, Y.J.; Perepezko, J.H. The thermodynamics and competitive kinetics of metastable τ phase development in manganese-aluminum-base alloys. Mater. Sci. Eng. A 1993, A163, 127–134. [Google Scholar]
- Yanar, C.; Wiezorek, J.M.K.; Radmilovic, V.; Soffa, W.A. Massive transformation and the formation of the ferromagnetic L10 phase in manganese-aluminum-based alloys. Metall. Mater. Trans. A 2002, 33A, 2413–2423. [Google Scholar]
- Duan, C.Y.; Qiu, X.P.; Ma, B.; Zhang, Z.Z.; Jin, Q.Y. The structural and magnetic properties of τ-MnAl films prepared by Mn/Al multilayers deposition plus annealing. Mater. Sci. Eng. B 2009, 162, 185–188. [Google Scholar] [CrossRef]
- Fazakas, E.; Varga, L.K.; Mazaleyrat, F. Preparation of nanocrystalline Mn-Al-C magnets by melt spinning and subsequent heat treatments. J. Alloys Compd. 2007, 434–435, 611–613. [Google Scholar] [CrossRef]
- Zeng, Q.; Baker, I.; Cui, J.B.; Yan, Z.C. Structural and magnetic properties of nanostructured Mn-Al-C magnetic materials. J. Magn. Magn. Mater. 2007, 308, 214–226. [Google Scholar] [CrossRef]
- Novak, G.A.; Colville, A.A. A Practical interactive least-squares cell-parameter program using an electronic spreadsheet and a personal-computer. Amer. Miner. 1989, 74, 488–490. [Google Scholar]
- Patterson, A.L. The Scherrer formula for X-ray particle-size determination. Phys. Rev. 1939, 56, 978–982. [Google Scholar] [CrossRef]
- Bozorth, R.M.; Chapin, D.M. Demagnetizing factors of rods. J. Appl. Phys. 1942, 13, 320–326. [Google Scholar] [CrossRef]
- Stearns, M.B.; Cheng, Y. Determination of para- and ferromagnetic components of magnetization and magnetoresistance of granular Co/Ag films. J. Appl. Phys. 1994, 75, 6894–6899. [Google Scholar] [CrossRef]
- Predel, B. Al-Mn (Aluminum-Manganese). In Landolt-Bornstein—Group IV Physical Chemistry; Madelung, O., Ed.; Springer Materials: Berlin, Germany, 2013. [Google Scholar]
- Jimenez-Villacorta, F.; Marion, J.L.; Sepehrifar, T.; Daniil, M.; Willard, M.A.; Lewis, L.H. Exchange anisotropy in the nanostructured MnAl system. Appl. Phys. Lett. 2012, 100, 112408. [Google Scholar] [CrossRef]
- Wyslocki, J.J.; Pawlik, P.; Przybyl, A. Magnetic properties of the non-oriented ε-phase in Mn-Al-C permanent magnet. Mater. Chem. Phys. 1999, 60, 211–213. [Google Scholar] [CrossRef]
- Kouvel, J.S. The ferromagnetic-antiferromagnetic properties of copper-manganese and silver-manganese alloys. Phys. Chem. Solids 1961, 21, 57–70. [Google Scholar] [CrossRef]
- Kouvel, J.S. Exchange anisotropy in Cu-Mn and Ag-Mn alloys. J. Appl. Phys. 1960, 31, 142S–147S. [Google Scholar] [CrossRef]
- Jiménez-Villacorta, F.; Marion, J.L.; Sepehrifar, T.; Lewis, L.H. Tuning exchange anisotropy in nanocomposite AgMn alloys. J. Appl. Phys. 2012, 111, 07E141. [Google Scholar]
- Slater, J.C. Atomic radii in crystals. J. Chem. Phys. 1964, 41, 3199. [Google Scholar] [CrossRef]
- Liu, X.J.; Kainuma, R.; Ohtani, H.; Ishida, K. Phase equilibria in the Mn-rich portion of the binary system Mn-Al. J. Alloys Compd. 1996, 235, 256–261. [Google Scholar] [CrossRef]
© 2014 by the authors; licensee MDPI, Basel, Switzerland. This article is an open access article distributed under the terms and conditions of the Creative Commons Attribution license (http://creativecommons.org/licenses/by/3.0/).
Share and Cite
Jiménez-Villacorta, F.; Marion, J.L.; Oldham, J.T.; Daniil, M.; Willard, M.A.; Lewis, L.H. Magnetism-Structure Correlations during the ε→τ Transformation in Rapidly-Solidified MnAl Nanostructured Alloys. Metals 2014, 4, 8-19. https://doi.org/10.3390/met4010008
Jiménez-Villacorta F, Marion JL, Oldham JT, Daniil M, Willard MA, Lewis LH. Magnetism-Structure Correlations during the ε→τ Transformation in Rapidly-Solidified MnAl Nanostructured Alloys. Metals. 2014; 4(1):8-19. https://doi.org/10.3390/met4010008
Chicago/Turabian StyleJiménez-Villacorta, Felix, Joshua L. Marion, John T. Oldham, Maria. Daniil, Matthew A. Willard, and Laura H. Lewis. 2014. "Magnetism-Structure Correlations during the ε→τ Transformation in Rapidly-Solidified MnAl Nanostructured Alloys" Metals 4, no. 1: 8-19. https://doi.org/10.3390/met4010008
APA StyleJiménez-Villacorta, F., Marion, J. L., Oldham, J. T., Daniil, M., Willard, M. A., & Lewis, L. H. (2014). Magnetism-Structure Correlations during the ε→τ Transformation in Rapidly-Solidified MnAl Nanostructured Alloys. Metals, 4(1), 8-19. https://doi.org/10.3390/met4010008

