Metal Matrix Composites Reinforced by Nano-Particles—A Review
Abstract
:1. Introduction
2. Strengthening Mechanisms
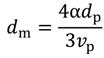
2.1. Load Transfer Effect
2.2. Hall-Petch Strengthening
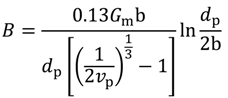
2.3. Orowan Strengthening
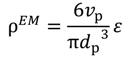
2.4. CTE and EM Mismatch
2.5. Sum of Contributions

3. Matrix Alloys and Available Reinforcements
4. Preparation Methods and Properties
4.1. Liquid Processes

4.2. Semi-Solid Processes
4.3. Solid Processes


5. Applications
6. Conclusions
Conflicts of Interest
References
- Zhang, Z.; Chen, D.L. Contribution of Orowan strengthening effect in particulate-reinforced metal matrix nanocomposites. Mat. Sci. Eng. A 2008, 483–484, 148–152. [Google Scholar] [CrossRef]
- Zhang, Z.; Chen, D.L. Consideration of Orowan strengthening effect in particulate-reinforced metal matrix nanocomposites: A model for predicting their yield strength. Scripta Mater. 2006, 54, 1321–1326. [Google Scholar] [CrossRef]
- Sanaty-Zadeh, A. Comparison between current models for the strength of particulate-reinforced metal matrix nanocomposites with emphasis on consideration of Hall–Petch effect. Mat. Sci. Eng. A 2012, 531, 112–118. [Google Scholar] [CrossRef]
- Luo, P.; McDonald, D.T.; Xu, W.; Palanisamy, S.; Dargusch, M.S.; Xia, K. A modified Hall–Petch relationship in ultrafine-grained titanium recycled from chips by equal channel angular pressing. Scripta Mater. 2012, 66, 785–788. [Google Scholar] [CrossRef]
- Uddin, S.M.; Mahmud, T.; Wolf, C.; Glanz, C.; Kolaric, I.; Volkmer, C.; Höller, H.; Wienecke, U.; Roth, S.; Fecht, H. Effect of size and shape of metal particles to improve hardness and electrical properties of carbon nanotube reinforced copper and copper alloy composites. Comp. Sci. Technol. 2010, 70, 2253–2257. [Google Scholar] [CrossRef]
- Bakshi, S.R.; Lahiri, D.; Agarwal, A. Carbon nanotube reinforced metal composites-a review. Int. Mater. Rev. 2010, 55, 42–64. [Google Scholar]
- Trojanova, Z.; Lukac, P.; Ferkel, H.; Riehemann, W. Internal friction in microcrystalline and nanocrystalline Mg. Mat. Sci. Eng. A 2004, 370, 154–157. [Google Scholar] [CrossRef]
- Deng, C.F.; Wang, D.Z.; Zhang, X.X.; Ma, Y.X. Damping characteristics of carbon nanotube reinforced aluminum composite. Mater. Lett. 2007, 61, 3229–3231. [Google Scholar] [CrossRef]
- Shehata, F.; Fathy, A.; Abdelhameed, M.; Mustafa, S.F. Preparation and properties of Al2O3 nanoparticle reinforced copper matrix composites by in situ processing. Mater. Design 2009, 30, 2756–2762. [Google Scholar] [CrossRef]
- Ferkel, H.; Mordike, B.L. Magnesium strengthened by SiC nanoparticles. Mat. Sci. Eng. A 2001, 298, 193–199. [Google Scholar] [CrossRef]
- Nardone, V.C.; Prewo, K.M. On the strength of discontinuous silicon carbide reinforced aluminum composites. Scripta Metal. 1986, 20, 43–48. [Google Scholar] [CrossRef]
- Hull, D.; Bacon, D.J. Introduction to Dislocations, 4th ed.; Butterworth Einemann: Oxford, UK, 2001. [Google Scholar]
- Smallman, R.E.; Ngan, A.H.W. Physical Metallurgy and Advanced Materials, 7th ed.; Butterworth Einemann: Oxford, UK, 2007. [Google Scholar]
- Hull, D.; Clyne, T.W. An Introduction to Composite Materials, 2th ed.; Cambridge University Press: Cambridge, UK, 1996. [Google Scholar]
- Casati, R.; Amadio, M.; Biffi, C.A.; Dellasega, D.; Tuissi, A.; Vedani, M. Al/Al2O3 nano-composite produced by ECAP. Mater. Sci. Forum. 2013, 762, 457–464. [Google Scholar] [CrossRef]
- Xu, C.; Xia, K.; Langdon, T.G. The role of back pressure in the processing of pure aluminum by equal-channel angular pressing. Acta Mater. 2007, 55, 2351–2360. [Google Scholar] [CrossRef]
- Wu, X.; Xia, K. Back pressure equal channel angular consolidation—Application in producing aluminum matrix composites with fine flyash particles. J. Mater. Proc. Tech. 2007, 192–193, 355–359. [Google Scholar] [CrossRef]
- Goussous, S.; Xu, W.; Wu, X.; Xia, K. Al-C nanocomposites consolidated by back pressure equal channel angular pressing. Comp. Sci. Tech. 2009, 69, 1997–2001. [Google Scholar] [CrossRef]
- Xu, W.; Wu, X.; Honma, T.; Ringer, S.P.; Xia, K. Nanostructured Al–Al2O3 composite formed in situ during consolidation of ultrafine Al particles by back pressure equal channel angular pressing. Acta Mater. 2009, 57, 4321–4330. [Google Scholar] [CrossRef]
- Li, Y.; Zhao, Y.H.; Ortalan, V.; Liu, W.; Zhang, Z.H.; Vogt, R.G.; Browning, N.D.; Lavernia, E.J.; Schoenung, J.M. Investigation of aluminum-based nanocomposites with ultra-high strength. Mat. Sci.Eng. A 2009, 527, 305–316. [Google Scholar] [CrossRef]
- Goussous, S.; Xu, W.; Xia, K. Developing aluminum nanocomposites via severe plastic deformation. J. Phys. Conf. Ser. 2010, 240, 012106. [Google Scholar] [CrossRef]
- Kubota, M.; Wu, X.; Xu, W.; Xia, K. Mechanical properties of bulk aluminium consolidated from mechanically milled particles by back pressure equal channel angular pressing. Mat. Sci.Eng. A 2010, 527, 6533–6536. [Google Scholar] [CrossRef]
- Tjong, S.C. Novel nanoparticle-reinforced metal matrix composites with enhanced mechanical properties. Adv. Eng. Mat. 2007, 9, 639–652. [Google Scholar] [CrossRef]
- Li, X.; Yang, Y.; Cheng, X. Ultrasonic-assisted fabrication of metal matrix composites. J. Mater. Sci. 2004, 39, 3211–3212. [Google Scholar] [CrossRef]
- Mao, S.X.; McMinn, N.A.; Wu, N.Q. Processing and mechanical behavior of TiAl/NiAl intermetallic composites produced by cryogenic emchnical alloying. Mat. Sci.Eng. A 2003, A363, 275–289. [Google Scholar]
- Mahboob, H.; Sajjadi, S.A.; Zebarjad, S.M. Syntesis of Al-Al2O3 Nanocomposite by Mechanical Alloying and Evaluation of the Effect of Ball Milling Time on the Microstructure and Mechanical Properties. In Proceedings of International Conference on MEMS and Nanotechnology (ICMN ‘08), Kuala Lumpur, Malaysia, 13–15th May, 2008; pp. 240–245.
- Gupta, M.; Lai, M.O.; Soo, C.Y. Effect of type of processing on the microstructural features and mechanical properties of Al–Cu/SiC metal matrix composites. Mater. Sci. Eng. A 1996, 210, 114–122. [Google Scholar] [CrossRef]
- Lu, L.; Lai, M.O.; Su, Y.; Teo, H.L.; Feng, C.F. In situ TiB2 reinforced Al alloy composites. Scripta Mater. 2001, 45, 1017–1023. [Google Scholar] [CrossRef]
- Gupta, M.; Lai, M.O.; Boon, M.S.; Herng, N.S. Regarding the SiC particolates size associated microstructural characteristics on the aging behavior of Al-4.5 Cu metallic matrix. Mater. Res. Bull. 1998, 33, 199–209. [Google Scholar] [CrossRef]
- Esawi, A.M.K.; Morsi, K.; Sayed, A.; Abdel Gawad, A.; Borah, P. Fabrication and properties of dispersed carbon nanotube-aluminum composites. Mater. Sci. Eng. A 2009, 508, 167–173. [Google Scholar] [CrossRef]
- Deng, C.F.; Wang, D.Z.; Zhang, X.X.; Li, A.B. Processing and properties of carbon nanotubes reinforced aluminum composites. Mater. Sci. Eng. A 2007, 444, 138–145. [Google Scholar] [CrossRef]
- Derakhshandeh Haghighi, R.; Jenabali Jahromi, S.A.; Moresedgh, A.; Tabandeh Khorshid, M. A comparison between ECAP and conventional extrusion for consolidation of aluminum metal matrix composite. J. Mater. Eng. Perform. 2012, 21, 1885–1892. [Google Scholar] [CrossRef]
- Carreño-Gallardo, C.; Estrada-Guel, I.; Romero-Romo, M.; Cruz-García, R.; López-Meléndez, C.; Martínez-Sánchez, R. Characterization of Al2O3NP–Al2024 and AgCNP–Al2024 composites prepared by mechanical processing in a high energy ball mill. J. Alloys Comp. 2012, 536, S26–S30. [Google Scholar] [CrossRef]
- Tavoosi, M.; Karimzadeh, F.; Enayati, M.H. Fabrication of Al–Zn/α-Al2O3 nanocomposite by mechanical alloying. Mater. Lett. 2008, 62, 282–285. [Google Scholar] [CrossRef]
- Kollo, L.; Leparoux, M.; Bradbury, C.R.; Jäggi, C.; Carreño-Morelli, E.; Rodríguez-Arbaizar, M. Investigation of planetary milling for nano-silicon carbide reinforced aluminium metal matrix composites. J. Alloys Comp. 2010, 489, 394–400. [Google Scholar] [CrossRef]
- Lu, L.; Lai, M.O.; Yeo, J.L. In situ synthesis of TiC composite for structural application. Comp. Struct. 1999, 47, 613–618. [Google Scholar] [CrossRef]
- Derakhshandeh, R.; Jenabali Jahromi, H.A. An investigation on the capability of equal channel angular pressing for consolidation of aluminum and aluminum composite powder. Mater. Design 2011, 32, 3377–3388. [Google Scholar] [CrossRef]
- De Cicco, M.; Turng, L.; Li, X.; Perepezko, J.H. Nucleation catalysis in Aluminum alloy A356 using nanoscale inoculants. Metal. Mater. Trans. A 2011, 42, 2323. [Google Scholar] [CrossRef]
- De Cicco, M.; Turng, L.; Li, X.; Perepezko, J.H. Production of semi-solid slurry through heterogeneous nucleation in metal matrix nanocomposites (MMNC) using nano-scaled ultrasonically dispersed inoculants. Solid State Phen. 2008, 141–143, 487–492. [Google Scholar] [CrossRef]
- Li, J.; Xu, W.; Wu, X.; Ding, H.; Xia, K. Effects of grain size on compressive behaviour in ultrafine grained pure Mg processed by equal-channel angular pressing at room temperature. Mater. Sci. Eng. A 2011, 528, 5993–5998. [Google Scholar] [CrossRef]
- Erman, A.; Groza, J.; Li, X.; Choi, H.; Cao, G. Nanoparticle effects in cast Mg-1 wt% SiC nano-composites. Mater. Sci. Eng. A 2012, 558, 39–43. [Google Scholar]
- Wang, Z.; Wang, X.; Zhao, Y.; Du, W. SiC nanoparticles reinforced magnesium matrix composites fabricated by ultrasonic method. Trans. Nonferrous Met. 2010, 20, s1029–s1032. [Google Scholar] [CrossRef]
- Eugene, W.W.L.; Gupta, M. Characteristics of aluminum and magnesium based nanocomposites processed using hybrid microwave sintering. J. Microwave Power Electromagn. Energy 2010, 44, 14–27. [Google Scholar]
- Nie, K.B.; Wang, X.J.; Xu, L.; Wu, K.; Hu, X.S.; Zheng, M.Y. Influence of extrusion temperature and process parameter on microstructures and tensile properties of a particulate reinforced magnesium matrix nanocomposites. Mater. Design 2012, 36, 199–205. [Google Scholar] [CrossRef]
- Cao, G.; Choi, H.; Oportus, J.; Konishi, H.; Li, X. Study on tensile properties and microstructure of cast AZ91D/AlN nanocomposites. Mater. Sci. Eng. A 2008, 494, 127–131. [Google Scholar] [CrossRef]
- Li, Q.; Rottmair, C.A.; Singer, R.F. CNT reinforced light metal composites produced by melt stirring and by high pressure die casting. Comp. Sci. Tech. 2010, 70, 2242–2247. [Google Scholar] [CrossRef]
- Lai, M.O.; Lu, L.; Laing, W. Formation of magnesium nanocomposite via mechanical milling. Comp. Struct. 2004, 66, 301–304. [Google Scholar] [CrossRef]
- Morisada, Y.; Fujii, H.; Nagaoka, T.; Nogi, K.; Fukusumi, M. Fullerene/A5083 composites fabricated by material flow during friction stir processing. Compos. Part A 2007, 38, 2097–2101. [Google Scholar] [CrossRef]
- Luo, P.; McDonald, D.T.; Zhu, S.M.; Palanisamy, S.; Dargusch, M.S.; Xia, K. Analysis of microstructure and strengthening in pure titanium recycled from machining chips by equal-channel angular pressing using electron backscatter diffraction. Mater. Sci. Eng. A 2012, 538, 252–258. [Google Scholar] [CrossRef]
- Stolyarov, V.V.; Zhu, Y.T.; Alexandrov, I.V.; Lowe, T.C.; Valiev, R.Z. Influence of ECAP routes on the microstructure and properties of pure Ti. Mater. Sci. Eng. A 2001, 299, 59–67. [Google Scholar] [CrossRef]
- Bozic, D.; Stasic, J.; Dimcic, B.; Vilotijevic, M.; Rajkovic, V. Multiple strengthening mechanisms in nanoparticle-reinforced copper matrix composites. J. Mater. Sci. 2011, 34, 217–226. [Google Scholar]
- Naser, J.; Riehemann, W.; Frenkel, H. Dispersion hardening of metals by nanoscaled ceramic powders. Mater. Sci. Eng. A 1997, 234–236, 467–469. [Google Scholar] [CrossRef]
- Quang, P.; Jeong, Y.G.; Yoon, S.C.; Hong, S.H.; Kim, H.S. Consolidation of 1 vol.% carbon nanotube reinforced metal matrix nanocomposites via equal channel angular pressing. J. Mater. Proc. Techn. 2007, 187–188, 318–320. [Google Scholar] [CrossRef]
- Ahamed, H.; Senthilkumar, V. Consolidation behavior of mechanically alloyed aluminum based nanocomposites reinforced with nanoscaled Y2O3/Al2O3. Mater. Charact. 2011, 62, 1235–1249. [Google Scholar] [CrossRef]
- Nayak, S.S.; Pabi, S.K.; Kim, D.H.; Murty, B.S. Microstructure-hardness relationship of Al–(L12)Al3Ti nanocomposites prepared by rapid solidification processing. Intermetallics 2010, 18, 487–492. [Google Scholar] [CrossRef]
- Azouni, M.A.; Casses, P. Thermophysical properties effects on segregation during solidification. Adv. Colloids Interf. Sci. 1998, 75, 83–106. [Google Scholar] [CrossRef]
- Lan, J.; Yang, Y.; Li, X. Microstructure and microhardness of SiC nanoparticles reinforced magnesium composites. Mater. Sci. Eng. A 2004, 386, 284–290. [Google Scholar] [CrossRef]
- Cao, G.; Kobliska, J.; Konishi, H.; Li, X. Tensile properties and microstructure of SiC nanoparticle-reinforced Mg–4Zn alloy fabricated by ultrasonic cavitation-based solidification processing. Metal. Mater. Trans A 2008, 39, 880–886. [Google Scholar] [CrossRef]
- Tu, J.P.; Wang, N.Y.; Yang, Y.Z.; Qi, W.X.; Liu, F.; Zhang, X.B.; Lu, H.M.; Liu, M.S. Preparation and properties of TiBS2 nanoparticles reinforced copper matrix composites by in situ processing. Mater. Lett. 2002, 52, 448–452. [Google Scholar] [CrossRef]
- Yue, N.L.; Lu, L.; Lai, M.O. Application of thermodynamic calculation in the in situ process of Al/TiB2. Compos. Struct. 1999, 47, 691–694. [Google Scholar] [CrossRef]
- Ho, K.F.; Gupta, M. Development of Al–Mg based composites containing nanometric alumina using the technique of disintegrated melt deposition. J. Metast. Nanocryst. Mater. 2005, 23, 159–162. [Google Scholar] [CrossRef]
- Srikanth, N.; Ho, K.F.; Gupta, M. Effect of length scale of alumina particles of different sizes on the damping characteristics of an Al–Mg alloy. Mater. Sci. Eng. A 2006, 423, 189–191. [Google Scholar] [CrossRef]
- Gu, D.; Hagedoorn, Y.-C.; Meiners, W.; Wissenbach, K.; Poprawe, R. Nanocristalline TiC reinforced Ti matrix bulk-form nanocomposites by selective laser melting (SLM): Densification, growth mechanism and wear behavior. Compos. Sci. Technol. 2011, 71, 1612–1620. [Google Scholar] [CrossRef]
- Liu, Y.Q.; Cong, H.T.; Wang, W.; Sun, C.H.; Cheng, H.M. AlN nanoparticle-reinforced nanocrystalline Al matrix composites: Fabrication and mechanical properties. Mater. Sci. Eng. A 2009, 505, 151–156. [Google Scholar] [CrossRef]
- Bian, Z.; Pan, M.X.; Zhang, Y.; Wang, W.H. Carbon–nanotube-reinforced Zr52.5Cu17.9Ni14.6Al10Ti5 bulk metallic glass composites. Appl. Phis. Lett. 2002, 81, 4739–4741. [Google Scholar] [CrossRef]
- Bian, Z.; Wang, R.J.; Wang, W.H.; Zhang, T.; Inoue, A. Carbon-nanotube-reinforced Zr-based bulk metallic glass composites and their properties. Adv. Funct. Mater. 2004, 14, 55–63. [Google Scholar] [CrossRef]
- Goh, C.S.; Wei, J.; Lee, L.C.; Gupta, M. Ductility improvement and fatigue studies in Mg-CNT nanocomposites. Compos. Sci. Tech. 2008, 68, 1432–1439. [Google Scholar] [CrossRef]
- El-Kady, E.; Mahmoud, T.; Ali, A. On the electrical and thermal conductivities of cast A356/Al2O3 metal matrix nanocomposites. Mater. Sci. Appl. 2011, 22, 1180–1187. [Google Scholar]
- De Cicco, M.; Li, X.; Turng, L.-S. Semi-solid casting (SSC) of zinc alloy nanocomposites. J. Mater. Process. Tech. 2009, 209, 5881–5885. [Google Scholar] [CrossRef]
- Lu, L.; Lai, M.O. Formation of new materials in the solid state by mechanical alloying. Mater. Design 1995, 16, 33–39. [Google Scholar] [CrossRef]
- Zhang, F.; Kacmarek, W.A.; Lu, L.; Lai, M.O. Formation of Al-TiN metal matrix composite via mechanochemical route. Scripta Mater. 2000, 43, 1097–1102. [Google Scholar] [CrossRef]
- Mozaffari, M.; Gheisari, M.; Niyaifar, M.; Amighian, J. Magnetic properties of mechanochemically prepared iron-wustite (Fe–FeyO) nanocomposites. J. Magnet. Magn. Mater. 2009, 321, 2981–2984. [Google Scholar] [CrossRef]
- Razavi Hesabi, Z.; Simchi, A.; Seyed Reihani, S.M. Structural evolution during mechanical milling of nanometric and micrometric Al2O3 reinforced Al matrix composites. Mater. Sci. Eng. A 2006, 428, 159–168. [Google Scholar] [CrossRef]
- Lu, L.; Lai, M.O.; Toh, Y.H.; Froyen, L. Structure and properties of Mg–Al–Ti–B alloys synthesized via mechanical alloying. Mater. Sci. Eng. A 2002, 334, 163–172. [Google Scholar] [CrossRef]
- Mostaed, E.; Saghafian, H.; Mostaed, A.; Shokuhfar, A.; Rezaie, H.R. Investigation on preparation af Al-4.5%Cu/SiCp nanocomposites powder via mechanical milling. Powder Tech. 2012, 221, 278–283. [Google Scholar] [CrossRef]
- Lu, L.; Lai, M.O.; Liang, W. Magnesium nanocomposites via mechanochemical milling. Compos. Sci. Tech. 2004, 64, 2009–2014. [Google Scholar] [CrossRef]
- Thein, M.A.; Lu, L.; Lai, M.O. Effect of milling and reinforcement on mechanical properties of nanostructured magnesium composite. J. Mater. Proc. Tech. 2009, 209, 4439–4443. [Google Scholar] [CrossRef]
- Casati, R.; Ge, Q.; Vedani, M.; Dellasega, D.; Bassani, P.; Tuissi, A. Preparazione di nano-compositi a matrice metallica Al/Al2O3 mediante ECAP e estrusione a caldo. Metall. Ital. 2013, 105, 25–30. [Google Scholar]
- Casati, R.; Bonollo, F.; Dellasega, D.; Fabrizi, A.; Timelli, G.; Tuissi, A.; Vedani, M. Ex situ Al–Al2O3 ultrafine grained nanocomposites produced via powder metallurgy. J. Alloys Comp. 2013. [Google Scholar] [CrossRef]
- Xia, X. Consolidation of particles by severe plastic deformation: mechanism and applications in processing bulk ultrafine and nanostructured alloys and composites. Adv. Eng. Mater. 2010, 12, 724–729. [Google Scholar] [CrossRef]
- Derakhshande, R.; Jenabali Jahromi, H.S.A.; Esfandiar, B. Simulation aluminum powder in tube compaction using equal channel angular pressing. J. Mater. Eng. Perform. 2012, 21, 143–152. [Google Scholar] [CrossRef]
© 2014 by the authors; licensee MDPI, Basel, Switzerland. This article is an open access article distributed under the terms and conditions of the Creative Commons Attribution license (http://creativecommons.org/licenses/by/3.0/).
Share and Cite
Casati, R.; Vedani, M. Metal Matrix Composites Reinforced by Nano-Particles—A Review. Metals 2014, 4, 65-83. https://doi.org/10.3390/met4010065
Casati R, Vedani M. Metal Matrix Composites Reinforced by Nano-Particles—A Review. Metals. 2014; 4(1):65-83. https://doi.org/10.3390/met4010065
Chicago/Turabian StyleCasati, Riccardo, and Maurizio Vedani. 2014. "Metal Matrix Composites Reinforced by Nano-Particles—A Review" Metals 4, no. 1: 65-83. https://doi.org/10.3390/met4010065
APA StyleCasati, R., & Vedani, M. (2014). Metal Matrix Composites Reinforced by Nano-Particles—A Review. Metals, 4(1), 65-83. https://doi.org/10.3390/met4010065
