YTaO4/Y₂Zr₂O₇ Dual-Phase Ceramics with Enhanced Vickers Hardness, Fracture Toughness and High Thermal Expansion Properties for Thermal Barrier Coating Applications
Abstract
1. Introduction
2. Experiments and Methods
2.1. Synthesis and Densification
2.2. Phase Composition and Microstructure Characterization
2.3. Mechanical Properties
2.4. Thermal Properties
3. Results
3.1. Phase Composition and Microstructure Analysis
3.2. Mechanical Property Analysis
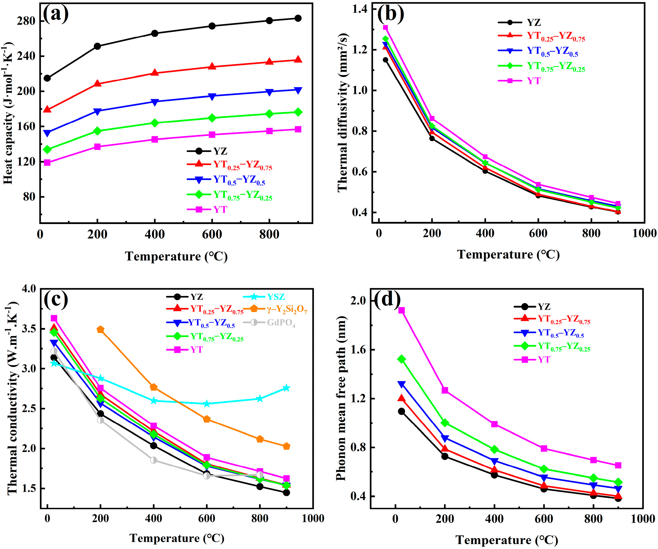
3.3. Thermal Performance Analysis
4. Discussion
4.1. Strengthening Mechanisms of the Mechanical Properties of YT1−x–YZx Composite Ceramics
4.2. The Balance of Thermal and Mechanical Properties for TBC Materials
5. Conclusions
Author Contributions
Funding
Data Availability Statement
Conflicts of Interest
References
- Padture, N.P.; Gell, M.; Jordan, E.H. Thermal Barrier Coatings for Gas-Turbine Engine Applications. Science 2002, 296, 280–284. [Google Scholar] [CrossRef] [PubMed]
- Meier, S.M.; Gupta, D.K.; Sheffler, K.D. Ceramic thermal barrier coatings for commercial gas turbine engines. JOM 1991, 43, 50–53. [Google Scholar] [CrossRef]
- Liu, B.; Liu, Y.C.; Zhu, C.H.; Xiang, H.M.; Chen, H.F.; Sun, L.C.; Gao, Y.F.; Zhou, Y.C. Advances on strategies for searching for next generation thermal barrier coating materials. J. Mater. Sci. Technol. 2019, 35, 833–851. [Google Scholar] [CrossRef]
- Cao, X.Q.; Vassen, R.; Stoever, D.J. Ceramic materials for thermal barrier coatings. J. Eur. Ceram. Soc. 2004, 24, 1–10. [Google Scholar] [CrossRef]
- Deijkers, J.A.; Wadley, H.N.G. A duplex bond coat approach to environmental barrier coating systems. Acta Mater. 2021, 217, 117167. [Google Scholar] [CrossRef]
- Wei, Z.Y.; Meng, G.H.; Chen, L.; Li, G.R.; Liu, M.J.; Zhang, W.X.; Zhao, L.N.; Zhang, Q.; Zhang, X.D.; Wan, C.L.; et al. Progress in ceramic materials and structure design toward advanced thermal barrier coatings. J. Adv. Ceram. 2022, 11, 985–1068. [Google Scholar] [CrossRef]
- Chen, L.; Li, B.; Feng, J. Rare-earth tantalates for next-generation thermal barrier coatings. Prog. Mater. Sci. 2024, 144, 101265. [Google Scholar] [CrossRef]
- Liu, B.; Zhao, J.L.; Liu, Y.C.; Xi, J.Q.; Li, Q.; Xiang, H.M.; Zhou, Y.C. Application of high-throughput first-principles calculations in ceramic innovation. J. Mater. Sci. Technol. 2021, 88, 143–157. [Google Scholar] [CrossRef]
- Winter, M.R.; Clarke, D.R. Oxide Materials with Low Thermal Conductivity. J. Am. Ceram. Soc. 2007, 90, 533–540. [Google Scholar] [CrossRef]
- Luo, C.; Li, C.; Cao, K.; Li, J.B.; Luo, J.H.; Zhang, Q.H.; Zhou, Q.Q.; Zhang, F.; Gu, L.; Yang, L.; et al. Ferroelastic domain identification and toughening mechanism for yttrium tantalate–zirconium oxide. J. Mater. Sci. Technol. 2022, 127, 78–88. [Google Scholar] [CrossRef]
- Vaßen, R.; Mack, D.E.; Tandler, M.; Sohn, Y.J.; Sebold, D.; Guillon, O. Unique performance of thermal barrier coatings made of yttria-stabilized zirconia at extreme temperatures (>1500 °C). J. Am. Ceram. Soc. 2021, 104, 463–471. [Google Scholar] [CrossRef]
- Virkar, A.V.; Matsumoto, R.L.K. Ferroelastic Domain Switching as a Toughening Mechanism in Tetragonal Zirconia. J. Am. Ceram. Soc. 1986, 69, C-224–C-226. [Google Scholar] [CrossRef]
- Clarke, D.R.; Levi, C.G. Materials Design for the Next Generation Thermal Barrier Coatings. Annu. Rev. Mater. Res. 2003, 33, 383–417. [Google Scholar] [CrossRef]
- Hu, J.H.; Gu, C.; Li, J.Y.; Li, C.; Feng, J.; Jiang, Y.H. Microstructure and oxidation behavior of the Y/Ta/Hf co-doped AlCoCrFeNi high-entropy alloys in air at 1100 °C. Corros. Sci. 2023, 212, 110930. [Google Scholar] [CrossRef]
- Chen, L.; Hu, M.Y.; Wu, P.; Feng, J. Thermal expansion performance and intrinsic lattice thermal conductivity of ferroelastic RETaO4 ceramics. J. Am. Ceram. Soc. 2019, 102, 4809–4821. [Google Scholar] [CrossRef]
- Limarga, A.M.; Clarke, D.R. The grain size and temperature dependence of the thermal conductivity of polycrystalline, tetragonal yttria-stabilized zirconia. Appl. Phys. Lett. 2011, 98, 211906. [Google Scholar] [CrossRef]
- Wallace, J.S.; Ilavsky, J. Elastic modulus measurements in plasma sprayed deposits. J. Therm. Spray Technol. 1998, 7, 521–526. [Google Scholar] [CrossRef]
- Ren, X.; Pan, W. Mechanical Properties of High-Temperature-Degraded Yttria-Stabilized Zirconia. Acta Mater. 2014, 69, 397–406. [Google Scholar] [CrossRef]
- Slifka, A.J.; Filla, B.J.; Phelps, J.M.; Bancke, G.; Berndt, C.C. Thermal Conductivity of a Zirconia Thermal Barrier Coating. J. Therm. Spray Technol. 1998, 7, 43–46. [Google Scholar] [CrossRef]
- Brandon, J.R.; Taylor, R. Phase stability of zirconia-based thermal barrier coatings part I. Zirconia-yttria alloys. Surf. Coat. Technol. 1991, 46, 75–90. [Google Scholar] [CrossRef]
- Zhao, Z.F.; Ruan, Z.Y.; Li, R.; Yan, S.X.; Sun, X.L.; Liu, C.; Zhang, D.; Xu, B.; Ren, Z.Y.; Wang, M.; et al. High entropy pyrochlore (La0.3Gd0.3Ca0.4)2(Ti0.2Zr0.2Hf0.2Nb0.2Ta0.2)2O7 ceramic with amorphous-like thermal conductivity for environmental/thermal barrier coating applications. J. Mater. Sci. Technol. 2024, 205, 315–326. [Google Scholar] [CrossRef]
- Shian, S.; Sarin, P.; Gurak, M.; Baram, M.; Kriven, W.M.; Clarke, D.R. The tetragonal–monoclinic, ferroelastic transformation in yttrium tantalate and effect of zirconia alloying. Acta Mater. 2014, 69, 196–202. [Google Scholar] [CrossRef]
- Li, B.S.; Cherng, J.S.; Bowman, K.J.; Chen, I.W. Domain Switching as a Toughening Mechanism in Tetragonal Zirconia. J. Am. Ceram. Soc. 1988, 71, C-362–C-364. [Google Scholar] [CrossRef]
- Wang, J.; Zhou, Y.; Chong, X.Y.; Zhou, R.; Feng, J. Microstructure and thermal properties of a promising thermal barrier coating: YTaO4. Ceram. Int. 2016, 42, 13876–13881. [Google Scholar] [CrossRef]
- Wu, P.; Hu, M.Y.; Chen, L.; Chen, W.; Chong, X.Y.; Gu, H.; Feng, J. Investigation on microstructures and thermo-physical properties of ferroelastic (Y1-xDyx)TaO4 ceramics. Materialia 2018, 4, 478–486. [Google Scholar] [CrossRef]
- Li, J.Y.; Dai, H.; Zhong, X.H.; Zhang, Y.F.; Ma, X.F.; Meng, J.; Cao, X.Q. Lanthanum zirconate ceramic toughened by BaTiO3 secondary phase. J. Alloys Compd. 2008, 452, 406–409. [Google Scholar] [CrossRef]
- Wang, Y.F.; Xiao, P. The phase stability and toughening effect of 3Y-TZP dispersed in the lanthanum zirconate ceramics. Mater. Sci. Eng. A 2014, 604, 34–39. [Google Scholar] [CrossRef]
- Li, J.Y.; Dai, H.; Zhong, X.H.; Zhang, Y.F.; Ma, X.F.; Meng, J.; Cao, X.Q. Effect of the addition of YAG (Y3Al5O12) nanopowder on the mechanical properties of lanthanum zirconate. Mater. Sci. Eng. A 2007, 460–461, 504–508. [Google Scholar] [CrossRef]
- Han, J.; Wang, Y.F.; Liu, R.J.; Cao, Y.B. Lanthanum zirconate ceramic toughened by ferroelastic domain switching of LaAlO3. Ceram. Int. 2018, 44, 15954–15958. [Google Scholar] [CrossRef]
- Zhang, Z.J.; Sun, J.; Liu, G.H.; Han, Y.; Liu, W.; Li, Y.; Wang, W.; Liu, X.Y.; Zhang, P.; Pan, W.; et al. High toughness and CMAS resistance of REAlO3/RE2Zr2O7 (RE = La, Nd, Sm, Eu, Gd, and Dy) composites with eutectic composition for thermal barrier coatings. J. Adv. Ceram. 2024, 13, 800–809. [Google Scholar] [CrossRef]
- Wang, J.K.; Chen, L.; Zhang, L.Y.; Gan, M.D.; Li, B.H.; Feng, J. Y1/6Yb5/6TaO4/8YSZ composite ceramics with enhanced mechanical and thermal properties. J. Am. Ceram. Soc. 2024, 107, 3895–3909. [Google Scholar] [CrossRef]
- Krautkrämer, J.; Krautkrämer, H. Measuring Methods Using Ultrasound. In Ultrasonic Testing of Materials; Grabendörfer, W., Niklas, L., Frielinghaus, R., Rath, W., Schlemm, H., Schlengermann, U., Eds.; Springer: Berlin/Heidelberg, Germany, 1977. [Google Scholar]
- Rice, R.W. Comparison of stress concentration versus minimum solid area based mechanical property-porosity relations. J. Mater. Sci. 1993, 28, 2187–2190. [Google Scholar] [CrossRef]
- Evans, A.G.; Charles, E.A. Fracture Toughness Determinations by Indentation. J. Am. Ceram. Soc. 1976, 59, 371–372. [Google Scholar] [CrossRef]
- Limarga, A.M.; Shian, S.; Leckie, R.M.; Levi, C.G.; Clarke, D.R. Thermal conductivity of single- and multi-phase compositions in the ZrO2–Y2O3–Ta2O5 system. J. Eur. Ceram. Soc. 2014, 34, 3085–3094. [Google Scholar] [CrossRef]
- Taya, M.; Hayashi, L.S.; Kobayashi, A.S.; Yoon, H.S. Toughening of a Particulate-Reinforced Ceramic-Matrix Composite by Thermal Residual Stress. J. Am. Ceram. Soc. 1990, 73, 1382–1391. [Google Scholar] [CrossRef]
- Eshelby, J.D. The determination of the elastic field of an ellipsoidal inclusion, and related problems. Proc. R. Soc. Lond. Ser. A Math. Phys. Sci. 1957, 241, 376–396. [Google Scholar]
- Parker, W.J.; Jenkins, R.J.; Butler, C.P.; Abbott, G.L. Flash Method of Determining Thermal Diffusivity, Heat Capacity, and Thermal Conductivity. J. Appl. Phys. 1961, 32, 1679–1684. [Google Scholar] [CrossRef]
- Leitner, J.; Voňka, P.; Sedmidubský, D.; Svoboda, P. Application of Neumann–Kopp rule for the estimation of heat capacity of mixed oxides. Thermochim. Acta 2010, 497, 7–13. [Google Scholar] [CrossRef]
- Lehmann, H.; Pitzer, D.; Pracht, G.; Vassen, R.; Stöver, D. Thermal Conductivity and Thermal Expansion Coefficients of the Lanthanum Rare-Earth-Element Zirconate System. J. Am. Ceram. Soc. 2003, 86, 1338–1344. [Google Scholar] [CrossRef]
- Shannon, R.D. Revised effective ionic radii and systematic studies of interatomic distances in halides and chalcogenides. Acta Crystallogr. A 1976, 32, 751–767. [Google Scholar] [CrossRef]
- Smith, C.S. Phases and Interfaces: Interpretation of Microstructures. Met. Technol. 1948, 175, 15–51. [Google Scholar]
- Hall, E.O. The Deformation and Ageing of Mild Steel: III Discussion of Results. Proc. Phys. Soc. Sect. B 1951, 64, 747. [Google Scholar] [CrossRef]
- Petch, N.J. The Cleavage Strength of Polycrystals. J. Iron. Steel Inst. 1953, 174, 25–28. [Google Scholar]
- Jiang, B.; Fang, M.H.; Huang, Z.H.; Liu, Y.G.; Peng, P.; Zhang, J. Mechanical and thermal properties of LaMgAl11O19. Mater. Res. Bull. 2010, 45, 1506–1508. [Google Scholar] [CrossRef]
- Vassen, R.; Kerkho, G.; Stoever, D. Development of a micromechanical life prediction model for plasma sprayed thermal barrier coatings. Mater. Sci. Eng. A 2001, 303, 100–109. [Google Scholar] [CrossRef]
- Song, D.W.; Song, T.; Paik, U.; Lyu, G.L.; Jung, Y.G.; Jeon, H.B.; Oh, Y.S. Glass-like thermal conductivity in mass-disordered high-entropy (Y,Yb)2(Ti, Zr, Hf)2O7 for thermal barrier material. Mater. Des. 2021, 210, 110059. [Google Scholar] [CrossRef]
- Sun, Z.Q.; Zhou, Y.C.; Wang, J.Y.; Li, M.S. Thermal Properties and Thermal Shock Resistance of γ-Y2Si2O7. J. Am. Ceram. Soc. 2010, 91, 2623–2629. [Google Scholar] [CrossRef]
- Wang, Y.F.; Fujinami, K.; Zhang, R.Z.; Wan, C.L.; Wang, N.; Ba, Y.S.; Koumoto, K. Interfacial Thermal Resistance and Thermal Conductivity in Nanograined SrTiO3. Appl. Phys. Express 2010, 3, 031101. [Google Scholar] [CrossRef]
- Chen, L.; Wang, J.K.; Li, B.H.; Luo, K.R.; Feng, J. Simultaneous manipulations of thermal expansion and conductivity in symbiotic ScTaO4/SmTaO4 composites via multiscale effects. J. Adv. Ceram. 2023, 12, 1625–1640. [Google Scholar] [CrossRef]
- Nagaraju, N.; Annamalai, A.R. An investigation of phase stability, thermal conductivity and fracture toughness of 8YSZ-La2O3 ceramics. Mater. Res. Express 2019, 6, 076560. [Google Scholar] [CrossRef]
- Chen, Y.; Zhang, R.; Zhang, G.; Jiang, P.Y.; Song, J.; Chu, X.W. Toughening Mechanism of Thermal Barrier Coatings. Int. J. Thermophys. 2021, 42, 69. [Google Scholar] [CrossRef]
- Mani, A.; Aubert, P.; Mercier, F.; Khodja, H.; Berthier, C.; Houdy, P. Effects of residual stress on the mechanical and structural properties of TiC thin films grown by RF sputtering. Surf. Coat. Technol. 2005, 194, 190–195. [Google Scholar] [CrossRef]
- Evans, A.G.; Heuer, A.H.; Porter, D.L. The fracture toughness of ceramics. In Advances in Research on the Strength and Fracture of Materials; Taplin, D.M.R., Ed.; Elsevier: Pergamon, Turkey, 1978; pp. 529–556. [Google Scholar]
- Cutler, R.A.; Virkar, A.V. The effect of binder thickness and residual stresses on the fracture toughness of cemented carbides. J. Mater. Sci. 1985, 20, 3557–3573. [Google Scholar] [CrossRef]
- Guo, F.A.; Ji, V.; Francois, M.; Zhang, Y.G. Effect of internal stresses on the fracture toughness of a TiAl-based alloy with duplex microstructures. Acta Mater. 2003, 51, 5349–5358. [Google Scholar] [CrossRef]
- Salvati, E. Residual stress as a fracture toughening mechanism: A Phase-Field study on a brittle material. Theor. Appl. Fract. Mech. 2021, 114, 103021. [Google Scholar] [CrossRef]












| Compounds | VL (m s−1) | VT (m s−1) | VM (m s−1) | E (GPa) | G (GPa) | B (GPa) | υ |
|---|---|---|---|---|---|---|---|
| YT | 5225 | 2629 | 2948 | 127 | 48 | 125 | 0.33 |
| YT0.75–YZ0.25 | 6212 | 3181 | 3563 | 189 | 76 | 177 | 0.32 |
| YT0.5–YZ0.5 | 6677 | 3605 | 4023 | 221 | 85 | 179 | 0.29 |
| YT0.25–YZ0.75 | 7121 | 3919 | 4368 | 238 | 93 | 183 | 0.28 |
| YZ | 7455 | 4075 | 4544 | 231 | 90 | 180 | 0.29 |
Disclaimer/Publisher’s Note: The statements, opinions and data contained in all publications are solely those of the individual author(s) and contributor(s) and not of MDPI and/or the editor(s). MDPI and/or the editor(s) disclaim responsibility for any injury to people or property resulting from any ideas, methods, instructions or products referred to in the content. |
© 2025 by the authors. Licensee MDPI, Basel, Switzerland. This article is an open access article distributed under the terms and conditions of the Creative Commons Attribution (CC BY) license (https://creativecommons.org/licenses/by/4.0/).
Share and Cite
Ruan, Z.; Zhao, Z.; Feng, J. YTaO4/Y₂Zr₂O₇ Dual-Phase Ceramics with Enhanced Vickers Hardness, Fracture Toughness and High Thermal Expansion Properties for Thermal Barrier Coating Applications. Metals 2025, 15, 307. https://doi.org/10.3390/met15030307
Ruan Z, Zhao Z, Feng J. YTaO4/Y₂Zr₂O₇ Dual-Phase Ceramics with Enhanced Vickers Hardness, Fracture Toughness and High Thermal Expansion Properties for Thermal Barrier Coating Applications. Metals. 2025; 15(3):307. https://doi.org/10.3390/met15030307
Chicago/Turabian StyleRuan, Ziyang, Zifan Zhao, and Jing Feng. 2025. "YTaO4/Y₂Zr₂O₇ Dual-Phase Ceramics with Enhanced Vickers Hardness, Fracture Toughness and High Thermal Expansion Properties for Thermal Barrier Coating Applications" Metals 15, no. 3: 307. https://doi.org/10.3390/met15030307
APA StyleRuan, Z., Zhao, Z., & Feng, J. (2025). YTaO4/Y₂Zr₂O₇ Dual-Phase Ceramics with Enhanced Vickers Hardness, Fracture Toughness and High Thermal Expansion Properties for Thermal Barrier Coating Applications. Metals, 15(3), 307. https://doi.org/10.3390/met15030307
