Next Article in Journal
The Influence of Process Parameters on the Density, Microstructure, and Mechanical Properties of TA15 Titanium Alloy Fabricated by Selective Laser Melting
Next Article in Special Issue
Investigation of Surface Stability and Behavior of Diamalloy 2002 Hard Coatings Under High-Temperature Conditions
Previous Article in Journal
Effect of Processing Parameters on the Microstructure and Corrosion Properties of AlCrFeCoNi High-Entropy Alloy Coatings Fabricated by Laser Cladding
Previous Article in Special Issue
Corrosion Mechanism of Press-Hardened Steel with Aluminum-Silicon Coating in Controlled Atmospheric Conditions
 
 
Font Type:
Arial Georgia Verdana
Font Size:
Aa Aa Aa
Line Spacing:
Column Width:
Background:
Article

Influence of Selective Laser Melting Process and Heat Treatment Parameters on the Corrosion Resistance of 17-4 Precipitation Hardening Stainless Steel

1
Department of Mathematics, Computer Science and Engineering, Université du Québec à Rimouski, Rimouski, QC G5L 3A1, Canada
2
Department of Mining, Metallurgical and Materials Engineering, Laval University, Quebec City, QC G1V 0A6, Canada
*
Authors to whom correspondence should be addressed.
Metals 2025, 15(3), 232; https://doi.org/10.3390/met15030232
Submission received: 12 December 2024 / Revised: 12 February 2025 / Accepted: 19 February 2025 / Published: 21 February 2025
(This article belongs to the Special Issue Metallurgy, Surface Engineering and Corrosion of Metals and Alloys)

Abstract

Selective laser melting (SLM) is an advanced additive manufacturing technique that enables the fabrication of complex metal components with high precision. However, inadequate parameter optimization can lead to defects that compromise the corrosion resistance of fabricated parts. Therefore, optimizing both SLM and heat treatment parameters is essential for enhancing electrochemical properties. The present work aims to determine the effect of the SLM process and heat treatment parameters on the corrosion resistance of SLM-made 17-4 PH stainless steel. A set of SLM and heat treatment parameters (laser power, scanning speed, aging time, and aging temperature) was determined by employed Taguchi method and a set of cyclic potentiodynamic polarization and electrochemical impedance experiments was performed in 3.5 wt% NaCl solution to generate corrosion data. The Taguchi method and statistical analysis of variance reveal the effect of laser power, scanning speed, aging time, and aging temperature on corrosion current density and passive film resistance of the SLM-made 17-4 PH samples. Laser power and aging temperature had the most significant effects, with lower laser power and higher aging temperature leading to decreased corrosion resistance, as indicated by higher corrosion current density and lower passive film resistance. Additionally, this study proposes empirical predictive models to estimate the electrochemical properties of SLM-made 17-4 PH stainless steel.

1. Introduction

Precipitation hardening (PH) martensitic stainless steels, like the 17-4 PH (UNS S17400, AISI 630), are known for their excellent combination of strength and corrosion resistance [1], making them one of the most used steels for applications requiring moderate corrosion resistance and high mechanical strength. The 17-4 PH has been widely used in a variety of applications including biomedical implants, aerospace structural components, oilfield components, propeller shafts, compressor impellers, and light water reactors [2,3,4,5,6,7]. Many of them have a complex shape ideal to be fabricated by additive manufacturing (AM), particularly the selective laser melting (SLM) process. The SLM process forms a complex object by adding material layer by layer as predetermined by a 3D computer-aided design file. However, the corrosion resistance of SLM-made PH stainless steels needs to be carefully assessed as it is strongly influenced by factors such as chemical composition, microstructure, and heat treatment [8].
Previous studies indicated some contradictory findings on the corrosion resistance of SLM-made 17-4 PH parts when compared to non-AM parts in acidic and chloride-rich environments. Stoudt et al. [9] demonstrated that AM and heat-treated 17-4 PH samples exhibited higher pitting potentials than wrought samples in a chloride-containing environment, related to the presence of finer martensite lath structure with more homogeneously distributed niobium carbide precipitates in AM parts than those in the wrought alloy, and to a more stable passive film resulting from the absorbed nitrogen in the AM and heat-treated alloy. Alnajjar et al. [10] reported that re-austenitized SLM-made 17-4 PH displayed superior general corrosion resistance in acidic chloride medium, attributed to reduced manganese sulfide inclusions in SLM-made sample. Schaller et al. [11] found that 17-4 PH samples produced by laser powder bed fusion (LPBF) displayed a reduced passivity and higher corrosion activity as compared to wrought samples due to the presence of porosity. Sun et al. [12] also confirmed the effect of porosity in reducing breakdown and repassivation potential of SLM-made 316L stainless steel, increasing its susceptibility to pitting corrosion to in chloride environment.
Despite a surge in research activities on SLM-made 17-4 PH, most of them focused on analyzing the effect of process parameters or heat treatment on mechanical properties, corrosion resistance, density, and microstructure [13,14,15,16,17]. Only a few studies investigated a combined effect of process parameters and aging conditions on the corrosion resistance of the SLM-made 17-4 PH. For instance, Garcia-Cabezon et al. [7] investigated the effect of build direction and heat treatment on the corrosion resistance of 17-4 PH, where a uniform microstructure was formed after the post-build treatment leading to corrosion resistance improvement. Therefore, this work aims to reveal the influence of the SLM process and heat treatment parameters on the corrosion resistance of 17-4 PH. A set of experiments was designed by using the Taguchi method and statistical analysis of variance (ANOVA) to determine the effect of SLM and heat treatment parameters (laser power, scanning speed, aging time, and aging temperature) on the corrosion resistance (corrosion current density and passive film resistance) of 17-4 PH. Cyclic potentiodynamic polarization and electrochemical impedance experiments were performed in 3.5 wt% NaCl solution to generate corrosion data. The results of this work will advance the current understanding of corrosion of AM stainless steels by proposing multiple linear regression-based empirical predictive models to predict the electrochemical properties of SLM-made 17-4 PH.

2. Materials and Methods

2.1. Experimental Design

A Taguchi experiment table with the orthogonal array setting L9 (3ˆ4) was used for the experimental design to limit the number of experiments [18]. Table 1 details the four factors, laser power (P), scanning speed (V), aging time (A), and aging temperature (T), and their levels used for the experimental works. The levels were chosen based on prior studies [16,19,20,21,22,23,24,25,26,27,28,29,30,31,32,33,34,35,36,37].
ANOVA, a statistical method, was used to evaluate the significance of each process parameter (P, V, A, T) in terms of percent contribution to corrosion resistance. This method determines the effect of each factor by analyzing variance in the output variable calculating associated p-values, which indicate the probability of observing the obtained results under the null hypothesis, assuming the factor has no effect. A p-value less than 0.05 signifies that the respective factor has a statistically significant influence on the output variable [38]. The results were analyzed using Minitab 18, a statistical software designed for Design of Experiments (DOE). Minitab provides tools for generating ANOVA tables and regression equations. The stepwise method was employed, excluding non-significant terms after each iteration, without relying on a hierarchical model, to minimize errors and computation time. The analysis results are presented as the degree of freedom, the sum of the squares, the percentage of contribution, the average square, the average mean square, the F-value, and the p-value for each parameter studied. The percentage of contribution indicates the degree of significance of each factor on the total variation in the experiment.

2.2. Sample Preparation

Samples of 17-4 PH parts were fabricated as 15 mm × 15 mm × 20 mm cubes from 17-4 PH gas-atomized powders (Table 2) by using an EOS M290 SLM machine (EOS GmbH—Electro Optical Systems, Krailling, Germany) equipped with a 400 W Ytterbium fiber laser at 100 µm beam diameter. The fabrication was performed under Argon atmosphere with a constant hatch spacing of 100 μm, layer thickness of 40 μm, laser power of 170 to 220 W, and scanning speed of 700 to 900 mm·s−1. These parameters can be combined to calculate energy density (E), which is defined as the energy input (J) per unit volume (mm3), and calculated using Equation (1) [39]:
E = P h v t
where P is laser power, V is laser scanning speed, h is hatch spacing, and t is layer thickness.
Distortion and residual stresses are significant challenges in AM, negatively affecting dimensional precision and part performance. Distortion refers to the deviation of the AM-built part from its intended design or dimensions, which can occur during the additive process or when the part is separated from the substrate [40]. As a result, post-processing operations, such as stress relief, are currently necessary to address these effects [36]. Heat treatments are among the post-processing operations for controlling microstructures and phase transformations, and mitigating residual stresses. To address this issue of deformation [41], the fabricated samples were then heat-treated, before being cut from the plate, at 650 °C for one hour to reduce residual stresses [42] generated due to a high temperature gradient during the SLM processing [43,44]. Since stress relief did not alter the microstructure or mechanical properties of LPBF-made 17-4 PH [45,46], an annealing was performed at 1040 °C for 30 min followed by air cooling, followed by aging at various temperatures (Table 1).

2.3. Corrosion Evaluation

The corrosion behavior of the SLM-made 17-4 PH samples was evaluated by conducting three electrochemical tests: open circuit potential (OCP), electrochemical impedance spectroscopy (EIS), and cyclic potentiodynamic polarization (CPP), using a potentiostat (CH Instruments model 760E, Austin, TX, USA). All tests were performed in 3.5 wt% NaCl solution prepared with 18.2 MΩ deionized water, maintained at room temperature 20 ± 1 °C, in a three-electrode cell setup with the 17-4 PH sample, saturated calomel electrode (SCE), and graphite rod as working, reference, and counter electrodes, respectively. Before each test, the sample surface was polished with SiC papers to 800 grit, then polished with 9 and 3 µm diamond suspension, and further polished with 0.05 µm colloidal silica suspensions, rinsed and cleaned with water and ethanol, and then dried immediately. The OCP tests were conducted for 1 h, subsequently followed by the AC mode EIS tests at a frequency range of 105 to 10−2 Hz, and an AC amplitude of 10 mV from the EOCP. The CPP test was then conducted, after 1 h at OCP, with a scan rate of 1 mV·s−1 from −0.6 to 0 VSCE. All tests were repeated three times to ensure reproducibility and reliability. Test data were collected and analyzed by using the CH Instruments and EC-Lab software version 10.4 (BioLogic, Seyssinet-Pariset, France). After being subjected to the electrochemical test, the corroded samples were rinsed, dried with alcohol, and observed by using a LECO 300 optical microscope (Leco Corporation, St. Joseph, MI, USA) to reveal the corrosion morphology.

3. Results and Discussion

3.1. Surface Analysis

The presence of porosity in SLM-fabricated samples significantly influences their susceptibility to localized corrosion and impairs their ability to repassivate in corrosive environments [47,48]. To investigate the correlation between porosity and corrosion behavior, micrographs of the samples before and after potentiodynamic polarization testing were analyzed and presented in Figure 1. Optical microscopy observations showed a significant number of pits on the surface of the sample after being subjected to polarization tests, which confirmed that the passivity breakdown was associated with pitting corrosion [15]. Moreover, it can be observed that some samples exhibit pre-existing small pores before corrosion.
For instance, sample 3 (Figure 1c) presents a higher level of porosity before corrosion due to the insufficient energy density (47.22 J·mm−3). However, as the energy density is increased to more than 68 J·mm−3, the pores are basically absent (Figure 1d,g,h) in comparison to samples printed with lower energy density between 53 and 55 J·mm−3, as depicted in Figure 1b,f, where the pores are marked with yellow circles. The presence of a high porosity level leads to a decrease in corrosion resistance. Suryawanshi et al. [49] confirmed that a higher porosity level degrades the corrosion resistance in chloride-rich environments due to the penetration of chloride ions into pores and other defects, which destroys the passive film.
The corrosion behavior of SLM-made 17-4 PH samples was first evaluated by measuring the EOCP. The results showed a similar sharp decrease at the beginning of the test for the different samples (Figure 2a–c) and stabilized after 1500 s of exposure, which indicates that the material exhibits active corrosion. The CPP curves (Figure 2d–f) showed a similar shape for all the samples with a notable passivity of sample 9 compared to the other samples and the highest Ecorr for samples heat-treated for 60 min. The average values of EOCP, Ecorr, and icorr are listed in Table 3.
The EIS results are presented in Figure 3. The Nyquist plots exhibited similar capacitive arc characteristics for all samples (Figure 3a–c), which indicates the typical behavior of stainless steels. The stability of the passive film can be analyzed by the semicircle diameter; the smaller diameter represents a lower stability of the passive film and thus lower corrosion resistance [48]. The Bode diagram (Figure 3d–f) exhibited a resistive–capacitive behavior. The maximum value of the phase angle was below −80 degrees, correlating well with the results reported in [15,50], suggesting the formation of a stable passive film on the sample surface and an increase in corrosion resistance.
An equivalent electrical circuit model (Figure 3g) is proposed to analyze the EIS plots, which presents, a solution resistance (Rs) connected in series with two constants parallel combination of the passive film resistance (Rf)//constant phase element of the passive film (CPEf) and charge transfer resistance (Rct)//constant phase element of the double layer (CPEdl). The fitting parameters are listed in Table 4. The constant-phase element (CPE (Q, n)) was used instead of a pure capacitor to characterize the non-ideal behavior of the system. The parameter n of CPE is linked with a non-uniform current distribution related to the surface heterogeneity (roughness and defects) [51]. The impedance of CPE could be calculated as follows [52]:
Z C P E = 1 Q ( ω i ) n
where Q is the CPE constant, ω is the angular frequency, i is an imaginary number (i2 = −1) and n refers to an adjustable parameter with a range from −1 to 1. The CPE exhibits an inductor behavior for n = −1, a resistor for n = 0, and a pure capacitor for n = 1 [53]. Therefore, Rp, the polarization resistance (sum of Rf and Rct), can be used to assess the corrosion resistance of samples [48]. It can be noticed that Rs values are very low and not affected by the parameter differences for all samples in the high-frequency region due to the highly corrosive nature of the electrolyte [15].

3.2. Analysis of Variance

The results of the ANOVA for corrosion current density and passive film resistance are presented in Table 5 and Table 6, respectively. When the p-value is below 0.05, it indicates that the associated factor has a significant effect on the response. The factors of P, V, A, T, P*T, and V2 were found to be statistically significant (p-value < 0.05) for corrosion current density. Additionally, the factors of P, V, A, T, P*T, V*T, and V2 were found to be statistically significant for passive film resistance (p-value < 0.05). On the other hand, T2 was found to be insignificant for corrosion current density (p-value > 0.05). The F-values are compared to values of the standard F tables for given statistical significance levels.
It can be observed that the corrosion current density is influenced by P and V with a total contribution of 67.64%, the influence of other factors is relatively small. For example, A and T, though statistically significant, contribute only 5.26% and 13.50%, respectively, to the overall variation. The quadratic effect of aging temperature (T2), with a p-value of 0.081, is insignificant, meaning it has little effect on the corrosion current density. Similarly, the error term contributes only 0.02%, further indicating that the model fits well.
On the other hand, the passive film resistance is influenced mainly by the aging time (A), with a percentage of 65.92% and a significant p-value of 0.006 < 0.05, and the speed (V), with a percentage of 19.79%, as well as by the other parameters with a percentage of 14.29%. The remaining parameters, which include factors like P, T, and their interactions, contribute a smaller percentage of 14.29% to the overall variation in passive film resistance. This suggests that aging time and laser speed play a dominant role in determining Rf, while the other factors have a lesser statistically significant impact.
To estimate the corrosion current density and the polarization resistance as a function of P, V, A, T, and their interactions, the regression Equations (3) and (4) were used. The predictive values obtained were then presented in Table 7. Furthermore, the correlation curves between the predicted (icorr, Rf) and the experimentally measured (icorr, Rf) are plotted in Figure 4. These curves show that the points are grouped around a straight line.
i c o r r = 649.4 1.5963   P 0.8000   V + 0.03652   A 0.6886   T + 0.000523   V 2 + 0.000162   T 2 + 0.002724   P T
R f = 223157 + 1065.82   P + 43.13   V 103.69   A + 425.27   T + 0.17477   A 2 1.8968   P T 0.07881   V T
The residual value squared (R2) represents the percentage of variation in the model’s predictions relative to the response variable. A higher R2 value indicates a better fit of the model to the data. The R2 for corrosion current density is 99.98%, and for the passive film resistance, it is 100%, indicating a high correlation between the model and the experimental data. The adjusted residual value squared (R2adj) indicates the number of independent variables used for predicting the response. The R2adj for corrosion current density is 99.82%, suggesting that only 0.18% of the changes remain unexplained by the regression model. For the passive film resistance, it is 100%, indicating a perfect fit between the model and the data.

3.3. Effect of Process and Heat Treatment Parameters

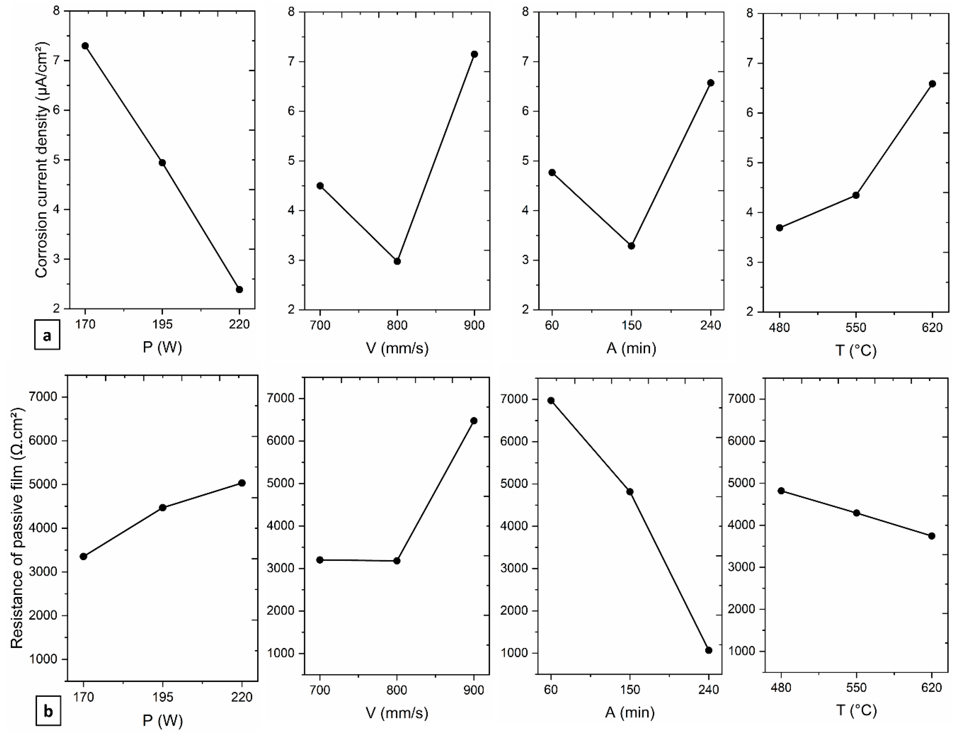
Figure 5a,b show the main effect plots of icorr and Rf. These graphs are used to interpret the effect of each parameter level on corrosion resistance.
It can be observed that increasing the laser power results in a decrease in icorr and an increase in Rf, which is beneficial for corrosion resistance. Irrinki et al. [47] have also confirmed that increasing the energy density by increasing laser power from 150 W to 195 W improves the material density and corrosion resistance of SLM-made 17-4 PH when exposed to a 0.5 M NaCl environment. They emphasized that porosity causes the stagnation of the sodium chloride solution within the part, leading to the breakdown of the passive layer and the initiation of pitting corrosion. Wang et al. [54] reported that increasing the energy density, by increasing laser power to 230 W and decreasing scanning speed to 886 mm·s−1, results in better corrosion resistance of SLM-made 15-5PH SS in a 0.1 M NaCl solution. This improvement was attributed to the absence of manufacturing defects (fractional porosity). They further highlighted that manufacturing defects have a complex influence on pitting corrosion resistance and the stability of the passivation film. Zhang et al. [55] studied the effect of laser power on the corrosion behavior of LPBF-made 316 L stainless steel, demonstrating that higher laser power refines the grain structure, reduces defects like lack of fusion pores, and improves pitting corrosion resistance. This was further supported by optical microscopy images (Figure 1), which show that higher laser power effectively eliminates pores.
In addition, increasing aging temperature results in an increase in icorr and a decrease in Rf, which is detrimental to corrosion resistance. Sarkar et al. [56] reported that the SLM-made 15-5 PH SS samples heat treated at 482 °C for 60 min corroded the least, while the SLM-made specimens corroded the most among all. Moreover, increasing the aging temperature and time led to an increase in the corrosion rate. This increase is attributed to the formation of a higher quantity of Cr23C6 precipitates. Furthermore, Tavakoli Shoushtari [57] who investigated the corrosion behavior of 17-4 PH in 3.5% NaCl by studying the pitting potential, found that raising the aging temperature to 620 °C decreases the pitting potential. This can be explained by differences in the volume fraction of ferrite, morphology, and distribution of copper-rich precipitates, and the amount of reverted austenite. Similarly, Szewczyk-Nykiel and Kazior [58] confirmed that the highest corrosion resistance in dilute sulfuric acid solution (0.5 M H2SO4) is exhibited by 17-4 PH after aging at 480 °C. Pan et al. [48] reported that aging at 482 °C for 60 min improved corrosion resistance and led to the formation of a more protective passive film in a chloride environment (3.5 wt% NaCl) due to various factors, such as the refinement of the microstructure, the formation of reverted austenite, the elimination of δ-ferrite, and the precipitation of Cu-rich particles at the grain boundaries. The same conclusion was reached by Ping et al. [59], where they found that 17-4 PH SS aged at low temperature around 460 °C presented the best erosion-corrosion resistance in dilute sulfuric acid slurry due to the ε-rich fine precipitation.
An increase in aging time from 60 min to 150 min decreased the icorr, suggesting an improvement in corrosion resistance. Consequently, elevating the aging time to 240 min results in an increase in icorr, signifying a reduction in corrosion resistance. The analogous trend was observed by Ghasemian Malakshah et al. [60], who reported that overaging of 17-4 PH SS at 620 °C for 240 min leads to the formation of a significant amount of returned austenite and amplification of the galvanic effect between the two adjacent phases (austenite and martensite). This behavior enhances susceptibility to general corrosion compared to samples aged at 464 °C for 129 min.
The high corrosion resistance of samples heat treated at 480 °C can be attributed to the precipitation of Cu-rich precipitates. Copper is commonly used as an alloying element to enhance the general corrosion resistance of stainless steels. It is enriched at the surface during the anodic dissolution of the alloy, leading to a reduction in its corrosion rate [61]. The 17-4PH contains approximately 3–5 wt.% of copper. The Cu-rich precipitates are generated during specific post-process heat treatments, which can be tailored to change the precipitates’ size, shape, and hardness and the strength of the post-processed components [62]. E. Oguzie et al. [63] reported that the addition of Cu generally improved the corrosion resistance through suppression of the active dissolution. In a similar study by Pan et al. [24], it was reported that the formation of reverted austenite, elimination of δ-ferrite and precipitation of Cu-rich particles at the grain boundaries contributed to an improvement in the pitting corrosion resistance of the heat-treated 17-4 PH samples. Luo et al. [50] emphasized that the pitting corrosion increased with increasing aging time and became more severe after 240 min of aging. They also observed that Cu within the passive film disappeared after this period, which they attributed to the precipitation of Cu-rich nanoparticles in the matrix.
Heat treatment after AM process parameters can have a significant influence on the microstructure and corrosion behavior of precipitation-hardening SS. The heat treatment process results in the formation of a more protective passive film, which leads to improved corrosion and pitting resistance [48]. Stoudt confirmed that after homogenization, the AM samples could be more resistant to pitting than wrought SS17-4 in NaCl environment, and reported that homogenizing at 1150 °C for 120 min followed by solutionizing at 1050 °C for 30 min can eliminate the segregation and produce a uniform microstructure with a volume fraction of austenite of less than 0.1 [9]. Jiang et al. [64] showed that improper peak-aging treatment and phase segregation lead to increased hardness and susceptibility to high hydrogen embrittlement (HE) in 17-4PH SS, resulting in the failure of the valve stem 29 manufactured from this material and used in a petrochemical pipeline. The increase in aging temperature and soaking time does not have a significant effect on various mechanical properties, but it does have a negative impact on corrosion properties. To ensure homogeneity in microstructure, it is advisable to perform solution annealing before aging. Corrosion was observed to be the least in samples subjected to the H900 aging heat treatment, while the highest corrosion levels were observed in the as-built SLM specimens. The reason for the higher corrosion rate at higher aging temperatures and longer soaking times is attributed to the formation of more Cr23C6 precipitates [56]. The presence of copper-rich precipitates (CRPs) is crucial for enhancing the material’s strength. However, when the aging temperature surpasses 560 °C, the structural changes and enlargement of CRPs can cause a swift decline in strength and hardness. Furthermore, the corrosion performance is also affected adversely [65].

4. Conclusions

By employing the Taguchi method and statistical analysis of variance, this study reveals the effect of SLM and heat treatment parameters (laser power, scanning speed, aging time, aging temperature) on the corrosion resistance (corrosion current density, passive film resistance) of 17-4 PH in 3.5 wt% NaCl solution. Notably, optimal corrosion resistance is achieved under the following conditions: a laser power of 220 W, a scanning speed ranging between 800 and 900 mm·s−1, an aging time between 60 and 150 min, and an aging temperature of 480 °C. The most significant effect is found for laser power and aging temperature where the decrease in laser power and the increase in aging temperature lead to a decrease in corrosion resistance, as indicated by the higher corrosion current density and lower passive film resistance. However, a decrease in laser power leads to lower energy density, resulting in microstructural defects, while an increase in aging temperature leads to the coarsening of copper precipitates, which degrades corrosion resistance. By using a multiple linear regression, empirical predictive models were proposed to predict the electrochemical properties of SLM-made 17-4 PH. The results demonstrate that the models closely approximate the experimental values, achieving correlations close to 100%.

Author Contributions

A.K.: Conceptualization, Methodology, Investigation, Formal Analysis, Writing—Original Draft. A.T.: Methodology, Formal Analysis, Writing—Reviewing and Editing. H.H.: Formal Analysis, Co-supervision, Writing—Review and Editing. N.B.: Conceptualization, Methodology, Validation, Formal Analysis, Writing—Reviewing and Editing, Supervision, Funding Acquisition. All authors have read and agreed to the published version of the manuscript.

Funding

The authors acknowledge the Natural Sciences and Engineering Research Council of Canada (NSERC) for their support via Discovery Grants: RGPIN-2022-04796 (N.B.) and RGPIN-2023-03884 (H.H.).

Data Availability Statement

The raw data supporting the conclusions of this article will be made available by the authors on request.

Conflicts of Interest

The authors declare no conflicts of interest.

References

  1. Bajaj, P.; Hariharan, A.; Kini, A.; Kürnsteiner, P.; Raabe, D.; Jägle, E.A. Steels in additive manufacturing: A review of their microstructure and properties. Mater. Sci. Eng. A 2020, 772, 138633. [Google Scholar] [CrossRef]
  2. Coseglio, M.S.D.R. Sulphide stress cracking of 17-4 PH for applications in oilfield components. Mater. Sci. Technol. 2017, 33, 1863–1878. [Google Scholar] [CrossRef]
  3. Arisoy, C.F.; Başman, G.; Şeşen, M.K. Failure of a 17-4 PH stainless steel sailboat propeller shaft. Eng. Fail. Anal. 2003, 10, 711–717. [Google Scholar] [CrossRef]
  4. Fantechi, F.; Innocenti, M. Chloride stress corrosion cracking of precipitation hardening S.S. impellers in centrifugal compressor. Laboratory investigations and corrective actions. Eng. Fail. Anal. 2001, 8, 477–492. [Google Scholar]
  5. Wang, J.; Zou, H.; Li, C.; Qiu, S.-Y.; Shen, B.-L. The effect of microstructural evolution on hardening behavior of type 17-4PH stainless steel in long-term aging at 350 °C. Mater. Charact. 2006, 57, 274–280. [Google Scholar] [CrossRef]
  6. Kovacs, S.E.; Miko, T.; Troiani, E.; Markatos, D.; Petho, D.; Gergely, G.; Varga, L.; Gacsi, Z. Additive Manufacturing of 17-4PH Alloy: Tailoring the Printing Orientation for Enhanced Aerospace Application Performance. Aerospace 2023, 10, 619. [Google Scholar] [CrossRef]
  7. Garcia-Cabezon, C.; Hernández, C.G.; Castro-Sastre, M.A.; Fernandez-Abia, A.I.; Rodriguez-Mendez, M.L.; Martin-Pedrosa, F. Heat treatments of 17-4 PH SS processed by SLM to improve its strength and biocompatibility in biomedical applications. J. Mater. Res. Technol. 2023, 26, 3524–3543. [Google Scholar] [CrossRef]
  8. Forest, I.-S. The corrosion resistance of nickel-containing alloys in sulfuric acid and related compounds. INCO Int. Nickel Co. 1983, 1, 51–82. [Google Scholar]
  9. Stoudt, M.R.; Ricker, R.E.; Lass, E.A.; Levine, L.E. The Influence of Post-Build Microstructure on the Electrochemical Behavior of Additively Manufactured 17-4 PH Stainless Steel. JOM 2017, 69, 506–515. [Google Scholar] [CrossRef]
  10. Alnajjar, M.; Christien, F.; Barnier, V.; Bosch, C.; Wolski, K.; Fortes, A.D.; Telling, M. Influence of microstructure and manganese sulfides on corrosion resistance of selective laser melted 17-4 PH stainless steel in acidic chloride medium. Corros. Sci. 2020, 168, 108585. [Google Scholar] [CrossRef]
  11. Schaller, R.F.; Taylor, J.M.; Rodelas, J.; Schindelholz, E.J. Corrosion Properties of Powder Bed Fusion Additively Manufactured 17-4 PH Stainless Steel. Corrosion 2017, 73, 796–807. [Google Scholar] [CrossRef] [PubMed]
  12. Sun, Y.; Moroz, A.; Alrbaey, K. Sliding Wear Characteristics and Corrosion Behaviour of Selective Laser Melted 316L Stainless Steel. J. Mater. Eng. Perform. 2013, 23, 518–526. [Google Scholar] [CrossRef]
  13. Huang, L.; Cao, Y.; Zhao, H.; Li, Y.; Wang, Y.; Wei, L. Effect of process parameters on density and mechanical behaviour of a selective laser melted 17-4PH stainless steel alloy. Open Phys. 2022, 20, 66–77. [Google Scholar] [CrossRef]
  14. Ponnusamy, P.; Sharma, B.; Masood, S.H.; Rashid, R.A.R.; Rashid, R.; Palanisamy, S.; Ruan, D. A study of tensile behavior of SLM processed 17-4 PH stainless steel. Mater. Today: Proc. 2021, 45, 4531–4534. [Google Scholar] [CrossRef]
  15. Garcia-Cabezon, C.; Castro-Sastre, M.A.; Fernandez-Abia, A.I.; Rodriguez-Mendez, M.L.; Martin-Pedrosa, F. Microstructure–Hardness–Corrosion Performance of 17–4 Precipitation Hardening Stainless Steels Processed by Selective Laser Melting in Comparison with Commercial Alloy. Met. Mater. Int. 2022, 28, 2652–2667. [Google Scholar] [CrossRef]
  16. Yeon, S.-M.; Yoon, J.; Kim, T.B.; Lee, S.H.; Jun, T.-S.; Son, Y.; Choi, K. Normalizing Effect of Heat Treatment Processing on 17-4 PH Stainless Steel Manufactured by Powder Bed Fusion. Metals 2022, 12, 704. [Google Scholar] [CrossRef]
  17. Gu, H.; Gong, H.-J.; Pal, D.; Rafi, K.; Starr, T.L.; Stucker, B.E. Influences of Energy Density on Porosity and Microstructure of Selective Laser Melted 17-4PH Stainless Steel; University of Texas at Austin: Austin, TX, USA, 2013. [Google Scholar]
  18. Mason, R.L.; Gunst, R.F.; Hess, J.L. Statistical Design and Analysis of Experiments: With Applications to Engineering and Science; John Wiley & Sons: Hoboken, NJ, USA, 2003. [Google Scholar]
  19. Nezhadfar, P.D.; Shrestha, R.; Phan, N.; Shamsaei, N. Fatigue behavior of additively manufactured 17-4 PH stainless steel: Synergistic effects of surface roughness and heat treatment. Int. J. Fatigue 2019, 124, 188–204. [Google Scholar] [CrossRef]
  20. Eskandari, H.; Lashgari, H.R.; Ye, L.; Eizadjou, M.; Wang, H. Microstructural characterization and mechanical properties of additively manufactured 17–4PH stainless steel. Mater. Today Commun. 2022, 30, 103075. [Google Scholar] [CrossRef]
  21. Hu, Z.; Zhu, H.; Zhang, H.; Zeng, X. Experimental investigation on selective laser melting of 17-4PH stainless steel. Opt. Laser Technol. 2017, 87, 17–25. [Google Scholar] [CrossRef]
  22. Hsu, T.-H.; Chang, Y.-J.; Huang, C.-Y.; Yen, H.-W.; Chen, C.-P.; Jen, K.-K.; Yeh, A.-C. Microstructure and property of a selective laser melting process induced oxide dispersion strengthened 17-4 PH stainless steel. J. Alloys Compd. 2019, 803, 30–41. [Google Scholar] [CrossRef]
  23. Murr, L.E.; Martinez, E.; Hernandez, J.; Collins, S.; Amato, K.N.; Gaytan, S.M.; Shindo, P.W. Microstructures and Properties of 17-4 PH Stainless Steel Fabricated by Selective Laser Melting. J. Mater. Res. Technol. 2012, 1, 167–177. [Google Scholar] [CrossRef]
  24. Akita, M.; Uematsu, Y.; Kakiuchi, T.; Nakajima, M.; Kawaguchi, R. Defect-dominated fatigue behavior in type 630 stainless steel fabricated by selective laser melting. Mater. Sci. Eng. A 2016, 666, 19–26. [Google Scholar] [CrossRef]
  25. Mahmoudi, M.; Elwany, A.; Yadollahi, A.; Thompson, S.M.; Bian, L.; Shamsaei, N. Mechanical properties and microstructural characterization of selective laser melted 17-4 PH stainless steel. Rapid Prototyp. J. 2017, 23, 280–294. [Google Scholar] [CrossRef]
  26. Auguste, P.; Mauduit, A.; Fouquet, L.; Pillot, S. Study on 17-4 PH stainless steel produced by selective laser melting. UPB Sci. Bull. Ser. B Chem. Mater. Sci. 2018, 80, 197–210. [Google Scholar]
  27. Pasebani, S.; Ghayoor, M.; Badwe, S.; Irrinki, H.; Atre, S.V. Effects of atomizing media and post processing on mechanical properties of 17-4 PH stainless steel manufactured via selective laser melting. Addit. Manuf. 2018, 22, 127–137. [Google Scholar] [CrossRef]
  28. Rafi, H.K.; Pal, D.; Patil, N.; Starr, T.L.; Stucker, B.E. Microstructure and Mechanical Behavior of 17-4 Precipitation Hardenable Steel Processed by Selective Laser Melting. J. Mater. Eng. Perform. 2014, 23, 4421–4428. [Google Scholar] [CrossRef]
  29. Yadollahi, A.; Shamsaei, N.; Thompson, S.M.; Elwany, A.; Bian, L. Effects of building orientation and heat treatment on fatigue behavior of selective laser melted 17-4 PH stainless steel. Int. J. Fatigue 2017, 94, 218–235. [Google Scholar] [CrossRef]
  30. Strasser, T. Comparison of Additively Manufactured and Wrought 17-4 PH Stainless Steels in Ultra Low Cycle Fatigue; University of Arkansas: Fayetteville, NC, USA, 2020. [Google Scholar]
  31. Li, K.; Zhan, J.; Yang, T.; To, A.C.; Tan, S.; Tang, Q.; Cao, H.; Murr, L.E. Homogenization timing effect on microstructure and precipitation strengthening of 17–4PH stainless steel fabricated by laser powder bed fusion. Addit. Manuf. 2022, 52, 102672. [Google Scholar] [CrossRef]
  32. Sabooni, S.; Chabok, A.; Feng, S.C.; Blaauw, H.; Pijper, T.C.; Yang, H.J.; Pei, Y.T. Laser powder bed fusion of 17–4 PH stainless steel: A comparative study on the effect of heat treatment on the microstructure evolution and mechanical properties. Addit. Manuf. 2021, 46, 102176. [Google Scholar] [CrossRef]
  33. LeBrun, T.; Nakamoto, T.; Horikawa, K.; Kobayashi, H. Effect of retained austenite on subsequent thermal processing and resultant mechanical properties of selective laser melted 17-4 PH stainless steel. Mater. Des. 2015, 81, 44–53. [Google Scholar] [CrossRef]
  34. Nezhadfar, P.; Masoomi, M.; Thompson, S.; Phan, N.; Shamsaei, N. Mechanical Properties of 17-4 PH Stainless Steel Additively Manufactured under Ar and N2 Shielding Gas. In Proceedings of the 29th Annual International Solid Freeform Fabrication Symposium—An Additive Manufacturing Conference, Austin, TX, USA, 13–15 August 2018. [Google Scholar]
  35. Alfieri, V.; Giannella, V.; Caiazzo, F.; Sepe, R. Influence of position and building orientation on the static properties of LPBF specimens in 17-4 PH stainless steel. Forces Mech. 2022, 8, 100108. [Google Scholar] [CrossRef]
  36. Sun, Y.; Hebert, R.J.; Aindow, M. Effect of heat treatments on microstructural evolution of additively manufactured and wrought 17-4PH stainless steel. Mater. Des. 2018, 156, 429–440. [Google Scholar] [CrossRef]
  37. Irrinki, H.; Jangam, J.S.D.; Pasebani, S.; Badwe, S.; Stitzel, J.; Kate, K.; Gulsoy, O.; Atre, S.V. Effects of particle characteristics on the microstructure and mechanical properties of 17-4 PH stainless steel fabricated by laser-powder bed fusion. Powder Technol. 2018, 331, 192–203. [Google Scholar] [CrossRef]
  38. Montgomery, D.C. Design and Analysis of Experiments; John Wiley & Sons: Hoboken, NJ, USA, 2017. [Google Scholar]
  39. Tan, J.H.; Wong, W.L.E.; Dalgarno, K.W. An overview of powder granulometry on feedstock and part performance in the selective laser melting process. Addit. Manuf. 2017, 18, 228–255. [Google Scholar] [CrossRef]
  40. Xie, D.; Lv, F.; Yang, Y.; Shen, L.; Tian, Z.; Shuai, C.; Chen, B.; Zhao, J. A Review on Distortion and Residual Stress in Additive Manufacturing. Chin. J. Mech. Eng. Addit. Manuf. Front. 2022, 1, 100039. [Google Scholar] [CrossRef]
  41. De Baere, D.; Van Cauwenbergh, P.; Bayat, M.; Mohanty, S.; Thorborg, J.; Thijs, L.; Van Hooreweder, B.; Vanmeensel, K.; Hattel, J.H. Thermo-mechanical modelling of stress relief heat treatments after laser-based powder bed fusion. Addit. Manuf. 2021, 38, 101818. [Google Scholar] [CrossRef]
  42. Facchini, L.; Vicente, N.; Lonardelli, I.; Magalini, E.; Pierfrancesco, R.; Molinari, A. Metastable Austenite in 17–4 Precipitation-Hardening Stainless Steel Produced by Selective Laser Melting. Adv. Eng. Mater. 2010, 12, 184–188. [Google Scholar] [CrossRef]
  43. Kurzynowski, T.; Gruber, K.; Stopyra, W.; Kuźnicka, B.; Chlebus, E. Correlation between process parameters, microstructure and properties of 316 L stainless steel processed by selective laser melting. Mater. Sci. Eng. A 2018, 718, 64–73. [Google Scholar] [CrossRef]
  44. Bodner, S.C.; van de Vorst, L.T.G.; Zalesak, J.; Todt, J.; Keckes, J.F.; Maier-Kiener, V.; Sartory, B.; Schell, N.; Hooijmans, J.W.; Saurwalt, J.J.; et al. Inconel-steel multilayers by liquid dispersed metal powder bed fusion: Microstructure, residual stress and property gradients. Addit. Manuf. 2020, 32, 101027. [Google Scholar] [CrossRef]
  45. Nezhadfar, P.D.; Gradl, P.R.; Shao, S.; Shamsaei, N. Microstructure and Deformation Behavior of Additively Manufactured 17–4 Stainless Steel: Laser Powder Bed Fusion vs. Laser Powder Directed Energy Deposition. JOM 2022, 74, 1136–1148. [Google Scholar] [CrossRef]
  46. Riemer, A.; Leuders, S.; Thöne, M.; Richard, H.A.; Tröster, T.; Niendorf, T. On the fatigue crack growth behavior in 316L stainless steel manufactured by selective laser melting. Eng. Fract. Mech. 2014, 120, 15–25. [Google Scholar] [CrossRef]
  47. Irrinki, H.; Harper, T.; Badwe, S.; Stitzel, J.; Gulsoy, O.; Gupta, G.; Atre, S.V. Effects of powder characteristics and processing conditions on the corrosion performance of 17-4 PH stainless steel fabricated by laser-powder bed fusion. Prog. Addit. Manuf. 2018, 3, 39–49. [Google Scholar] [CrossRef]
  48. Pan, L.; Kwok, C.T.; Niu, B.; Huang, X.; Cao, Y.; Zou, X.; Yi, J. Enhancement in hardness and corrosion resistance of directed energy deposited 17–4 PH martensitic stainless steel via heat treatment. J. Mater. Res. Technol. 2023, 23, 1296–1311. [Google Scholar] [CrossRef]
  49. Suryawanshi, J.; Baskaran, T.; Prakash, O.; Arya, S.B.; Ramamurty, U. On the corrosion resistance of some selective laser melted alloys. Materialia 2018, 3, 153–161. [Google Scholar] [CrossRef]
  50. Luo, H.; Yu, Q.; Dong, C.; Sha, G.; Liu, Z.; Liang, J.; Wang, L.; Han, G.; Li, X. Influence of the aging time on the microstructure and electrochemical behaviour of a 15-5PH ultra-high strength stainless steel. Corros. Sci. 2018, 139, 185–196. [Google Scholar] [CrossRef]
  51. Tanji, A.; Fan, X.; Sakidja, R.; Liaw, P.K.; Hermawan, H. Niobium addition improves the corrosion resistance of TiHfZrNbx high-entropy alloys in Hanks’ solution. Electrochim. Acta 2022, 424, 140651. [Google Scholar] [CrossRef]
  52. Wang, X.; Luo, H.; Zhao, Q.; Cheng, H.; Li, Q.; Pan, Z.; Wei, Y.; Ma, Y.; Li, X. Investigations on the passive and pitting behaviors of 17–4 PH martensitic stainless steel containing Al2O3 inclusions in chlorine environment. Colloids Surf. A: Physicochem. Eng. Asp. 2023, 660, 130861. [Google Scholar] [CrossRef]
  53. Jorcin, J.-B.; Orazem, M.E.; Pébère, N.; Tribollet, B. CPE analysis by local electrochemical impedance spectroscopy. Electrochim. Acta 2006, 51, 1473–1479. [Google Scholar] [CrossRef]
  54. Wang, L.; Dong, C.; Kong, D.; Man, C.; Liang, J.; Wang, C.; Xiao, K.; Li, X. Effect of Manufacturing Parameters on the Mechanical and Corrosion Behavior of Selective Laser-Melted 15-5PH Stainless Steel. Steel Res. Int. 2020, 91, 1900447. [Google Scholar] [CrossRef]
  55. Zhang, A.; Wu, W.; Wu, M.; Liu, Y.; Zhang, Y.; Wang, Q. Influence of laser power on mechanical properties and pitting corrosion behavior of additively manufactured 316L stainless steel by laser powder bed fusion (L-PBF). Opt. Laser Technol. 2024, 176, 110886. [Google Scholar] [CrossRef]
  56. Sarkar, S.; Mukherjee, S.; Kumar, C.S.; Nath, A.K. Effects of heat treatment on microstructure, mechanical and corrosion properties of 15-5 PH stainless steel parts built by selective laser melting process. J. Manuf. Process. 2020, 50, 279–294. [Google Scholar] [CrossRef]
  57. Tavakoli Shoushtari, M. Effect of ageing heat treatment on corrosion behaviorof 17-4 PH stainless steel in 3.5% NaCl. Int. J. Iron Steel Soc. Iran 2010, 7, 33–36. [Google Scholar]
  58. Szewczyk-Nykiel, A.; Kazior, J. Effect of Aging Temperature on Corrosion Behavior of Sintered 17-4 PH Stainless Steel in Dilute Sulfuric Acid Solution. J. Mater. Eng. Perform. 2017, 26, 3450–3456. [Google Scholar] [CrossRef]
  59. Li, P.; Cai, Q.-Z.; Wei, B.-K.; Zhang, X.-Z. Effect of Aging Temperature on Erosion-Corrosion Behavior of 17-4PH Stainless Steels in Dilute Sulphuric Acid Slurry. J. Iron Steel Res. Int. 2006, 13, 73–78. [Google Scholar] [CrossRef]
  60. Malakshah, M.G.; Eslami, A.; Ashrafizadeh, F.; Berenjkoub, A. Effect of Heat Treatment on Corrosion, Fatigue, and Corrosion Fatigue Behavior of 17-4PH Stainless Steel. J. Mater. Eng. Perform. 2023, 32, 6610–6621. [Google Scholar] [CrossRef]
  61. Sourisseau, T.; Chauveau, E.; Baroux, B. Mechanism of copper action on pitting phenomena observed on stainless steels in chloride media. Corros. Sci. 2005, 47, 1097–1117. [Google Scholar] [CrossRef]
  62. Pellegrini, A.; Lavecchia, F.; Guerra, M.G.; Galantucci, L.M. Influence of aging treatments on 17–4 PH stainless steel parts realized using material extrusion additive manufacturing technologies. Int. J. Adv. Manuf. Technol. 2023, 126, 163–178. [Google Scholar] [CrossRef]
  63. Oguzie, E.E.; Li, J.; Liu, Y.; Chen, D.; Li, Y.; Yang, K.; Wang, F. The effect of Cu addition on the electrochemical corrosion and passivation behavior of stainless steels. Electrochim. Acta 2010, 55, 5028–5035. [Google Scholar] [CrossRef]
  64. Jiang, T.; Zhong, J.; Zhang, X.; Wang, W.; Guan, K. Hydrogen embrittlement induced fracture of 17-4 PH stainless steel valve stem. Eng. Fail. Anal. 2020, 113, 104576. [Google Scholar] [CrossRef]
  65. Chen, W.; Xu, L.; Hao, K.; Zhang, Y.; Zhao, L.; Han, Y.; Liu, Z.; Cai, H. Effect of heat treatment on microstructure and performances of additively manufactured 15-5PH stainless steel. Opt. Laser Technol. 2023, 157, 108711. [Google Scholar] [CrossRef]
Figure 1. Optical micrographs before and after corrosion for the different process parameters of (ai) sample number 1 to 9, respectively.
Figure 1. Optical micrographs before and after corrosion for the different process parameters of (ai) sample number 1 to 9, respectively.
Metals 15 00232 g001
Figure 2. Results of electrochemical tests on SLM-made 17-4 PH samples: (ac) OCP curves, (df) CPP curves.
Figure 2. Results of electrochemical tests on SLM-made 17-4 PH samples: (ac) OCP curves, (df) CPP curves.
Metals 15 00232 g002
Figure 3. Results of EIS tests on SLM-made 17-4 PH samples: (ac) Bode plots, (df) Nyquist plots, and (g) a proposed equivalent electrical circuit model.
Figure 3. Results of EIS tests on SLM-made 17-4 PH samples: (ac) Bode plots, (df) Nyquist plots, and (g) a proposed equivalent electrical circuit model.
Metals 15 00232 g003
Figure 4. Correlation curves for measured and predictive (a) corrosion current density and (b) passive film resistance.
Figure 4. Correlation curves for measured and predictive (a) corrosion current density and (b) passive film resistance.
Metals 15 00232 g004
Figure 5. Main effect plot on (a) corrosion current density, (b) passive film resistance.
Figure 5. Main effect plot on (a) corrosion current density, (b) passive film resistance.
Metals 15 00232 g005
Table 1. Factor and level of experimental design.
Table 1. Factor and level of experimental design.
FactorCodeUnitLevel
123
Laser powerPW170195220
Scanning speedVmm·s−1700800900
Aging timeAmin60150240
Aging temperatureT°C480550620
Table 2. Chemical composition (wt. %) of as-received 17-4 PH powders.
Table 2. Chemical composition (wt. %) of as-received 17-4 PH powders.
CMnPSSiCrNiCuFe
-0.06-0.060.1617.323.963.34Bal.
Table 3. L9 orthogonal matrix and electrochemical results of SLM-made 17-4 PH samples for the different process parameters.
Table 3. L9 orthogonal matrix and electrochemical results of SLM-made 17-4 PH samples for the different process parameters.
Sample NumberFactorsResponses
P (W)V (mm·s−1)A (min)T (°C)E (J·mm−3)EOCP (mVSCE)Ecorr (mVSCE)icorr (µA·cm−2)
11707006048060.7−192.8 ± 8.5−336.5 ± 9.65.6 ± 0.4
217080015055053.1−350.8 ± 29.6−395.8 ± 16.53.3 ± 0.7
317090024062047.2−233.6 ± 65.1−360.8 ± 41.413.0 ± 3.4
419570015062069.6−325.1 ± 2.8−413.6 ± 3.24.7 ± 0.6
519580024048060.9−364.9 ± 34.7−407.0 ± 16.23.6 ± 1.1
61959006055054.2−190.8 ± 23.0−308.6 ± 19.56.6 ± 0.3
722070024055078.6−337.6 ± 29.0−388.2 ± 17.03.2 ± 0.2
82208006062068.8−263.2 ± 37.1−328.0 ± 18.82.1 ± 0.5
922090015048061.1−217.6 ± 35.1−372.5 ± 13.91.9 ± 0.5
Table 4. Fitted electrochemical parameters from EIS data of the SLM-made 17-4 PH samples.
Table 4. Fitted electrochemical parameters from EIS data of the SLM-made 17-4 PH samples.
Sample NumberFactorsResponses
P (W)V (mm·s−1)A (min)T (°C)Rs (Ω·cm2)CPEf (×10−6 F.s(n−1))n1Rf
(Ω·cm2)
CPEdl (×10−6 F·s(n−1))n2Rct
(Ω·cm2)
Rp
(Ω·cm2)
1170700604806.410000.6854903000.00.504629.610,120
21708001505504.42500.762784500.00.586771.69556
31709002406207.120000.5017857500.00.871172.52958
41957001506206.61650.5833751000.00.674016.37391
51958002404807.41000.85677110.00.333522.84199
6195900605506.57000.4793560.10.603485.812,841
72207002405506.41000.787371.00.605807.96545
8220800606206.23500.686075400.00.789109.115,184
92209001504806.21000.608288600.00.907588.415,876
Table 5. Contribution of parameters on corrosion current density.
Table 5. Contribution of parameters on corrosion current density.
SourceDFSum of SquaresContribution (%)Adj SSAdj MSF-Valuep-Value
P136.1638.8812.8812.88623.120.025
V110.5311.3226.5926.591286.350.018
A14.905.2616.2016.20783.820.023
T112.5613.509.479.47458.120.030
V*V116.2317.4427.3727.371324.020.017
T*T11.261.351.261.2660.890.081
P*T111.3612.2111.3611.36549.560.027
Error10.020.020.020.021
Total893.02100.00
R-squared = 99.98%R-squared (Adj) = 99.82%
Note: DF = degrees of freedom; Adj SS = adjusted sum of squares; Adj MS = adjusted mean squares.
Table 6. Contribution of parameters on passive film resistance.
Table 6. Contribution of parameters on passive film resistance.
SourceDFSum of SquaresContribution (%)Adj SSAdj MSF-Valuep-Value
P142339705.215719420571942024396.780.004
V11609138519.79149817149817639.060.025
A15234429064.36233272023327209950.460.006
T117269942.123546847354684715129.440.005
A*A112665211.566679936679932849.390.012
P*T155093636.775509363550936323500.760.004
V*T11521720.19152172152172649.100.025
Error12340.00234234
Total881324928100.00
R-squared = 100%R-squared (Adj) = 100%
Table 7. Measured and predicted corrosion current density and passive film resistance.
Table 7. Measured and predicted corrosion current density and passive film resistance.
Sample NumberMeasured icorr
(µA·cm−2)
Predicted icorr
(µA·cm−2)
Measured Rf
(Ω·cm2)
Predicted Rf
(Ω·cm2)
15.635.575490.05501.7
23.283.202784.42786.5
312.9812.871785.01799.3
44.694.543375.03388.5
53.563.37676.5689.1
66.586.379355.59358.4
73.183.13737.1739.4
82.092.026075.06089.3
91.891.778287.58300.8
Disclaimer/Publisher’s Note: The statements, opinions and data contained in all publications are solely those of the individual author(s) and contributor(s) and not of MDPI and/or the editor(s). MDPI and/or the editor(s) disclaim responsibility for any injury to people or property resulting from any ideas, methods, instructions or products referred to in the content.

Share and Cite

MDPI and ACS Style

Kerbout, A.; Tanji, A.; Hermawan, H.; Barka, N. Influence of Selective Laser Melting Process and Heat Treatment Parameters on the Corrosion Resistance of 17-4 Precipitation Hardening Stainless Steel. Metals 2025, 15, 232. https://doi.org/10.3390/met15030232

AMA Style

Kerbout A, Tanji A, Hermawan H, Barka N. Influence of Selective Laser Melting Process and Heat Treatment Parameters on the Corrosion Resistance of 17-4 Precipitation Hardening Stainless Steel. Metals. 2025; 15(3):232. https://doi.org/10.3390/met15030232

Chicago/Turabian Style

Kerbout, Anas, Ayoub Tanji, Hendra Hermawan, and Noureddine Barka. 2025. "Influence of Selective Laser Melting Process and Heat Treatment Parameters on the Corrosion Resistance of 17-4 Precipitation Hardening Stainless Steel" Metals 15, no. 3: 232. https://doi.org/10.3390/met15030232

APA Style

Kerbout, A., Tanji, A., Hermawan, H., & Barka, N. (2025). Influence of Selective Laser Melting Process and Heat Treatment Parameters on the Corrosion Resistance of 17-4 Precipitation Hardening Stainless Steel. Metals, 15(3), 232. https://doi.org/10.3390/met15030232

Note that from the first issue of 2016, this journal uses article numbers instead of page numbers. See further details here.

Article Metrics

Back to TopTop