Advanced EIS-Based Sensor for Online Corrosion and Scaling Monitoring in Pipelines of Geothermal Power Plants
Abstract
1. Introduction
2. Materials and Methods
2.1. Geothermal Brine and Operating Conditions of the Plant
2.2. Metal Substrate
2.3. Corrosion Monitoring System Design
2.4. Electrochemical Impedance Spectroscopy Measurements (EIS)
3. Results
3.1. Assembling, Installation, and Start-Up of the Corrosion Monitoring System
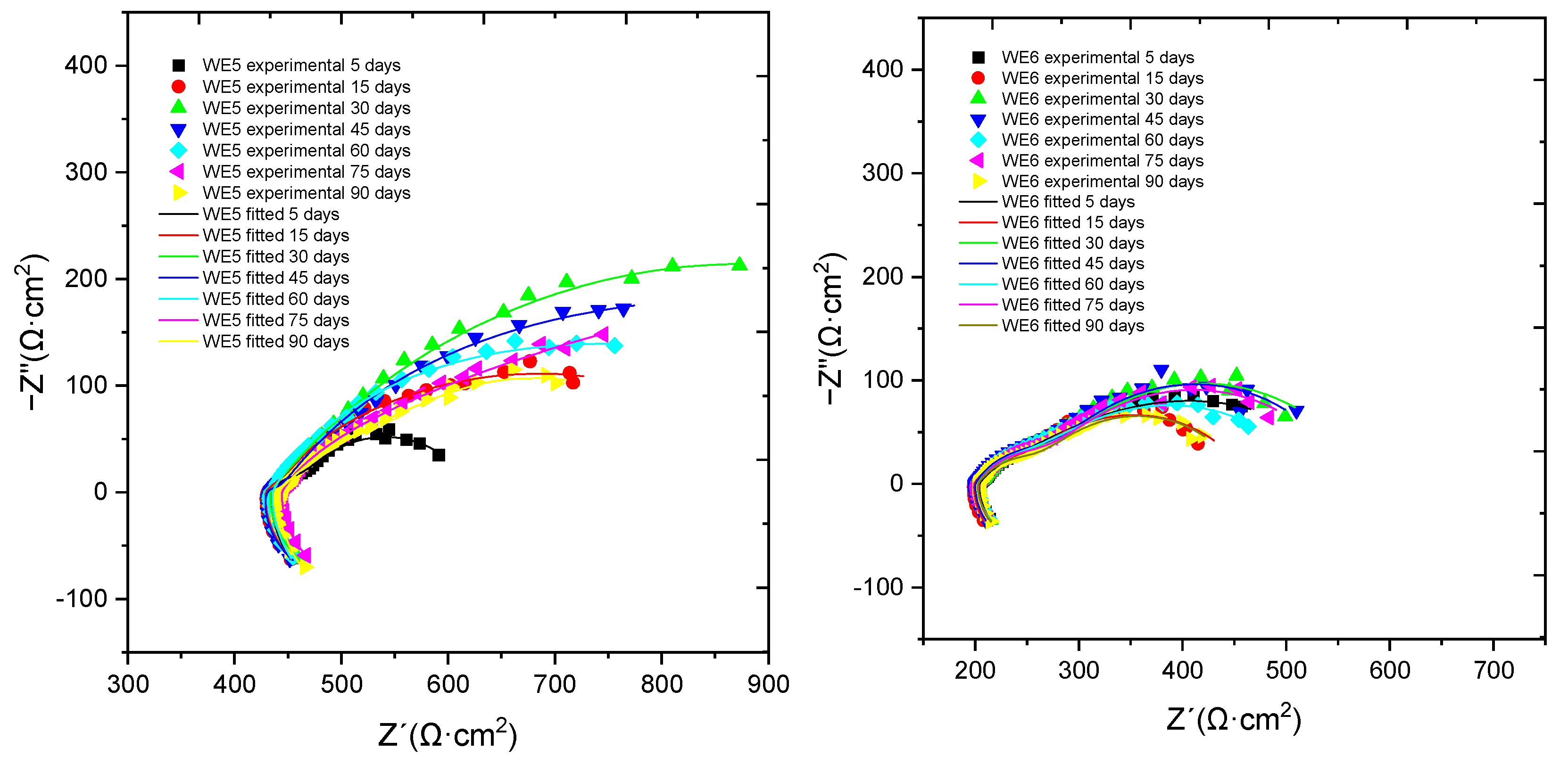
3.2. EIS Measurements
4. Conclusions
Author Contributions
Funding
Data Availability Statement
Conflicts of Interest
References
- Statista. Available online: https://www.statista.com/statistics/495576/geothermal-installed-capacity-worldwide-by-region-forecast/ (accessed on 20 February 2024).
- Hassan, M.; Farh, H.; El Amine, M.; Seghier, B.; Taiwon, R.; Zayed, T. Analysis and ranking of corrosion causes for water pipelines: A critical review. Clean Water 2023, 6, 65. [Google Scholar]
- Khasani, K.; Kusmono, K.; Utami, P.; Budiarto, R. Corrosion in geothermal facilities: Their causes, effects, mitigation and worldwide cases. AIP Conf. Proc. 2021, 2338, 020007. [Google Scholar]
- Penot, C.; Martelo, D.; Paul, S. Corrosion and scaling in geothermal heat exchangers. Appl. Sci. 2003, 13, 11549. [Google Scholar] [CrossRef]
- Thomas, R. Titanium in the geothermal industry. Geothermics 2003, 32, 670–687. [Google Scholar] [CrossRef]
- Geothermal Emission Control, GA Number 818169. Available online: https://geco-h2020.eu/ (accessed on 20 February 2024).
- Bubenik, T. Electromagnetic Methods for Detecting Corrosion in Underground Pipelines: Magnetic Flux Leakage. In Underground Pipeline Corrosion; Woodhead Publishing: Cambridge, UK, 2014; pp. 215–226. [Google Scholar]
- Ishkov, A.V.; Dmitriev, S.F.; Katasonov, A.O.; Fadeev, D.A.; Malikov, V.N. Inspection of corrosion defects of steel pipes by eddy current method. J. Phys. Conf. Ser. 2021, 1728, 012006. [Google Scholar] [CrossRef]
- May, Z.; Alam, M.K.; Nayan, N.A. Recent Advances in Nondestructive Method and Assessment of Corrosion Undercoating in Carbon–Steel Pipelines. Sensors 2022, 22, 6654. [Google Scholar] [CrossRef]
- Komary, M.; Komarizadehas, S.; Tošić, N.; Pérez, I.S.; Turmo, J. Low-cost technologies used in corrosion monitoring. Sensors 2023, 23, 1309. [Google Scholar] [CrossRef]
- Shin, D.-H.; Hwang, H.-K.; Kim, H.-H.; Lee, J.-H. Evaluation of commercial sensors for real time monitoring of pipe wall thickness under various operational conditions. Sensors 2022, 22, 7562. [Google Scholar] [CrossRef]
- Foorginezhad, S.; Mohseni-Dargah, M.; Firoozirad, K.; Aryai, V.; Razmjoue, A.; Abbassi, R.; Garaniya, V.; Beheshti, A.; Asadni, M. Recent Advances in Sensing and Assessment of Corrosion in Sewage Pipelines. Process Saf. Environ. Prot. 2021, 147, 192–213. [Google Scholar] [CrossRef]
- Wright, R.F.; Lu, P.; Lu, F.; Ziomek-Moroz, M.; Ohodnicki, P.R., Jr. Corrosion sensors for structural health monitoring of oil and natural gas infrastructure: A review. Sensors 2019, 19, 3964. [Google Scholar] [CrossRef]
- Goldaran, R.; Turer, A. Application of acoustic emission for damage classification and assessment of corrosion in pre-stressed concrete pipes. Measurement 2020, 160, 107855. [Google Scholar] [CrossRef]
- Calabrese, L.; Proverbio, E. A Review on the Applications of Acoustic Emission Technique in the Study of Stress Corrosion Cracking. Corros. Mater. Degrad. 2021, 2, 1–30. [Google Scholar] [CrossRef]
- Tan, X.; Fan, L.; Huang, Y.; Bao, Y. Detection, visualization, quantification, and warning of pipe corrosion using distributed fiber optic sensors. Autom. Constr. 2021, 132, 103953. [Google Scholar]
- Raju, B.; Kumar, R.; Dhanalakshmi, S.; Dooly, G.; Duraibabu, D.B. Review of Fiber Optical Sensors and Its Importance in Sewer Corrosion Factor Analysis. Chemosensors 2021, 9, 118. [Google Scholar] [CrossRef]
- Frolund, T.; Klinghoffer, O.; Erndahl Sorensen, H. Pro’s and Con’s of Half-Cell Potentials and Corrosion Rate Measurements. In Proceedings of the 10th International Conference on Extending the Life of Bridges, Concrete + Composites, Buildings, Masonry + Civil Structures, London, UK, 1–3 July 2003; ISBN 0-947644-52-0. [Google Scholar]
- Yongjun, T.; Naing, N.A.; Tie, L. Evaluating localized corrosion intensity using the wire beam electrode. Corros. Sci. 2012, 63, 379–386. [Google Scholar]
- Heselmans, J.; Hladky, K.; Holdefer, M.; Wessels, R. New Probe Combines ER, LPR, HDA, Floating B-Constant, Electrochem. Noise & Conductivity, Measurements, CORROSION 2013, Orlando, Florida. March 2013. ISBN: 978-1-62748-145-8. Available online: https://toc.proceedings.com/17841webtoc.pdf (accessed on 20 February 2024).
- Rajendran, V.; Prathuru, A.; Fernández, C.; Faisal, N.H. Corrosion monitoring at the interface using sensors and advanced sensing materials: Methods, challenges and opportunities. Int. J. Corros. Process. Corros. Control. 2023, 58, 281–321. [Google Scholar] [CrossRef]
- Xia, D.-H.; Song, S.-Z.; Behnamian, Y. Detection of corrosion degradation using electrochemical noise (EN): Review of signal processing methods for identifying corrosion forms. Corros. Eng. Sci. Technol. 2016, 51, 527–544. [Google Scholar] [CrossRef]
- Xia, D.-H.; Song, S.; Behnamian, Y.; Hu, W.; Cheng, Y.F.; Luo, J.-L.; Huet, F. Review—Electrochemical Noise Applied in Corrosion Science: Theoretical and Mathematical Models towards Quantitative Analysis. J. Electrochem. Soc. 2020, 167, 081507. [Google Scholar] [CrossRef]
- Hack, H.P.; Scully, J.R. Defect Area Determination of Organic Coated Steels in Seawater Using Breakpoint Frequency Method. J. Electrochem. Soc. 1991, 138, 33. [Google Scholar] [CrossRef]
- Freire, L.; Carmezim, M.J.; Ferreira, M.G.S.; Montemor, M.F. The electrochemical behaviour of stainless steel AISI 304 in alkaline solutions with different pH in the presence of chlorides. Electrochim. Acta 2011, 56, 5280–5289. [Google Scholar] [CrossRef]
- Ura-Binczyk, E.; Dobkowska, A.; Andrzejczuk, M.; Roguska, A.; Mazurkiewicz, B.; Solarski, W.; Balcer, M.; Lewandowska, M.; Banas, J. Application of LPR and EIS techniques for on-site corrosion monitoring at the geothermal plant in Central Poland. J. Mater. Corr. 2021, 1, 11. [Google Scholar]
- Available online: https://www.power-technology.com/projects/hellisheidi-geothermal-power-plant/ (accessed on 20 February 2024).
- Available online: https://www.or.is/en/ (accessed on 20 February 2024).
- Sampedro, J.A.; Rosas, N.; Valdez, B. Corrosion of steel by drilling muds in geothermal wells. Corros. Rev. 1999, 17, 253. [Google Scholar]
- Rammelt, U.; Reinhard, G. Application of EIS for characterizing the corrosion protective performance of organic coatings on metals. Prog. Org. Coat 1992, 21, 205–226. [Google Scholar] [CrossRef]
- Cristoforetti, A.; Rossi, S.; Deflorian, F.; Fedel, M. On the limits of the EIS low-frequency Impedance modulus as a tool to describe the protection properties of organic coatings exposed to accelerated aging tests. Coatings 2023, 13, 598. [Google Scholar] [CrossRef]
- Galván-Martínez, R.; Orozco-Cruz, R.; Carmona-Hernández, A.; Mejía-Sánchez, E.; Morales-Cabrera, M.A.; Contreras, A. Corrosion study of pipeline steel under stress at different cathodic potentials by EIS. Metals 2019, 9, 1353. [Google Scholar] [CrossRef]
- Orazem, M.E.; Tribollet, B. Electrochemical Impedance Spectroscopy; John Wiley & Sons: Hoboken, NJ, USA, 2008. [Google Scholar]
- Freire, L.; Carmezim, M.J.; Ferreira, M.G.S.; Montemor, M.F. The passive behaviour of AISI 316 in alkaline media and the effect of pH: A combined electrochemical and analytical study. Electrochim. Acta 2010, 55, 6174. [Google Scholar] [CrossRef]
- Díaz, B.; Joiret, S.; Keddam, M.; Nóvoa, X.R.; Pérez, M.C.; Takenouti, H. Passivity of iron in red mud’s water solutions. Electrochim. Acta 2004, 49, 3039. [Google Scholar] [CrossRef]
- Randles, J.E.B. Kinetics of rapid electrode reactions. Discuss. Faraday Society 1947, 1, 11. [Google Scholar] [CrossRef]
- Scully, J.R. Polarization resistance method for determination of instantaneous corrosion rates. Corrosion 2000, 56, 199–204. [Google Scholar] [CrossRef]
- Available online: https://www.specialmetals.com/documents/technical-bulletins/inconel/inconel-alloy-625.pdf (accessed on 20 February 2024).
- Hanssen, B.L.; Siraj, S.; Wong, D.K. Recent strategies to minimize fouling in electrochemical detection systems. Rev. Anal. Chem. 2016, 35, 1. [Google Scholar] [CrossRef]
- Abreu, C.M.; Cristóbal, M.J.; Losada, R.; Nóvoa, X.R.; Pena, G.; Pérez, M.C. Comparative study of passive films of different stainless steels developed on alkaline medium. Electrochim. Acta 2004, 49, 3049–3056. [Google Scholar] [CrossRef]
- Available online: https://www.egec.org/european-geothermal-innovation-award/ (accessed on 20 February 2024).
- Available online: https://www.egec.org/geoinnawards2021-nominees-aimen-technology-center/ (accessed on 20 February 2024).














| Location | Brine Valve House (BVH) |
| Pressure | 7.0–10.5 bar-g |
| Flowrate | 3514.45 L/h |
| Pipe inner diameter | 1″—PN16 |
| T in | 98.98 °C |
| Brine characteristics | Conductivity | pH | CO2 | H2S | SiO2 | Na |
| 0.9–1.1 mS/cm | 6 | 0.02–0.01 mol/kg | 0.03–0.07 mol/kg | 0.011 mol/kg | 0.008 mol/kg |
| Composition (%) | Ni | Cr | Mo | Mn | Nb | Si | Cu | C | Fe |
|---|---|---|---|---|---|---|---|---|---|
| 1. INCONEL 625 | >58 | 20–23 | 8–10 | <0.5 | 3–4 | <0.5 | <0.1 | <5 | |
| 2. SMO 254 SS | 18 | 20 | 6.1 | <0.8 | 0.7 | <0.02 | bal. * | ||
| 3. Superduplex 1.4410 | 6–8 | 24–26 | 3–5 | <1.2 | <0.8 | <0.03 | bal. * | ||
| 4. AISI 316 | 16–18 | 10–14 | 2–3 | 2 | 0.75 | 0.035 | bal. * | ||
| 5. PG 265 GH | 10–12 | 16–18 | 2–2.5 | <2 | <0.75 | < 0.07 | bal. * | ||
| 6. API 5CT K55 | 0.20 | <1.5 | <0.35 | 0.20 | 0.34–0.39 | bal. * |
| Re Ω·m2 | Rp WE1 Ω·cm2 | Rp WE2 Ω·cm2 | Rp WE3 Ω·cm2 | Rp WE4 Ω·cm2 | Rp WE5 Ω·cm2 | Rp WE6 Ω·cm2 | |
|---|---|---|---|---|---|---|---|
| Mean (November–January) | 461 | 1259 | 2202 | 2083 | 2210 | 733 | 361.3 |
| Standard deviation | 3.61 | 151.98 | 242.41 | 202.22 | 203.40 | 142.34 | 72.56 |
| Relative standard deviation | 0.78 | 12.07 | 11.01 | 9.71 | 9.20 | 19.42 | 20.08 |
Disclaimer/Publisher’s Note: The statements, opinions and data contained in all publications are solely those of the individual author(s) and contributor(s) and not of MDPI and/or the editor(s). MDPI and/or the editor(s) disclaim responsibility for any injury to people or property resulting from any ideas, methods, instructions or products referred to in the content. |
© 2024 by the authors. Licensee MDPI, Basel, Switzerland. This article is an open access article distributed under the terms and conditions of the Creative Commons Attribution (CC BY) license (https://creativecommons.org/licenses/by/4.0/).
Share and Cite
Freire, L.; Ezpeleta, I.; Sánchez, J.; Castro, R. Advanced EIS-Based Sensor for Online Corrosion and Scaling Monitoring in Pipelines of Geothermal Power Plants. Metals 2024, 14, 279. https://doi.org/10.3390/met14030279
Freire L, Ezpeleta I, Sánchez J, Castro R. Advanced EIS-Based Sensor for Online Corrosion and Scaling Monitoring in Pipelines of Geothermal Power Plants. Metals. 2024; 14(3):279. https://doi.org/10.3390/met14030279
Chicago/Turabian StyleFreire, Lorena, Ignacio Ezpeleta, Julio Sánchez, and Rubén Castro. 2024. "Advanced EIS-Based Sensor for Online Corrosion and Scaling Monitoring in Pipelines of Geothermal Power Plants" Metals 14, no. 3: 279. https://doi.org/10.3390/met14030279
APA StyleFreire, L., Ezpeleta, I., Sánchez, J., & Castro, R. (2024). Advanced EIS-Based Sensor for Online Corrosion and Scaling Monitoring in Pipelines of Geothermal Power Plants. Metals, 14(3), 279. https://doi.org/10.3390/met14030279

