Optimization of Process Parameters and Microstructure of CoCrFeNiTiAl High-Performance High-Entropy Alloy Coating
Abstract
1. Introduction
2. Experimental Design of Response Surface Method
2.1. Response Surface Methodology
2.2. ANOVA Analysis
2.3. Design of Experiments
3. Materials and Methods
4. Results and Analysis
4.1. ANOVA for the Effect of Process Parameters on Coating Dilution Rate
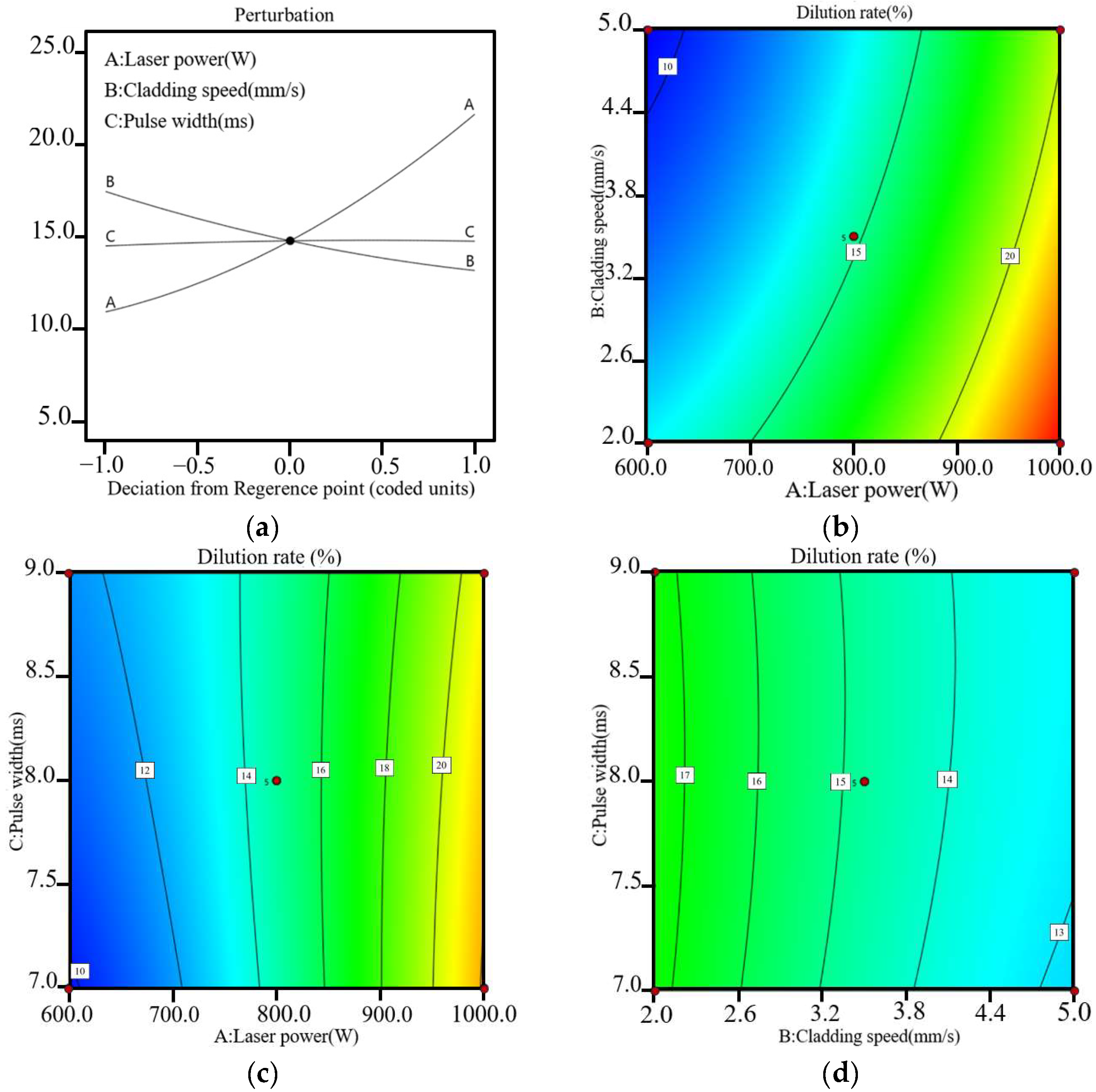
4.1.1. Effect of Single Factor on Dilution Rate
4.1.2. Effect of Interaction Terms on Dilution Rate
4.1.3. Effect of Process Parameters on Dilution Rate
4.2. ANOVA Analysis for the Effect of Process Parameters on Coating Microhardness
4.2.1. Effect of Single Factor on Microhardness
4.2.2. Effect of Interaction Terms on Microhardness
4.2.3. Effect of Process Parameters on Microhardness
4.3. Optimization and Characterization
5. Conclusions
- (1)
- Among the single factors, the laser power has the greatest effect on the properties of high-entropy alloy coatings, followed by the cladding speed, and pulse width has no significant effect. Notably, the dilution rate of the coating is positively correlated with the laser power and negatively with the cladding speed. The microhardness shows a tendency of increasing and then decreasing with the increase in laser power, and the microhardness decreases slowly with the increase in cladding speed.
- (2)
- In the interaction term analysis, the interaction term of laser power and pulse width has significant effects on the evaluation of the two output responses, while the interaction term of pulse width and cladding speed has a significant effect only on microhardness, while the interaction term of laser power and cladding speed has no significant effect on the evaluation of the two output responses.
- (3)
- According to the model prediction, the optimal parameters for laser melting and cladding of CoCrFeNiTiAl high-entropy alloy coatings are the laser power P = 676.73 W, cladding speed V = 5 mm/s, and pulse width P0 = 9 ms.
- (4)
- The microstructure of the CoCrFeNiTiAl high-entropy alloy coating prepared by optimal parameters is dominated by equiaxial and columnar grains, and the phase is an FCC + BCC + B2 composite structure with fine structural grains, which improves the hardness and corrosion resistance of the coating.
Author Contributions
Funding
Data Availability Statement
Conflicts of Interest
References
- Li, W.D.; Xie, D.; Li, D.Y.; Zhang, Y.; Gao, Y.F.; Liaw, P.K. Mechanical behavior of high-entropy alloys. Prog. Mater. Sci. 2021, 118, 100777. [Google Scholar] [CrossRef]
- George, E.P.; Raabe, D.; Ritchie, R.O. High-entropy alloys. Nat. Rev. Mater. 2019, 4, 515–534. [Google Scholar] [CrossRef]
- Rao, Z.; Tung, P.Y.; Xie, R.W.; Wei, Y.; Zhang, H.B.; Ferraei, A.; Klaver, T.P.C.; Sukumar, P.T.; Raabe, D. Machine learning–enabled high-entropy alloy discovery. Science 2022, 378, 78–85. [Google Scholar] [CrossRef] [PubMed]
- Ye, Y.F.; Wang, Q.; Lu, J.; Liu, C.T.; Yang, Y. High-entropy alloy: Challenges and prospects. Mater. Today 2016, 19, 349–362. [Google Scholar] [CrossRef]
- Tokarewicz, M.; Grądzka-Dahlke, M. Review of recent research on AlCoCrFeNi high-entropy alloy. Metals 2021, 11, 1302. [Google Scholar] [CrossRef]
- Ji, W.; Fu, Z.Y.; Wang, W.M.; Wang, H.; Zhang, J.Y.; Wang, Y.C.; Zhang, F. Mechanical alloying synthesis and spark plasma sintering consolidation of CoCrFeNiAl high-entropy alloy. J. Alloys Compd. 2014, 589, 61–66. [Google Scholar] [CrossRef]
- Joseph, J.; Haghdadi, N.; Shamlaye, K.; Hodgson, P.; Barnett, M.; Fabijanic, D. The sliding wear behaviour of CoCrFeMnNi and AlxCoCrFeNi high entropy alloys at elevated temperatures. Wear 2019, 428, 32–44. [Google Scholar] [CrossRef]
- Xiong, W.; Guo, A.X.Y.; Zhan, S.; Liu, C.T.; Cao, S.C. Refractory high-entropy alloys: A focused review of preparation methods and properties. J. Mater. Sci. Technol. 2023, 142, 196–215. [Google Scholar] [CrossRef]
- Lu, K.F.; Zhu, J.; Ge, W.Q.; Hui, X.D. Progress on new preparation methods, microstructures, and protective properties of high-entropy alloy coatings. Coatings 2022, 12, 1472. [Google Scholar] [CrossRef]
- Zhu, L.D.; Xue, P.S.; Lan, Q.; Meng, G.R.; Ren, Y.; Yang, Z.C.; Xu, P.H.; Liu, Z. Recent research and development status of laser cladding: A review. Opt. Laser Technol. 2021, 138, 106915. [Google Scholar] [CrossRef]
- DebRoy, T.; Wei, H.L.; Zuback, J.S.; Mukherjee, T.; Elmer, J.W.; Milewski, J.O.; Beese, A.M.; Wilson-Heid, A.; De, A.; Zhang, W. Additive manufacturing of metallic components–process, structure and properties. Prog. Mater. Sci. 2018, 92, 112–224. [Google Scholar] [CrossRef]
- Zhang, Y.; Bai, P.K.; Li, Z.H.; Zhang, J.; Liu, W.J. Multi-objective optimization of laser cladding process parameters for Q345B steel. Mater. Today Commun. 2024, 39, 108679. [Google Scholar] [CrossRef]
- Xu, H.Y.; Lu, J.B.; Peng, X.; Ma, M.X. Microstructure and Properties of Laser Cladding CoCrCu0.4FeNi High Entropy Alloy Coating. Surf. Technol. 2023, 52, 418–428. [Google Scholar]
- Shu, F.Y.; Zhang, B.L.; Liu, T.; Sui, S.H.; Liu, Y.X.; He, P.; Liu, B.; Xu, B.S. Effects of laser power on microstructure and properties of laser cladded CoCrBFeNiSi high-entropy alloy amorphous coatings. Surf. Coat. Technol. 2019, 358, 667–675. [Google Scholar] [CrossRef]
- Cao, Q.; Lian, G.F.; Chen, C.R.; Feng, M.Y. Sensitivity analysis of the process parameters of laser cladding NiCrCoAlY. Metall. Res. Technol. 2022, 119, 206. [Google Scholar] [CrossRef]
- Durakovic, B. Design of experiments application, concepts, examples: State of the art. Period. Eng. Nat. Sci. 2017, 5, 421–439. [Google Scholar] [CrossRef]
- Olorundaisi, E.; Jamiru, T.; Adegbola, T.A.; Ogunbiyi, O.F. Modeling and optimization of operating parameters using RSM for mechanical behaviour of dual phase steels. Mater. Res. Express 2019, 6, 105628. [Google Scholar] [CrossRef]
- Danmaliki, G.I.; Saleh, T.A.; Shamsuddeen, A.A. Response surface methodology optimization of adsorptive desulfurization on nickel/activated carbon. Chem. Eng. J. 2017, 313, 993–1003. [Google Scholar] [CrossRef]
- Huang, Y.B.; Hu, Y.L.; Zhang, M.J.; Mao, C.; Wang, K.M.; Tong, Y.G.; Zhang, J.; Li, K.W. Multi-objective optimization of process parameters in laser cladding CoCrCuFeNi high-entropy alloy coating. J. Therm. Spray Technol. 2022, 31, 1985–2000. [Google Scholar] [CrossRef]
- Sundararaman, K.A.; Padmanaban, K.P.; Sabareeswaran, M. Optimization of machining fixture layout using integrated response surface methodology and evolutionary techniques. Proc. Inst. Mech. Eng. Part C J. Mech. Eng. Sci. 2016, 230, 2245–2259. [Google Scholar] [CrossRef]
- Yu, D.W.; Qing, X.T.; Lin, H.Y.; Yang, J.; Yang, J.C.; Wang, X.J. Response Surface Methodology Optimization of Resistance Welding Process for Unidirectional Carbon Fiber/PPS Composites. Materials 2024, 17, 2176. [Google Scholar] [CrossRef] [PubMed]
- Saeedi, R.; Razavi, R.S.; Bakhshi, S.R.; Erfanmanesh, M.; Bani, A.A. Optimization and characterization of laser cladding of NiCr and NiCr–TiC composite coatings on AISI 420 stainless steel. Ceram. Int. 2021, 47, 4097–4110. [Google Scholar] [CrossRef]
- Erfanmanesh, M.; Abdollah-Pour, H.; Mohammadian-Semnani, H.; Shoja-Razavi, R. An empirical-statistical model for laser cladding of WC-12Co powder on AISI 321 stainless steel. Opt. Laser Technol. 2017, 97, 180–186. [Google Scholar] [CrossRef]
- Chen, L.Y.; Yu, T.B.; Chen, X.; Zhao, Y.; Guan, C. Process optimization, microstructure and microhardness of coaxial laser cladding TiC reinforced Ni-based composite coatings. Opt. Laser Technol. 2022, 152, 108129. [Google Scholar] [CrossRef]
- Dada, M.; Popoola, P.; Mathe, N.; Pityana, S.; Adeosun, S. Parametric optimization of laser deposited high entropy alloys using response surface methodology (RSM). Int. J. Adv. Manuf. Technol. 2020, 109, 2719–2732. [Google Scholar] [CrossRef]
- Pan, L.K.; Wang, C.C.; Hsiao, Y.C.; Ho, K.C. Optimization of Nd: YAG laser welding onto magnesium alloy via Taguchi analysis. Opt. Laser Technol. 2005, 37, 33–42. [Google Scholar] [CrossRef]
- Ren, X.Y.; Sun, W.L.; Gao, L.S.; Tian, S.; Lin, H.B. Multi-response multi-parameter optimization of CoCrFeNiMo0.2 HEA coatings prepared by internal laser cladding and tribological behaviors. Mater. Today Commun. 2024, 40, 109643. [Google Scholar] [CrossRef]
- Gao, S.A.; Fu, Q.; Li, M.Z.; Huang, L.; Liu, N.; Cui, C.; Yang, B.; Zhang, G.D. Optimization of Laser Cladding Parameters for High-Entropy Alloy-Reinforced 316L Stainless-Steel via Grey Relational Analysis. Coatings 2024, 14, 1103. [Google Scholar] [CrossRef]
- Liu, H.; Liu, J.; Chen, P.J.; Yang, H.F.; Hao, J.B.; Tian, X.H. Microstructure and properties of AlCoCrFeNiTi high-entropy alloy coating on AISI1045 steel fabricated by laser cladding. J. Mater. Eng. Perform. 2019, 28, 1544–1552. [Google Scholar] [CrossRef]
- Reed-Hill, R.E.; Abbaschian, R.; Abbaschian, R. Physical Metallurgy Principles; Van Nostrand: New York, NY, USA, 1973. [Google Scholar]
- Wang, W.R.; Wang, W.L.; Wang, S.C.; Tsai, Y.C.; Lai, C.H.; Yeh, J.W. Effects of Al addition on the microstructure and mechanical property of AlxCoCrFeNi high-entropy alloys. Intermetallics 2012, 26, 44–51. [Google Scholar] [CrossRef]
- Muniz, F.T.L.; Miranda, M.A.R.; Morilla dos Santos, C.; Sasaki, J.M. The Scherrer equation and the dynamical theory of X-ray diffraction. Acta Crystallogr. Sect. A Found. Adv. 2016, 72, 385–390. [Google Scholar] [CrossRef] [PubMed]
- Xu, Y.K.; Li, Z.Y.; Liu, J.R.; Chen, Y.N.; Zhang, F.Y.; Wu, L.; Hao, J.M.; Liu, L. Microstructure evolution and properties of laser cladding CoCrFeNiTiAl x high-entropy alloy coatings. Coatings 2020, 10, 373. [Google Scholar] [CrossRef]













| Factors | Units | Levels | ||
|---|---|---|---|---|
| −1 | 0 | 1 | ||
| Laser power | W | 600 | 800 | 1000 |
| Cladding speed | mm/s | 2 | 3.5 | 5 |
| Pulse width | ms | 7 | 8 | 9 |
| Standard Sequence | Running Sequence | Input Variables | Output Response | |||
|---|---|---|---|---|---|---|
| Laser Power (W) | Cladding Speed (mm/s) | Pulse Width (ms) | Hardness (HV) | Dilution Rate (%) | ||
| 13 | 1 | 800 | 3.5 | 8 | 723.02 ± 0.03 | 14.53 ± 0.02 |
| 2 | 2 | 1000 | 2 | 8 | 704.62 ± 0.01 | 24.60 ± 0.02 |
| 17 | 3 | 800 | 3.5 | 8 | 713.54 ± 0.01 | 14.57 ± 0.01 |
| 16 | 4 | 800 | 3.5 | 8 | 713.62 ± 0.02 | 15.06 ± 0.03 |
| 8 | 5 | 1000 | 3.5 | 9 | 715.71 ± 0.04 | 20.58 ± 0.05 |
| 9 | 6 | 800 | 2 | 7 | 729.72 ± 0.03 | 16.84 ± 0.01 |
| 10 | 7 | 800 | 5 | 7 | 715.56 ± 0.04 | 12.58 ± 0.01 |
| 6 | 8 | 1000 | 3.5 | 7 | 700.13 ± 0.01 | 22.57 ± 0.02 |
| 11 | 9 | 800 | 2 | 9 | 722.44 ± 0.06 | 17.53 ± 0.03 |
| 5 | 10 | 600 | 3.5 | 7 | 719.82 ± 0.02 | 10.06 ± 0.03 |
| 14 | 11 | 800 | 3.5 | 8 | 716.52 ± 0.04 | 15.03 ± 0.01 |
| 3 | 12 | 600 | 5 | 8 | 711.56 ± 0.03 | 9.56 ± 0.02 |
| 12 | 13 | 800 | 5 | 9 | 724.65 ± 0.02 | 13.68 ± 0.01 |
| 15 | 14 | 800 | 3.5 | 8 | 717.64 ± 0.01 | 14.68 ± 0.02 |
| 7 | 15 | 600 | 3.5 | 9 | 713.73 ± 0.03 | 11.30 ± 0.01 |
| 4 | 16 | 1000 | 5 | 8 | 703.62 ± 0.03 | 19.56 ± 0.06 |
| 1 | 17 | 600 | 2 | 8 | 724.47 ± 0.06 | 13.52 ± 0.03 |
Disclaimer/Publisher’s Note: The statements, opinions and data contained in all publications are solely those of the individual author(s) and contributor(s) and not of MDPI and/or the editor(s). MDPI and/or the editor(s) disclaim responsibility for any injury to people or property resulting from any ideas, methods, instructions or products referred to in the content. |
© 2024 by the authors. Licensee MDPI, Basel, Switzerland. This article is an open access article distributed under the terms and conditions of the Creative Commons Attribution (CC BY) license (https://creativecommons.org/licenses/by/4.0/).
Share and Cite
Jiang, B.; Huang, Z.; Liu, C.; Wang, H.; Shu, F.; Zhao, Y.; Lei, H. Optimization of Process Parameters and Microstructure of CoCrFeNiTiAl High-Performance High-Entropy Alloy Coating. Metals 2024, 14, 1384. https://doi.org/10.3390/met14121384
Jiang B, Huang Z, Liu C, Wang H, Shu F, Zhao Y, Lei H. Optimization of Process Parameters and Microstructure of CoCrFeNiTiAl High-Performance High-Entropy Alloy Coating. Metals. 2024; 14(12):1384. https://doi.org/10.3390/met14121384
Chicago/Turabian StyleJiang, Bingchun, Zhu Huang, Cunyu Liu, Huipeng Wang, Fengyuan Shu, Yuncai Zhao, and Heping Lei. 2024. "Optimization of Process Parameters and Microstructure of CoCrFeNiTiAl High-Performance High-Entropy Alloy Coating" Metals 14, no. 12: 1384. https://doi.org/10.3390/met14121384
APA StyleJiang, B., Huang, Z., Liu, C., Wang, H., Shu, F., Zhao, Y., & Lei, H. (2024). Optimization of Process Parameters and Microstructure of CoCrFeNiTiAl High-Performance High-Entropy Alloy Coating. Metals, 14(12), 1384. https://doi.org/10.3390/met14121384

