Additive Manufacturing of Tungsten Carbide (WC)-Based Cemented Carbides and Niobium Carbide (NbC)-Based Cermets with High Binder Content via Laser Powder Bed Fusion
Abstract
1. Introduction
2. Materials and Methods
3. Results and Discussion
3.1. Characterization of Metallic Powders
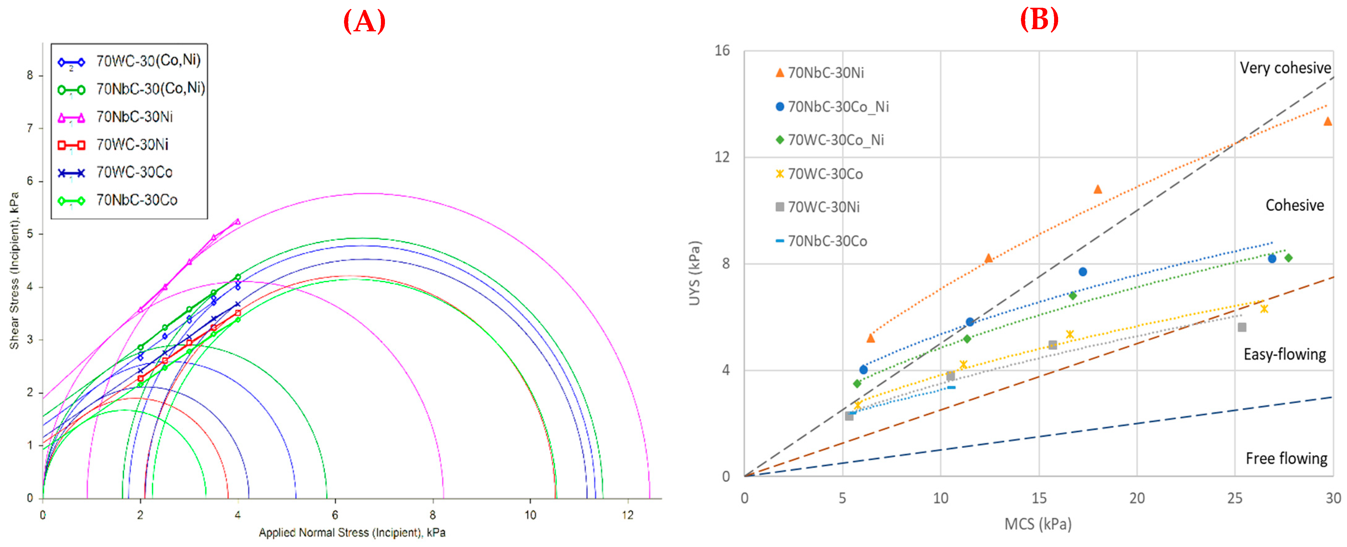
3.2. Volumetric Flow Rate Test of NbC- and WC-Based Alloy Mixtures
3.3. Porosities and Microstructures of WC- and NbC-Based Alloys via L-PBF
3.4. Microhardness of WC- and NbC-Based Alloys via L-PBF
3.5. Thermal Residual Stresses of WC- and NbC-Based Alloys via L-PBF
3.6. Phase Composition Analysis via XRD
4. Conclusions
5. Future Directions
Author Contributions
Funding
Data Availability Statement
Acknowledgments
Conflicts of Interest
References
- Roulon, Z.; Missiaen, J.-M.; Lay, S. Carbide grain growth in cemented carbides sintered with alternative binders. Int. J. Refract. Met. Hard Mater. 2019, 86, 105088. [Google Scholar] [CrossRef]
- Acchar, W.; Zollfrankb, C.; Greilb, P. Microstructure and Mechanical Properties of WC-Co Reinforced with NbC. Mater. Res. 2004, 7, 445–450. [Google Scholar] [CrossRef]
- Jucan, O.-D.; Gadalean, R.-V.; Chicina¸S, H.-F.; Bâlc, N.; Popa, C.-O. The Assessment of the Transversal Rupture Strength (TRS) and Hardness of WC-Co Specimens Made via Additive Manufacturing and Sinter-HIP. Metals 2023, 13, 1051. [Google Scholar] [CrossRef]
- Miranda, F.; Fernandes, L.J.; Batalha, M.H.; Rodrigues, D.; Stoeterau, R.L.; Batalha, G.F. Critical raw materials in cutting tools for machining applications—A review. Braz. J. Dev. 2021, 7, 49513–49537. [Google Scholar] [CrossRef]
- Miranda, F.; Stoeterau, R.L.; Batalha, G.F. Occupational Risks in the Manufacture of Products Heavy Alloy and Hardmetals Cutting Tools in the Mechanical Industry. Glob. J. Med. Res. K Interdiscip. 2021, 21, 29–51. [Google Scholar] [CrossRef]
- Akira, M.; Suganuma, N. Hard metal lung disease. Health Sci. Rev. 2024, 11, 10016. [Google Scholar] [CrossRef]
- McCullough, E.; Nassar, N.T. Assessment of critical minerals: Updated application of an early-warning screening methodology. Miner. Econ. 2017, 30, 257–272. [Google Scholar] [CrossRef]
- Labonne, M.; Missiaen, J.-M.; Lay, S.; García, N.; Lavigne, O. Sintering behavior and microstructural evolution of NbC-Ni cemented carbides with Mo2C additions. Int. J. Refract. Met. Hard Mater. 2020, 92, 105295. [Google Scholar] [CrossRef]
- Alam, M.E.; Wang, J.; Henager, C.H., Jr.; Setyawan, W.; Odette, G.R. The effect of hot rolling on the strength and fracture toughness of 90W–7Ni3Fe tungsten heavy metal alloys. Mater. Sci. Eng. A. 2021, 824, 141738. [Google Scholar] [CrossRef]
- Correa, E.O.; Santos, J.N.; Klein, A.N. Microstructure and mechanical properties of WC Ni–Si-based cemented carbides developed by powder metallurgy. Int. J. Refract. Met. Hard Mater. 2010, 28, 572–575. [Google Scholar] [CrossRef]
- Fernandes, L.J.; Stoeterau, R.L.; Batalha, G.F.; Rodrigues, D.; Borrile, A.V. Wear analysis of NbC-Ni cemented carbides for cutting tools. Adv. Mater. Process. Technol. 2022, 8, 305–321. [Google Scholar] [CrossRef]
- Franco, E.; Costa, C.; Tsipas, S.; Gordo, E. Cermets based on FeAl–NbC from composite powders: Design of composition and processing. Int. J. Refract. Met. Hard Mater. 2015, 48, 324–332. [Google Scholar] [CrossRef]
- Huang, S.G.; Liu, R.L.; Li, L.; Van Der Biest, O.; Vleugels, J. NbC as grain growth inhibitor and carbide in WC–Co hardmetals. Int. J. Refract. Met. Hard Mater. 2008, 26, 389–395. [Google Scholar] [CrossRef]
- Huang, S.G.; Li, L.; Van Der Biest, O.; Vleugels, J. Influence of WC addition on the microstructure and mechanical properties of NbC-Co cermets. J. Alloys Compd. 2007, 430, 158–164. [Google Scholar] [CrossRef]
- Cuppari, M.; Santos, S. Physical Properties of the NbC Carbide. Metals 2016, 6, 250. [Google Scholar] [CrossRef]
- Rodrigues, D.; Cannizza, E. The use of NbC20Ni Hard materials for hot rolling applications. In Proceedings of the 19th Plansee Seminar 2017, Reutte, Austria, 29 May–2 June 2017; Volume 3. [Google Scholar]
- Li, J.; Wei, Z.; Zhou, B.; Wu, Y.; Chen, S.-G.; Sun, Z. Densification, Microstructure and Properties of 90W-7Ni-3Fe Fabricated by Selective Laser Melting. Metals 2019, 9, 884. [Google Scholar] [CrossRef]
- Sidambe, A.; Tian, Y.; Prangnell, P.; Fox, P. Effect of processing parameters on the densification, microstructure, and crystallographic texture during the laser powder bed fusion of pure tungsten. Int. J. Refract. Met. Hard Mater. 2018, 78, 254–263. [Google Scholar] [CrossRef]
- Wang, D.; Yu, C.; Zhou, X.; Ma, J.; Liu, W.; Shen, Z. Dense Pure Tungsten Fabricated by Selective Laser Melting. Appl. Sci. 2017, 7, 430. [Google Scholar] [CrossRef]
- Campanelli, S.; Contuzzi, N.; Posa, P.; Angelastro, A. Printability and Microstructure of Selective Laser Melting of WC/Co/Cr Powder. Materials 2019, 12, 2397. [Google Scholar] [CrossRef]
- García, J.; Collado Ciprés, V.; Blomqvist, A.; Kaplan, B. Cemented carbide microstructures: A review. Int. J. Refract. Met. Hard Mater. 2018, 80, 40–68. [Google Scholar] [CrossRef]
- Miranda, F.; Maiolini, A.; Dos Santos, M.O.; Rodrigues, D.; Janasi, S.R.; Batalha, G.F. Towards the flowability and spreadability of cemented carbides and cermet powders for Additive Manufacturing: Experimental and numerical approach—Part 1. In Proceedings of the 27th International Congress of Mechanical Engineering, Rio de Janeiro, Brazil, 4–8 December 2023. [Google Scholar] [CrossRef]
- Budding, A.; Vaneker, T. New Strategies for Powder Compaction in Powder-based Rapid Prototyping Techniques. Procedia CIRP 2013, 6, 528–533. [Google Scholar] [CrossRef]
- Freeman, T.; Bey, H.; Hanish, M.; Brockbank, K.; Armstrong, B. The influence of roller compaction processing variables on the rheological properties of granules. Asian J. Pharm. Sci. 2016, 11, 516–527. [Google Scholar] [CrossRef][Green Version]
- Santos, L.C.; Condotta, R.; Ferreira, M.C. Flow properties of coarse and fine sugar powders. J. Food Process Eng. 2017, 41, e12648. [Google Scholar] [CrossRef]
- Gururajan, B.; Seville, J.P.K.; Adams, M.; Greenwood, R.; Fitzpatrick, S. Roll compaction of a pharmaceutical excipient: Experimental validation of rolling theory for granular solids. Chem. Eng. Sci. 2005, 60, 3891–3897. [Google Scholar] [CrossRef]
- Aramian, A.; Razavi, M.; Sadeghian, Z.; Berto, F. A Review of Additive Manufacturing of Cermets. Addit. Manuf. 2020, 33, 101130. [Google Scholar] [CrossRef]
- Uhlmann, E.; Bergmann, A.; Gridin, W. Investigation on Additive Manufacturing of Tungsten Carbide-Cobalt by Selective Laser Melting. Procedia CIRP 2015, 35, 8–15. [Google Scholar] [CrossRef]
- Zegzulka, J.; Gelnar, D.; Jezerská, L.; Prokes, R.; Rozbroj, J. Characterization and flowability methods for metal powders. Sci. Rep. 2020, 10, 21004. [Google Scholar] [CrossRef]
- Freeman, R. Measuring the flow properties of consolidated, conditioned and aerated powders—A comparative study using a powder rheometer and a rotational shear cell. Powder Technol. 2007, 174, 25–33. [Google Scholar] [CrossRef]
- Debroy, T.; Wei, H.; Zuback, J.; Mukherjee, T.; Elmer, J.; Milewski, J.O.; Beese, A.; Wilson-Heid, A.; De, A.; Zhang, W. Additive manufacturing of metallic components—Process, structure, and properties. Prog. Mater. Sci. 2018, 92, 112–224. [Google Scholar] [CrossRef]
- Marchetti, L.; Hulme-Smith, C. Flowability of steel and tool steel powders: A comparison between testing methods. Powder Technol. 2021, 384, 402–413. [Google Scholar] [CrossRef]
- Pal, S.; Drstvensek, I.; Brajlih, T. Physical behaviors of materials in selective laser melting process. In DAAAM International Scientific Book 2018; DAAAM International Vienna: Vienna, Austria, 2018; pp. 239–256. [Google Scholar] [CrossRef]
- ASTM Standard B276-21; Evaluation of Apparent Porosity in Cemented Carbides. ASTM International: West Conshohocken, PA, USA, 2021. Available online: https://www.astm.org/b0276-21.html (accessed on 17 March 2023).
- ASTM Standard B657-92; Standard Test Method for Metallographic Determination of Microstructure in Cemented Tungsten Carbides. ASTM International: West Conshohocken, PA, USA, 2000. Available online: https://www.astm.org/b0657-92r00.html (accessed on 16 August 2017).
- Miranda, F.; Dos Santos, M.O.; Rodrigues, D.; Batalha, G.F.; Janasi, S.R.; Ortega, F.S. WC Cemented Carbides: Microstructural aspects comparing L-PBF Additive Manufacture and convencional LPS. In Proceedings of the Euro Powder Metallurgy 2023 Congress & Exhibition, Lisbon, Portugal, 1–4 October 2023. [Google Scholar] [CrossRef]
- Miranda, F.; Santos, M.O.; Coelho, R.S.; Rodrigues, D.; Batalha, G.F. NbC-based Cermet production comparison: L-PBF Additive Manufacturing versus conventional LPS powder metallurgy. Mater. Tehnol. 2023, 57, 129–137. [Google Scholar] [CrossRef]
- Xing, M.; Wang, H.; Zhao, Z.; Lu, H.; Liu, C.; Lin, L.; Wang, M.; Song, X. Additive manufacturing of cemented carbide inserts with high mechanical performance. Mater. Sci. Eng. A 2022, 861, 144350. [Google Scholar] [CrossRef]
- Schwanekamp, T.; Marginean, G.; Reuber, M.; Ostendorf, A. Impact of cobalt content and grain growth inhibitors in laser-based powder bed fusion of WC-Co. Int. J. Refrac. Met. Hard Mat. 2022, 105, 105814. [Google Scholar] [CrossRef]
- Lee, S.W.; Kim, Y.W.; Jang, K.M.; Lee, J.W.; Park, M.-S.; Koo, H.Y.; Ha, G.-H.; Kang, Y.C. Phase control of WC–Co hardmetal using additive manufacturing technologies. Powder Metall. 2022, 65, 13–21. [Google Scholar] [CrossRef]
- Vreeswijk, M.; Kot, A.; Giuliani, F.; Humphry-Baker, S. Abnormal WC crystal growth from liquid Co flux occurs via eta phase decomposition. Int. J. Refract. Met. Hard Mater. 2021, 99, 105589. [Google Scholar] [CrossRef]
- Fernandes, C.M.; Senos, A.M.R. Cemented carbide phase diagrams: A review. Int. J. Refract. Met. Hard Mater. 2011, 29, 405–418. [Google Scholar] [CrossRef]
- Serkhane-Ouabadi, N.; Benalia-Baguenane, G.; Nechiche, M.; Azemu, S. Influence of the liquid phase and the carbon on the reactive sintering in mixtures W-Ni-C. U.P.B. Sci. Bull. 2022, 84, 109–122. [Google Scholar]
- Jose, S.A.; John, M.; Menezes, P.L. Cermet Systems: Synthesis, Properties, and Applications. Ceramics 2022, 5, 210–236. [Google Scholar] [CrossRef]
- Straumal, B.B.; Konyashin, I. Faceting/Roughening of WC/Binder Interfaces in Cemented Carbides: A Review. Materials 2023, 16, 3696. [Google Scholar] [CrossRef]
- Woydt, M.; Huang, S.; Vleugels, J.; Mohrbacher, H.; Cannizza, E. Potentials of niobium carbide (NbC) as cutting tools and for wear protection. Int. J. Refract. Met. Hard Mater. 2018, 72, 380–387. [Google Scholar] [CrossRef]
- Huang, S.G.; De Baets, P.; Sukumaran, J.; Mohrbacher, H.; Woydt, M.; Vleugels, J. Effect of Carbon Content on the Microstructure and Mechanical Properties of NbC-Ni Based Cermets. Metals 2018, 8, 178. [Google Scholar] [CrossRef]
- Lv, N.; Yue, H.; Guo, C.; Dai, W.; Zhang, J.; Li, Q.; Zhao, G.; Hao, G. A comparative investigation on the effects of reinforcement phase addition methods on laser melting deposited WC/Co coatings. J. Manuf. Process. 2024, 129, 134–146. [Google Scholar] [CrossRef]
- Sarin, V.; Mari, D.; Llanes, L.; Nebel, C.E. Comprehensive Hard Materials; Elsevier: Amsterdam, The Netherlands, 2014; Volume I, p. 700. [Google Scholar]
- ISO Standard 3878-1983(E); Hardmetals—Vickers Hardness Test. ISO International Standard: Geneva, Switzerland, 1983. Available online: https://www.iso.org/standard/9484.html (accessed on 8 October 2024).
- Chen, C.; Huang, B.; Liu, Z.; Li, Y.; Zou, D.; Liu, T.; Chang, Y.; Chen, L. Additive manufacturing of WC-Co cemented carbides: Process, microstructure, and mechanical properties. Addit. Manuf. 2023, 63, 103410. [Google Scholar] [CrossRef]
- Khmyrov, R.S.; Shevchukov, A.P.; Gusarov, A.V.; Tarasova, T.V. Phase composition and microstructure of WC–Co alloys obtained by selective laser melting. Mech. Ind. 2017, 18, 714. [Google Scholar] [CrossRef]
- Zhang, F.L.; Wang, C.Y.; Zhu, M. Nanostructured WC/Co composite powder prepared by high energy ball milling. Scripta Mat. 2003, 49, 1123–1128. [Google Scholar] [CrossRef]
- Balbino, N.A.N.; Corrêa, E.O.; Huanca, D.R.; de Freitas Matos, F.A.; de Carvalho Valeriano, L. Comparative Study of Corrosion Behaviors of WC-NiMo and WC-Co Cemented Carbides. Materials 2023, 16, 4480. [Google Scholar] [CrossRef]
- Li, X.; Zhang, X.; Zhang, J.; Zhang, Q.; Ji, V.; Liu, J. Effect of Mo and C Additions on Eta Phase Evolution of WC-13Co Cemented Carbides. Coatings 2022, 12, 1993. [Google Scholar] [CrossRef]
- Chicinas, H.F.; Marinca, T.F.; Götze, P.; Eckert, A.; Popa, C.O. Influence of aqueous milling duration on the sintered WC–10Co hard metal powders. J. Mater. Sci. 2018, 53, 2901–2910. [Google Scholar] [CrossRef]
- Tran, S. Microstructure Investigations of WC-Co Cemented Carbide Containing η-Phase and Cr. Master’s Thesis, Uppsala University, Uppsala, Sweden, 8 August 2018; p. 51. [Google Scholar]
- Upadhyaya, G.S. Cemented Tungsten Carbides: Production, Properties, and Testing; Noyes Publications: Norwich, NY, USA, 1998; p. 27. ISBN 0-8155-1417-4. Available online: https://books.google.com.br/books?id=9UVcIa8M4V8C&printsec=frontcover&hl=pt-BR&source=gbs_ge_summary_r&cad=0#v=onepage&q&f=false (accessed on 15 October 2024).
- Enneti, R.; Morgan, R.; Wolfe, T.; Harooni, A.; Volk, S. Direct Metal Laser Sintering (DMLS) of Tungsten Powders. Int. J. Powder Metall. 2017, 53, 23–31. [Google Scholar]
- Funch, C.V.; Proust, G. Laser-based additive manufacturing of refractory metals and their alloys: A review. Addit. Manuf. 2024, 94, 104464. [Google Scholar] [CrossRef]
- Chhabra, D. Comparison and analysis of different 3d printing techniques. Int. J. Latest Trends Eng. Technol. 2017, 8, 264–272. [Google Scholar] [CrossRef]
























| Powders | Theoretical Density | Average Grain Size | Purity | Carbon | Bulk Density | Origin |
|---|---|---|---|---|---|---|
| (g.cm−3) | FSSS (µm) | (wt.%) | (wt.%) | (g.cm−3) | ||
| WC | 15.63 | 1.5 | 99.53 | 5.8 | 4.0 | Buffalo Tungsten Inc. (Depew, NY, USA) |
| NbC | 7.65 | <1.0 | 99.65 | 7.8 | 3.0 | F&X Electro-Materials Limited (Jiangmen, China) |
| Co | 8.91 | 2.2 | 99.87 | <0.03 | 1.2 | Nanjing Hanrui Cobalt Co. (Nanjing, China) |
| Ni | 8.91 | 4.8 | 99.85 | - | 2.5 | CVMR Corporation (Toronto, ON, Canada) |
| Alloy | Powders | Weight Balance (%) | Theoretical Density | Pycnometric Density | |||
|---|---|---|---|---|---|---|---|
| WC | NbC | Co | Ni | (g.cm−3) | (g.cm−3) | ||
| (I) | WC-30Co | 70.0 | 30.0 | 0.0 | 12.74 | 12.38 | |
| (II) | WC-30Ni | 70.0 | 0.0 | 30.0 | 12.75 | 12.71 | |
| (III) | WC-30(Co, Ni) | 70.0 | 15.0 | 15.0 | 12.75 | 12.54 | |
| (IV) | NbC-30Co | 3.0 | 67.0 | 30.0 | 0.0 | 8.03 | 7.86 |
| (V) | NbC-30Ni | 3.0 | 67.0 | 0.0 | 30.0 | 8.05 | 7.99 |
| (VI) | NbC-30(Co, Ni) | 3.0 | 67.0 | 15.0 | 15.0 | 8.04 | 7.93 |
| Raw Material | Actual Average Density (g.cm−3) | Surface Area (m2.g−1) | Total Pores per Volume (cm3.g−1) | Average Pore Diameter (nm) |
|---|---|---|---|---|
| WC | 15.494 ± 0.040 | 0.624 | 0.006 | 35.770 |
| NbC | 7.638 ± 0.045 | 2.586 | 0.017 | 26.495 |
| Co | 8.422 ± 0.068 | 4.667 | 0.015 | 13.126 |
| Ni | 8.952 ± 0.031 | 1.252 | 0.012 | 38.974 |
| Composition | BFE (mJ) | SI | SE (mJ.g−1) | Split Mass (g) | BFE.g−1 (mJ.g−1) | BD (g.cm−3) | CPS 15 kPa | BDcomp. (g.cm−3) |
|---|---|---|---|---|---|---|---|---|
| WC-30Co | 4007.11 | 1.11 | 6.87 | 634.31 | 6.317 | 3.33 | 9.13 | 3.66 |
| WC-30Ni | 3606.39 | 1.08 | 7.96 | 564.88 | 6.384 | 4.11 | 6.29 | 4.39 |
| WC-30(Co, Ni) | 2623.04 | 1.18 | 6.61 | 507.74 | 5.166 | 3.60 | 9,74 | 3.99 |
| NbC-30Co | 2424.98 | 1.04 | 7.80 | 377.95 | 6.416 | 2.45 | 13.08 | 2.82 |
| NbC-30Ni | 2001.91 | 1.03 | 8.31 | 332.56 | 6.020 | 2.47 | 14.32 | 2.88 |
| NbC-30(Co, Ni) | 1486.77 | 1.19 | 5.70 | 375.78 | 3.956 | 2.21 | 14.42 | 2.59 |
| Composition | 3 kPa | 6 kPa | 9 kPa | 15 kPa | ||||
|---|---|---|---|---|---|---|---|---|
| Cohesion (kPa) | AIF (°) | Cohesion (kPa) | AIF (°) | Cohesion (kPa) | AIF (°) | Cohesion (kPa) | AIF (°) | |
| WC-30Co | 0.73 | 32.4 | 1.16 | 32.9 | 1.45 | 33.1 | 1.66 | 34.4 |
| WC-30Ni | 0.62 | 31.8 | 1.06 | 31.9 | 1.35 | 32.9 | 1.44 | 35.8 |
| WC-30(Co, Ni) | 0.96 | 32.5 | 1.39 | 33.7 | 1.82 | 33.7 | 2.08 | 36.3 |
| NbC-30Co | 0.69 | 29.4 | 0.93 | 31.7 | 1.19 | 31.0 | 1.23- | 32.4 |
| NbC-30Ni | 1.31 | 35.7 | 1.90 | 40.4 | - | - | 2.96 | 42.2 |
| NbC-30(Co, Ni) | 1.09 | 32.7 | 1.56 | 33.4 | 2.07 | 33.7 | 2.04 | 37.1 |
| Material | Sample | Parameters | VED (J.mm−3) | C (wt.%) | Co (wt.%) | Ni (wt.%) | W (wt.%) |
|---|---|---|---|---|---|---|---|
| 70WC-30Co | XVI | PL = 125 W vs = 125 mm.s−1 | 333 | 5.054445 | 23.11550 | - | 71.83005 |
| 70WC-30(Co, Ni) | 4.655052 | 14.71521 | 12.20967 | 68.42006 | |||
| 70WC-30Co | XI | PL = 100 W vs = 100 mm.s−1 | 333 | 4.319959 | 30.20653 | - | 65.47351 |
| 70WC-30(Co, Ni) | 5.784030 | 16.73984 | 13.10717 | 64.36896 |
| Sample | PL (W) | Vs (mm.s−1) | VED (J.mm−3) | WC | NbC | ||||
|---|---|---|---|---|---|---|---|---|---|
| 30Co (wt. %) | 30Ni (wt. %) | 30(Co, Ni) (wt. %) | 30Co (wt. %) | 30Ni (wt. %) | 30(Co, Ni) (wt. %) | ||||
| I | 50 | 25 | 417 | 983 ± 33 | 585 ± 147 | 778 ± 66 | 1152 ± 111 | 518 ± 127 | 991 ± 289 |
| II | 50 | 208 | 943 ± 98 | 762 ± 49 | 832 ± 93 | 989 ± 115 | 595 ± 228 | 735 ± 164 | |
| III | 100 | 167 | 862 ± 148 | 701 ± 172 | 818 ± 93 | 884 ± 135 | 589 ± 74 | 694 ± 215 | |
| IV | 125 | 139 | 798 ± 168 | 565 ± 97 | 783 ± 62 | 875 ± 104 | 577 ± 62 | 543 ± 115 | |
| V | 75 | 25 | 625 | 1186 ± 73 | 625 ± 50 | 873 ± 55 | 1162 ± 232 | 895 ± 164 | 1110 ± 193 |
| VI | 50 | 313 | 1348 ± 83 | 788 ± 72 | 734 ± 96 | 1227 ± 220 | 808± 179 | 937 ± 155 | |
| VII | 100 | 250 | 940 ± 116 | 739 ± 90 | 907 ± 57 | 1124 ± 206 | 644 ± 137 | 905 ± 132 | |
| VIII | 125 | 208 | 1113 ± 69 | 779 ± 52 | 835 ± 120 | 1138 ± 153 | 815± 164 | 1032 ± 131 | |
| IX | 100 | 25 | 833 | 1242 ± 80 | 756 ± 84 | 893 ± 69 | 1482 ± 238 | 1013± 214 | 1409 ± 161 |
| X | 50 | 417 | 1270 ± 40 | 793 ± 29 | 867 ± 84 | 1318 ± 131 | 1089 ± 158 | 1235 ± 163 | |
| XI | 100 | 333 | 1140 ± 85 | 787 ± 41 | 859 ± 33 | 1130 ± 136 | 777 ± 224 | 1135 ± 215 | |
| XII | 125 | 278 | 1059 ± 36 | 819 ± 67 | 838 ± 70 | 1134± 121 | 668 ± 134 | 992 ± 158 | |
| XIII | 125 | 25 | 1000 | 1216 ± 64 | 672 ± 34 | 865 ± 43 | 1519 ± 226 | 1344 ± 160 | 1391 ± 122 |
| XIV | 50 | 500 | 988 ± 69 | 758 ± 71 | 842 ± 49 | 1241 ± 202 | 1087 ± 222 | 1322 ± 213 | |
| XV | 100 | 400 | 1093 ± 103 | 803 ± 32 | 857 ± 49 | 1179 ± 140 | 897 ± 168 | 1063 ± 274 | |
| XVI | 125 | 333 | 1026 ± 52 | 784 ± 30 | 867 ± 102 | 1157± 182 | 605 ± 102 | 851 ± 237 | |
Disclaimer/Publisher’s Note: The statements, opinions and data contained in all publications are solely those of the individual author(s) and contributor(s) and not of MDPI and/or the editor(s). MDPI and/or the editor(s) disclaim responsibility for any injury to people or property resulting from any ideas, methods, instructions or products referred to in the content. |
© 2024 by the authors. Licensee MDPI, Basel, Switzerland. This article is an open access article distributed under the terms and conditions of the Creative Commons Attribution (CC BY) license (https://creativecommons.org/licenses/by/4.0/).
Share and Cite
Miranda, F.; dos Santos, M.O.; Condotta, R.; Pereira, N.M.G.; Rodrigues, D.; Janasi, S.R.; Ortega, F.d.S.; Mergulhão, M.V.; Coelho, R.S.; de Oliveira, R.R.; et al. Additive Manufacturing of Tungsten Carbide (WC)-Based Cemented Carbides and Niobium Carbide (NbC)-Based Cermets with High Binder Content via Laser Powder Bed Fusion. Metals 2024, 14, 1333. https://doi.org/10.3390/met14121333
Miranda F, dos Santos MO, Condotta R, Pereira NMG, Rodrigues D, Janasi SR, Ortega FdS, Mergulhão MV, Coelho RS, de Oliveira RR, et al. Additive Manufacturing of Tungsten Carbide (WC)-Based Cemented Carbides and Niobium Carbide (NbC)-Based Cermets with High Binder Content via Laser Powder Bed Fusion. Metals. 2024; 14(12):1333. https://doi.org/10.3390/met14121333
Chicago/Turabian StyleMiranda, Fabio, Marcelo Otavio dos Santos, Rodrigo Condotta, Nathalia Marina Gonçalves Pereira, Daniel Rodrigues, Suzilene Real Janasi, Fernando dos Santos Ortega, Marcello Vertamatti Mergulhão, Rodrigo Santiago Coelho, René Ramos de Oliveira, and et al. 2024. "Additive Manufacturing of Tungsten Carbide (WC)-Based Cemented Carbides and Niobium Carbide (NbC)-Based Cermets with High Binder Content via Laser Powder Bed Fusion" Metals 14, no. 12: 1333. https://doi.org/10.3390/met14121333
APA StyleMiranda, F., dos Santos, M. O., Condotta, R., Pereira, N. M. G., Rodrigues, D., Janasi, S. R., Ortega, F. d. S., Mergulhão, M. V., Coelho, R. S., de Oliveira, R. R., Martinez, L. G., & Batalha, G. F. (2024). Additive Manufacturing of Tungsten Carbide (WC)-Based Cemented Carbides and Niobium Carbide (NbC)-Based Cermets with High Binder Content via Laser Powder Bed Fusion. Metals, 14(12), 1333. https://doi.org/10.3390/met14121333

