Characteristics of NH3–H2 Reducing Pellets
Abstract
1. Introduction
2. Materials and Methods
2.1. Materials
2.2. Instruments
2.3. Thermodynamic Analysis Method
3. Results and Discussion
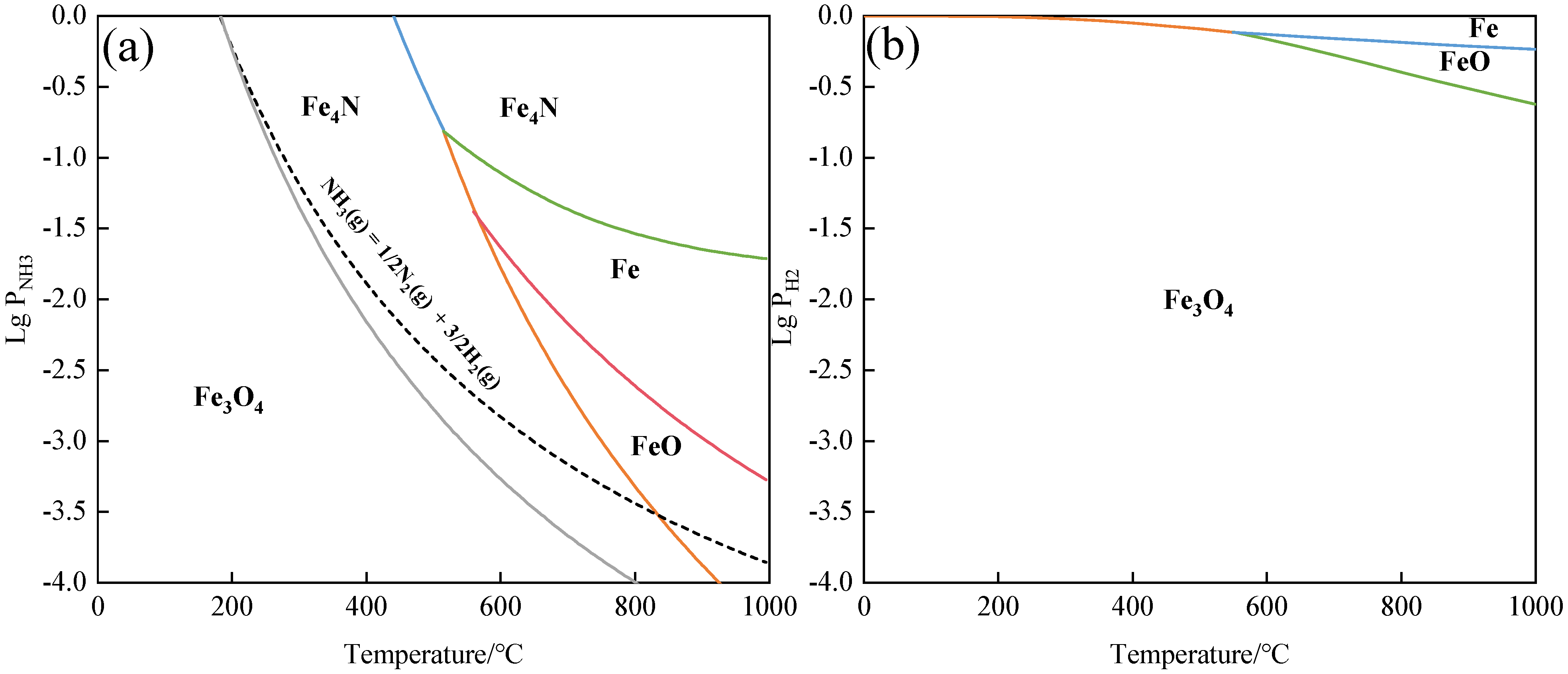
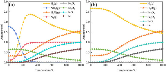
3.1. Thermodynamic Analysis of NH3–H2 Reduction in Pellets
3.2. Kinetics Analysis of NH3–H2 Reduction in Pellets
3.3. Structural Change of NH3–H2 Reduction Phase in Pellets
4. Conclusions
- (1)
- The nitrogen gas produced by ammonia decomposition reduces the reducing gas balance components. During the ammonia reduction of hematite at temperatures between 700 °C and 850 °C, the formation of iron nitride occurs within a narrow temperature range.
- (2)
- In the reduction process of 50 g pellets, the reduction rate with 100% NH₃ is slower than that with a 50% NH₃ and 50% H₂ mixture, which in turn is slower than that with 100% H₂. As the temperature increases, the reduction effect of the 50% NH₃ and 50% H₂ mixture approaches that of 100% H₂.
- (3)
- Among common gas-solid reaction models, the Phase-boundary-controlled models, specifically the Contracting cylinder model, is selected as the most likely mechanism. For the reduction of 50 g pellets, the activation energies for reactions with 100% NH₃, 50% NH₃ and 50% H₂, and 100% H₂ are 65.42, 54.37, and 29.17 kJ/mol, respectively. The decomposition of NH₃ negatively affects the reduction of Fe₂O₃.
- (4)
- XRD analysis and electron microscope surface scanning results indicate that Fe₄N is formed during the reduction of Fe₂O₃ with 100% NH₃. Using a 50% NH₃ and 50% H₂ mixture significantly reduces the formation of Fe₄N.
Author Contributions
Funding
Data Availability Statement
Conflicts of Interest
References
- Triana, T.; Brooks, G.A.; Rhamdhani, M.A.; Pownceby, M.I. Iron Oxide Direct Reduction and Iron Nitride Formation Using Ammonia: Review and Thermodynamic Analysis. J. Sustain. Metall. 2024, 10, 1428–1445. [Google Scholar] [CrossRef]
- Jovičević-Klug, M.; Ma, Y.; Jovičević-Klug, P.; Prabhakar, J.M.; Rohwerder, M.; Raabe, D. Thermal Kinetics and Nitriding Effect of Ammonia-Based Direct Reduction of Iron Oxides. ACS Sustain. Chem. Eng. 2024, 12, 9882–9896. [Google Scholar] [CrossRef] [PubMed]
- Lu, L.; Wang, H.; Wang, F.; Qiu, J.; Ping, X. Development status and application of hydrogen metallurgy technology. Iron Steel 2024, 59, 183–196. [Google Scholar]
- Miškovičová, Z.; Legemza, J.; Demeter, P.; Buľko, B.; Hubatka, S.; Hrubovčáková, M.; Futáš, P.; Findorák, R. An Overview Analysis of Current Research Status in Iron Oxides Reduction by Hydrogen. Metals 2024, 14, 589. [Google Scholar] [CrossRef]
- Zhang, X.; Jiao, K.; Zhang, J.; Guo, Z. A review on low carbon emissions projects of steel industry in the World. J. Clean. Prod. 2021, 306, 127259. [Google Scholar] [CrossRef]
- Chen, W.-H.; Sarles, P.; Park, Y.-K.; Rajendran, S.; Nguyen, T.-B.; Dong, C.-D. Thermodynamic analysis of novel ammonia addition to raw iron making followed by neural network development prediction. Fuel 2023, 353, 129246. [Google Scholar] [CrossRef]
- Xing, Y.; Cui, Y.K.; Tian, J.L.; Su, W.; Wang, W.L.; Zhang, X.; Liu, Y.; Zhao, X.J. Application status and prospect of low carbon technology in iron and steel industry. Chin. J. Eng. 2022, 44, 801–811. [Google Scholar]
- Kim, S.-H.; Zhang, X.; Ma, Y.; Filho, I.R.S.; Schweinar, K.; Angenendt, K.; Vogel, D.; Stephenson, L.T.; El-Zoka, A.A.; Mianroodi, J.R.; et al. Influence of microstructure and atomic-scale chemistry on the direct reduction of iron ore with hydrogen at 700 C. Acta Mater. 2021, 212, 116933. [Google Scholar] [CrossRef]
- Wang, R.R.; Zhao, Y.Q.; Babich, A.; Senk, D.; Fan, X.Y. Hydrogen direct reduction (H-DR) in steel industry—An overview of challenges and opportunities. J. Clean. Prod. 2021, 329, 129797. [Google Scholar] [CrossRef]
- Guo, X.Y.; Chen, Y.L.; Tian, Q.H. Research progress on hydrogen metallurgy theory and method. Chin. J. Nonferrous Met. 2021, 31, 1891–1906. [Google Scholar]
- Da Costa, A.R.; Wagner, D.; Patisson, F. Modelling a new, low CO2 emissions, hydrogen steelmaking process. J. Clean. Prod. 2013, 46, 27–35. [Google Scholar] [CrossRef]
- Yue, M.; Lambert, H.; Pahon, E.; Roche, R.; Jemei, S.; Hissel, D. Hydrogen energy systems: A critical review of technologies, applications, trends and challenges. Renew. Sustain. Energy Rev. 2021, 146, 111180. [Google Scholar] [CrossRef]
- Asif, M.; Bibi, S.S.; Ahmed, S.; Irshad, M.; Hussain, M.S.; Zeb, H.; Khan, M.K.; Kim, J. Recent advances in green hydrogen production, storage and commercial-scale use via catalytic ammonia cracking. Chem. Eng. J. 2023, 473, 145381. [Google Scholar] [CrossRef]
- He, T.; Pachfule, P.; Wu, H.; Xu, Q.; Chen, P. Hydrogen carriers. Nat. Rev. Mater. 2016, 1, 16059. [Google Scholar] [CrossRef]
- Sun, W.C. Basic Research on Reduction of Iron Ore by Ammonia. Master’s Thesis, University of Science and Technology Liaoning, Anshan, China, 2022; pp. 1–18. [Google Scholar]
- Iwamoto, I.; Kurniawan, A.; Hasegawa, H.; Kashiwaya, Y.; Nomura, T.; Akiyama, T. Reduction Behaviors and Generated Phases of Iron Ores using Ammonia as Reducing Agent. ISIJ Int. 2022, 62, 2483–2490. [Google Scholar] [CrossRef]
- Hosokai, S.; Kasiwaya, Y.; Matsui, K.; Okinaka, N.; Akiyama, T. Ironmaking with ammonia at low temperature. Environ. Sci. Technol. 2011, 45, 821–826. [Google Scholar] [CrossRef]
- Yasuda, N.; Mochizuki, Y.; Tsubouchi, N.; Akiyama, T. Reduction and nitriding behavior of hematite with ammonia. ISIJ Int. 2015, 55, 736–741. [Google Scholar] [CrossRef]
- Ma, Y.; Bae, J.W.; Kim, S.H.; Jovičević-Klug, M.; Li, K.; Vogel, D.; Ponge, D.; Rohwerder, M.; Gault, B.; Raabe, D. Reducing iron oxide with ammonia: A sustainable path to green steel. Adv. Sci. 2023, 10, 2300111. [Google Scholar] [CrossRef]
- GB/T 24189-2024; Iron Ores for Blast Furnace Feedstocks—Determination of the Reducibility by the Final Degree of Reduction Index. National Standard of the People’s Republic of China: Beijing, China, 2024.
- Heidari, A.; Niknahad, N.; Iljana, M.; Fabritius, T. A review on the kinetics of iron ore reduction by hydrogen. Materials 2021, 14, 7540. [Google Scholar] [CrossRef]
- Spreitzer, D.; Schenk, J. Reduction of iron oxides with hydrogen—A review. Steel Res. Int. 2019, 90, 1900108. [Google Scholar] [CrossRef]
- Wang, Z.C.; Liu, Z.G.; Tang, J.; Chu, M.S.; Xue, X.X. Analysis of gas thermodynamic utilization and reaction kinetic mechanism in shaft furnace. J. Iron Steel Res. Int. 2014, 21, 16–23. [Google Scholar] [CrossRef]
- Kovtun, O.; Levchenko, M.; Ilatovskaia, M.O.; Aneziris, C.G.; Volkova, O. Results of Hydrogen Reduction of Iron Ore Pellets at Different Temperatures. Steel Res. Int. 2024, 2300707. [Google Scholar] [CrossRef]
- Bai, M.H.; Long, H.; Ren, S.B.; Liu, D.; Zhao, C.F. Reduction behavior and kinetics of pellets under H2–N2 atmosphere. ISIJ Int. 2018, 58, 1034–1041. [Google Scholar] [CrossRef]
- Kovtun, O.; Levchenko, M.; Oldinski, E.; Gräbner, M.; Volkova, O. Swelling Behavior of pellets during Reduction in H2 and N2/H2 Atmospheres at Different Temperatures. Steel Res. Int. 2023, 94, 2300140. [Google Scholar] [CrossRef]












| Component | Content |
|---|---|
| TFe | 63.04 |
| FeO | 1.22 |
| CaO | 1.22 |
| MgO | 0.51 |
| SiO2 | 6.68 |
| Al2O3 | 0.73 |
| S | 0.04 |
| P | 0.00 |
| Case | Flow Rate [L/min] | |
|---|---|---|
| NH3 | H2 | |
| Case 1 | 7 | 0 |
| Case 2 | 3.5 | 3.5 |
| Case 3 | 0 | 7 |
Disclaimer/Publisher’s Note: The statements, opinions and data contained in all publications are solely those of the individual author(s) and contributor(s) and not of MDPI and/or the editor(s). MDPI and/or the editor(s) disclaim responsibility for any injury to people or property resulting from any ideas, methods, instructions or products referred to in the content. |
© 2024 by the authors. Licensee MDPI, Basel, Switzerland. This article is an open access article distributed under the terms and conditions of the Creative Commons Attribution (CC BY) license (https://creativecommons.org/licenses/by/4.0/).
Share and Cite
Zhang, X.; Fan, Z.; Mi, A.; Cong, J.; Hu, Z.; Yang, J.; Wen, B. Characteristics of NH3–H2 Reducing Pellets. Metals 2024, 14, 1314. https://doi.org/10.3390/met14121314
Zhang X, Fan Z, Mi A, Cong J, Hu Z, Yang J, Wen B. Characteristics of NH3–H2 Reducing Pellets. Metals. 2024; 14(12):1314. https://doi.org/10.3390/met14121314
Chicago/Turabian StyleZhang, Xiaoping, Zihao Fan, Ao Mi, Junqiang Cong, Zhenghong Hu, Jialong Yang, and Baoliang Wen. 2024. "Characteristics of NH3–H2 Reducing Pellets" Metals 14, no. 12: 1314. https://doi.org/10.3390/met14121314
APA StyleZhang, X., Fan, Z., Mi, A., Cong, J., Hu, Z., Yang, J., & Wen, B. (2024). Characteristics of NH3–H2 Reducing Pellets. Metals, 14(12), 1314. https://doi.org/10.3390/met14121314

