Modeling and Parametric Study of Spent Refractory Material Dissolution in an Aluminum Reduction Cell
Abstract
1. Introduction
2. Modeling and Methods
2.1. Mass Transfer Model
2.2. Heat Transfer Model
2.3. Calculation Conditions
3. Results and Discussion
3.1. Effect of Concentration on SRM Dissolution
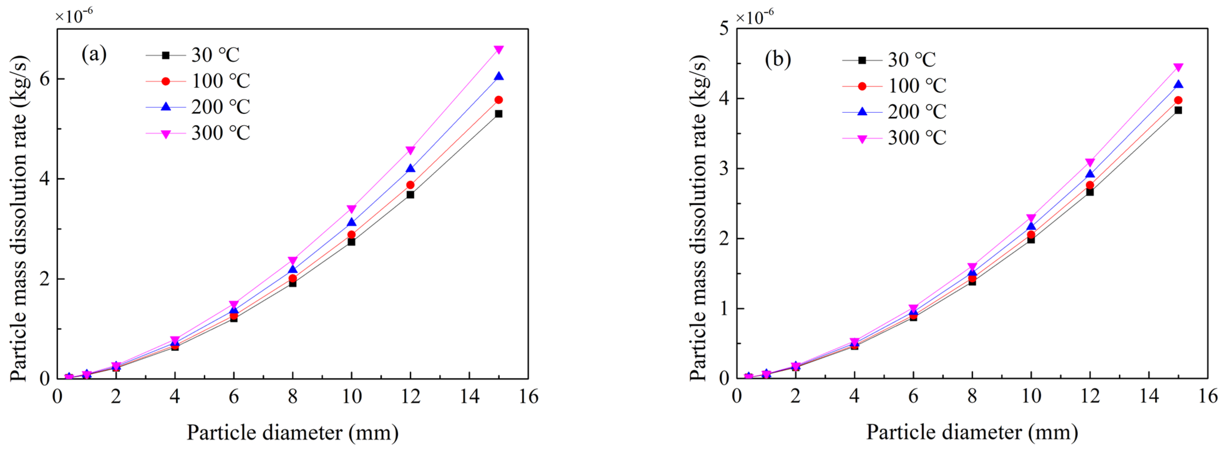
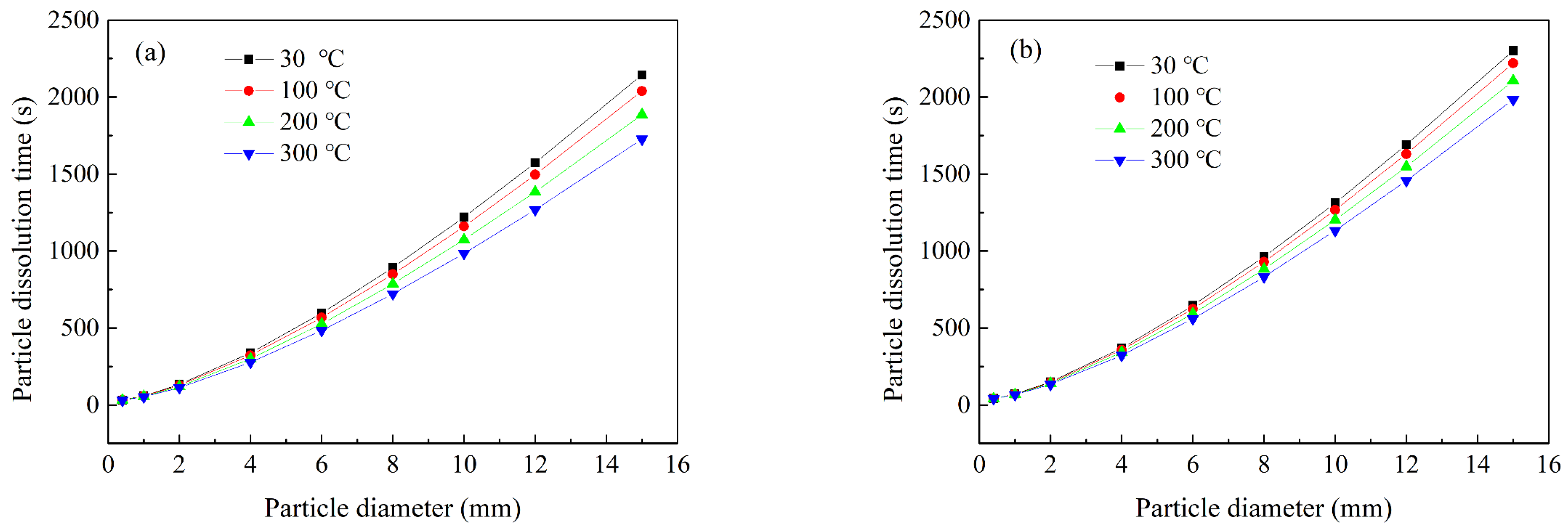
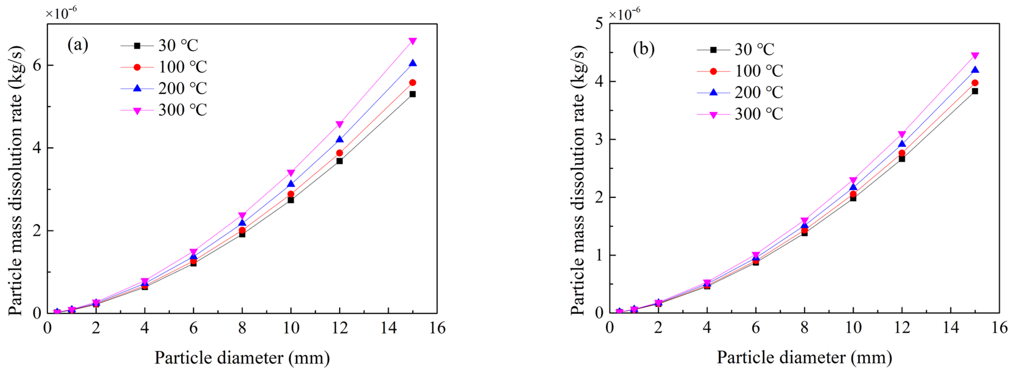
3.2. Effect of Electrolyte Superheat on SRM Dissolution
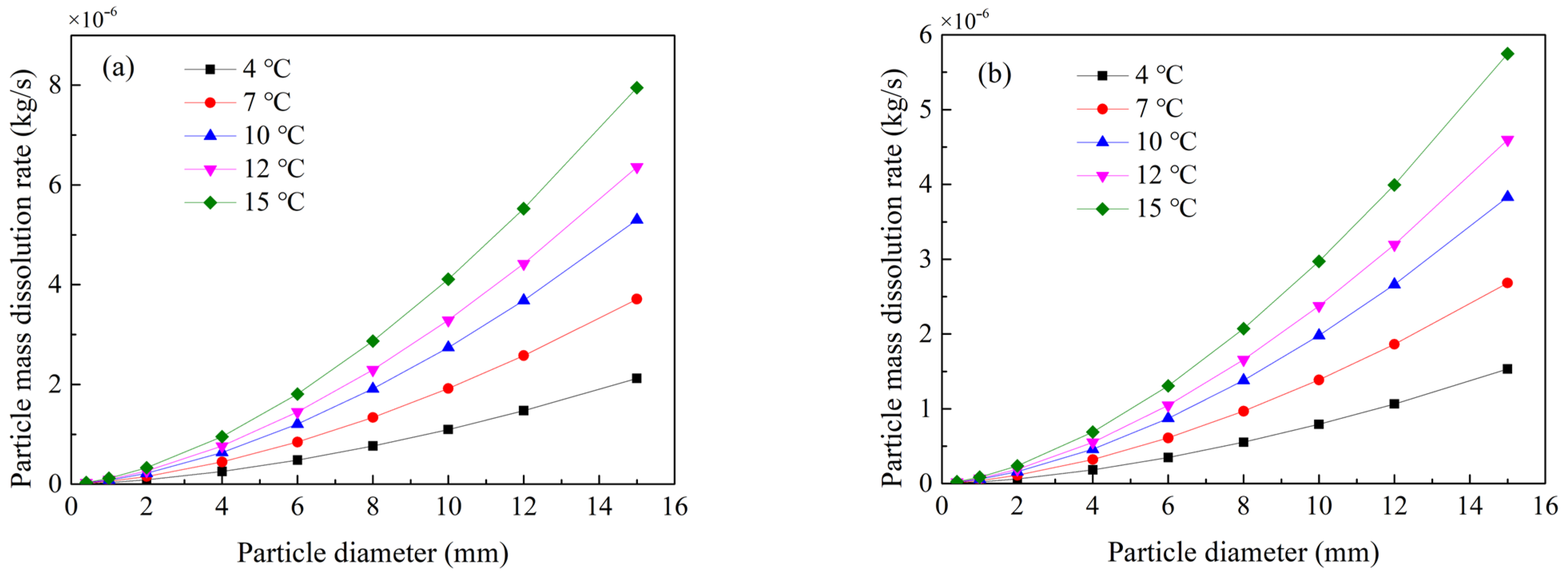
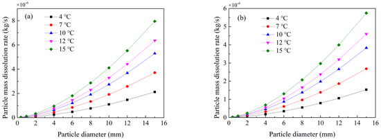
3.3. Effect of Particle Temperature on SRM Dissolution
3.4. Effect of Turbulent Kinetic Energy Dissipation Rate on SRM Dissolution
3.5. Model Validation
4. Conclusions
- (1)
- Non-agglomerated SRM particles can dissolve within 50 s, and as the concentration decreases, the mass dissolution rate increases and the time required for complete dissolution is shorter. For example, when the silica concentration in the electrolyte is reduced to 0.2 wt%, the time required for the complete dissolution of non-agglomerated SRM particles is reduced to 33 s. On the premise that no anode effect occurs, the alumina and silica concentrations should be kept as low as possible.
- (2)
- By increasing the particle temperature and the electrolyte superheat, the mass dissolution rate of the agglomerated SRM particles can be accelerated and the dissolution time shortened. However, increasing the electrolyte superheat has a greater effect on accelerating the dissolution of agglomerated SRM particles than increasing the particle temperature. In practical applications, the electrolyte temperature can be increased accordingly.
- (3)
- Regardless of whether the SRM particles are non-agglomerated or agglomerated, increasing the turbulent kinetic energy dissipation rate can increase the mass dissolution rate and shorten the dissolution time. The tilted anode can be used to allow more bubbles to escape from the feeding point and increase the turbulent kinetic energy dissipation rate of the electrolyte, thereby accelerating the dispersion and dissolution of the SRM particles.
Author Contributions
Funding
Data Availability Statement
Conflicts of Interest
References
- Yang, J.; Lu, X.; Meng, F.; Li, H. Dissolution behavior of overhaul slag from aluminum reduction cell in a cryolite-based molten salt system. Energy Rep. 2023, 9, 118–127. [Google Scholar] [CrossRef]
- Zhao, H.; Ma, B.; Hong, S.; Huang, H.; Liu, F.; Sohn, H.Y. Recovery of copper and cobalt from converter slags via reduction–sulfurization smelting using spent pot lining as the reductant. ACS Sustain. Chem. Eng. 2021, 9, 4234–4246. [Google Scholar] [CrossRef]
- Miksa, D.; Homsak, M.; Samec, N. Spent potlining utilisation possibilities. Waste Manag. Res. 2003, 21, 467–473. [Google Scholar] [CrossRef] [PubMed]
- Chen, Y.; Li, P.; Bu, X.; Chelgani, S.C.; Kong, Y.; Liang, X. Resource utilization strategies for spent pot lining: A review of the current state. Sep. Purif. Technol. 2022, 300, 121816. [Google Scholar] [CrossRef]
- Li, J.; Tu, H.; Li, X.; Chen, Y.; Zhou, T.; Li, Z.; Zhao, Z.; Liu, Y. Resourceful modification mechanism of modified electrolytic aluminum spent refractory material and its long-term safety performance assessment. Constr. Build. Mater. 2024, 418, 135254. [Google Scholar] [CrossRef]
- Li, N.; Gao, L.; Chattopadhyay, K. Experimental Study on the Collecting Agent for Spent Potlining Flotation Index Optimization; Tomsett, A., Ed.; Light Metals: Warrendale, PA, USA, 2020; pp. 1243–1250. [Google Scholar]
- Robshaw, T.J.; Bonser, K.; Coxhill, G.; Dawson, R.; Ogden, M.D. Development of a combined leaching and ion-exchange system for valorisation of spent potlining waste. Waste Biomass Valorization 2020, 11, 5467–5481. [Google Scholar] [CrossRef]
- Tropenauer, B.; Klinar, D.; Golob, J. Improved understanding of Sodium hydroxide concentration role and kinetic model of cryolite reactive extraction in cathode Spent Pot Linings. Pol. J. Chem. Technol. 2021, 23, 37–44. [Google Scholar] [CrossRef]
- Liang, X.; Zhang, J.; Lu, Z.; Liu, Z.; Liu, P. Research on Wet Acid-Free Treatment Technology for SPL; Perander, L., Ed.; Light Metals: Warrendale, PA, USA, 2021; pp. 467–473. [Google Scholar]
- Renó, M.L.G.; Torres, F.M.; Silva, R.J.d.; Santos, J.J.C.S.; Melo, M.d.L.N.M. Exergy analyses in cement production applying waste fuel and mineralizer. Energy Convers. Manag. 2013, 75, 98–104. [Google Scholar] [CrossRef]
- Ghenai, C.; Inayat, A.; Shanableh, A.; Al-Sarairah, E.; Janajreh, I. Combustion and emissions analysis of Spent Pot lining (SPL) as alternative fuel in cement industry. Sci. Total Environ. 2019, 684, 519–526. [Google Scholar] [CrossRef]
- Wang, Y.; Huan, S.; Di, Y.; Peng, J. The harmless of spent refractory in aluminum electrolysis cells and summary of its treatment. Conserv. Util. Min. Resour. 2019, 39, 42–47. [Google Scholar]
- Tu, H.; Li, X.; Muhammad, Y.; Jin, X.; Lin, H.; Pei, R.; Zhao, Z.; Li, J. Feasibility of reuse of modified electrolytic aluminium spent refractory material in asphalt and assessment of its environmental stability. J. Clean. Prod. 2023, 389, 136072. [Google Scholar] [CrossRef]
- Hou, W.; Li, M.; Li, H. Industrial experimental research on co-processing of spent refractory materials in aluminum electrolytic cell. J. Cent. South Univ. 2023, 54, 587–594. [Google Scholar]
- Hou, W.; Li, H.; Li, M.; Cheng, B. Recycling of spent refractory materials to produce Al-Si master alloys via the aluminum reduction cell. J. Clean. Prod. 2021, 289, 125162. [Google Scholar] [CrossRef]
- Hou, W.; Wang, J.; Li, H. Theoretical investigation of thermodynamic properties of the Al–Si–Fe ternary alloy. ACS Omega 2024, 9, 6316–6324. [Google Scholar] [CrossRef] [PubMed]
- Thonstad, J.; Solheim, A.; Rolseth, S.; Skar, O. The Dissolution of Alumina in Cryolite Melts; Boxall, G., Ed.; Light Metals: Warrendale, PA, USA, 1988; pp. 105–111. [Google Scholar]
- Alarie, J.; Kiss, L.I.; Dion, L.; Guérard, S.; Bilodeau, J.-F.; Santerre, R. Determination of the alumina diffusivity and dissolution rate for alumina samples immersed in a cryolitic bath. Materialia 2023, 32, 101901. [Google Scholar] [CrossRef]
- Kovács, A.; Breward, C.J.W.; Einarsrud, K.E.; Halvorsen, S.A.; Nordgård-Hansen, E.; Manger, E.; Münch, A.; Oliver, J.M. A heat and mass transfer problem for the dissolution of an alumina particle in a cryolite bath. Int. J. Heat Mass Transfer 2020, 162, 120232. [Google Scholar] [CrossRef]
- Wang, J.; Li, M.; Cheng, B.; Li, H. Modelling the formation and dissolution behavior of alumina agglomerate in the cryolite. Particuology 2024, 86, 211–222. [Google Scholar] [CrossRef]
- Li, M.; Wang, J.; Hou, W.; Cheng, B.; Li, H. Mathematical model of the dissolution process of alumina particles in the Hall-Héroult process. Int. Commun. Heat Mass Transfer 2021, 128, 105627. [Google Scholar] [CrossRef]
- Taylor, M.P.; Welch, B.J.; McKibbin, R. Effect of convective heat transfer and phase change on the stability of aluminium smelting cells. AIChE J. 1986, 32, 1459–1465. [Google Scholar] [CrossRef]
- Hou, W.; Li, H.; Li, M.; Cheng, B.; Feng, Y. Effects of electrolysis process parameters on alumina dissolution and their optimization. Trans. Nonferrous Met. Soc. China 2020, 30, 3390–3403. [Google Scholar] [CrossRef]
- Li, S.; Li, M.; Hou, W.; Li, H.; Cheng, B. Simulation of alumina dissolution and temperature response under different feeding quantities in aluminum reduction cell. J. Cent. South Univ. 2019, 26, 2119–2128. [Google Scholar] [CrossRef]
- Feng, Y.; Schwarz, M.P.; Yang, W.; Cooksey, M. Two-phase CFD model of the bubble-driven flow in the molten electrolyte layer of a Hall–Héroult aluminum cell. Metall. Mater. Trans. B 2015, 46, 1959–1981. [Google Scholar] [CrossRef]
- Hou, W.; Sun, K.; Sun, S.; Li, M. Numerical investigation of electro-thermal field distribution law of busbar under different operating conditions. Metals 2023, 13, 1361. [Google Scholar] [CrossRef]
- Armenante, P.M.; Kirwan, D.J. Mass transfer to microparticles in agitated systems. Chem. Eng. Sci. 1989, 44, 2781–2796. [Google Scholar] [CrossRef]
- Cao, H.; Amador, C.; Jia, X.; Li, Y.; Ding, Y. A modelling framework for bulk particles dissolving in turbulent regime. Chem. Eng. Res. Des. 2016, 114, 108–118. [Google Scholar] [CrossRef]
- Solheim, A.; Skybakmoen, E. Mass- and Heat Transfer during Dissolution of Alumina; Tomsett, A., Ed.; Light Metals: Warrendale, PA, USA, 2020; pp. 664–671. [Google Scholar]
- Berezin, A.I.; Isaeva, L.A.; Belolipetsky, V.M.; Piskazhova, T.V.; Sinelnikov, V.V. A Model of Dissolution and Heating of Alumina Charged by Point-Feeding System in “Virtual Cell” Program; Kvande, H., Ed.; Light Metals: Warrendale, PA, USA, 2005; pp. 151–154. [Google Scholar]
- NIST-JANAF Thermochemical Tables. Available online: https://kinetics.nist.gov (accessed on 15 December 2022).
- Walker, D.I. Alumina in Aluminum Smelting and Its Behaviour after Addition to Cryolite-Based Electrolytes. Ph.D. Thesis, University of Toronto, Toronto, ON, Canada, 1993. [Google Scholar]
- Østbø, N.P. Evolution of Alpha Phase Alumina in Agglomerates upon Addition to Cryolitic Melts. Ph.D. Thesis, Norwegian University of Science and Technology, Trondheim, Norway, 2002. [Google Scholar]
- Hou, W. Theoretical and Application Study on Co-Processing Spent Refractory Materials in the Aluminum Reduction Cell. Ph.D. Thesis, Central South University, Changsha, China, 2021. [Google Scholar]
- Lillebuen, B.; Bugge, M.; Hlie, H. Alumina Dissolution and Current Efficiency in Hall-Heroult Cells; Bearne, G., Ed.; Light Metals: Warrendale, PA, USA, 2009; pp. 389–394. [Google Scholar]











| Temperature (K) | cp,AlO (J·kg−1·K−1) | cp,SiO (J·kg−1·K−1) |
|---|---|---|
| 298 | 811.07 | 743.15 |
| 300 | 815.19 | 746.15 |
| 400 | 986.29 | 890.50 |
| 500 | 1089.41 | 994.05 |
| 600 | 1155.25 | 1073.62 |
| 700 | 1200.22 | 1146.13 |
| 800 | 1233.16 | 1228.35 |
| 900 | 1259.09 | 1132.47 |
| 1000 | 1280.74 | 1149.20 |
| 1100 | 1299.59 | 1165.93 |
| 1200 | 1316.47 | 1182.68 |
| 1300 | 1331.72 | 1199.42 |
| Diameter/μm | 45 | 53 | 75 | 106 | 150 | 200 |
| Percentage/wt% | 40.6 | 11.1 | 21.0 | 15.6 | 6.7 | 5.0 |
| Diameter/mm | 0.4 | 1 | 2 | 4 | 6 | 8 | 10 | 12 | 15 |
| Percentage/wt% | 10.8 | 20.1 | 19.2 | 20.6 | 11.2 | 7.0 | 4.7 | 3.3 | 3.1 |
| Physical Parameters | Units | Values |
|---|---|---|
| Density of electrolyte | kg/m3 | 2050 |
| Density of alumina particle | kg/m3 | 4000 |
| Density of alumina agglomerate | kg/m3 | 2975 |
| Density of silica particle | kg/m3 | 2600 |
| Density of silica agglomerate | kg/m3 | 2300 |
| Viscosity of electrolyte | Pa·s | 2.51 × 10−3 |
| Alumina concentration | wt% | 3 |
| Saturation concentration of alumina | wt% | 10 |
| Silica concentration | wt% | 0.5 |
| Saturation concentration of silica | wt% | 5 |
| Particle temperature | °C | 30 |
| Liquidus temperature of electrolyte | °C | 950 |
| Superheat | °C | 10 |
| Turbulent kinetic energy dissipation rate | m2/s3 | 0.015 |
| Thermal conductivity of bath | W/(m·K) | 1.69 |
| Specific heat capacity of bath | J/(kg·K) | 1660 |
| Diffusion coefficient of alumina | m2/s | 1.5 × 10−9 |
| Diffusion coefficient of silica | m2/s | 1.0 × 10−9 |
Disclaimer/Publisher’s Note: The statements, opinions and data contained in all publications are solely those of the individual author(s) and contributor(s) and not of MDPI and/or the editor(s). MDPI and/or the editor(s) disclaim responsibility for any injury to people or property resulting from any ideas, methods, instructions or products referred to in the content. |
© 2024 by the authors. Licensee MDPI, Basel, Switzerland. This article is an open access article distributed under the terms and conditions of the Creative Commons Attribution (CC BY) license (https://creativecommons.org/licenses/by/4.0/).
Share and Cite
Hu, X.; Hou, W.; Liu, W.; Li, M.; Li, H. Modeling and Parametric Study of Spent Refractory Material Dissolution in an Aluminum Reduction Cell. Metals 2024, 14, 1128. https://doi.org/10.3390/met14101128
Hu X, Hou W, Liu W, Li M, Li H. Modeling and Parametric Study of Spent Refractory Material Dissolution in an Aluminum Reduction Cell. Metals. 2024; 14(10):1128. https://doi.org/10.3390/met14101128
Chicago/Turabian StyleHu, Xia, Wenyuan Hou, Wei Liu, Mao Li, and Hesong Li. 2024. "Modeling and Parametric Study of Spent Refractory Material Dissolution in an Aluminum Reduction Cell" Metals 14, no. 10: 1128. https://doi.org/10.3390/met14101128
APA StyleHu, X., Hou, W., Liu, W., Li, M., & Li, H. (2024). Modeling and Parametric Study of Spent Refractory Material Dissolution in an Aluminum Reduction Cell. Metals, 14(10), 1128. https://doi.org/10.3390/met14101128

