Design of Aluminum Alloy H-Sections under Minor-Axis Bending
Abstract
1. Introduction
2. Numerical Studies
2.1. Finite Element Model
2.2. Validation of Finite Element Model
2.3. Parametric Studies
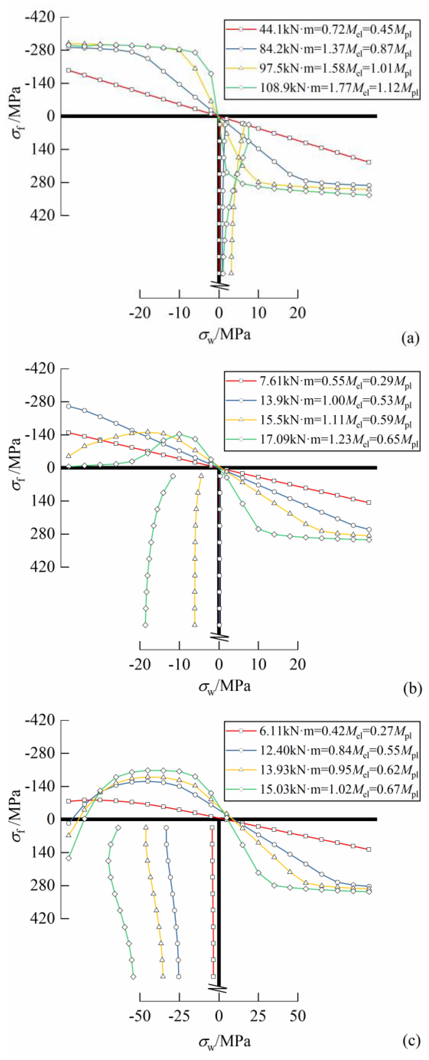
3. Failure Mechanism for H Sections under Minor Axis Bending
4. Assessment of Design Predictions
4.1. EN1999-1-1
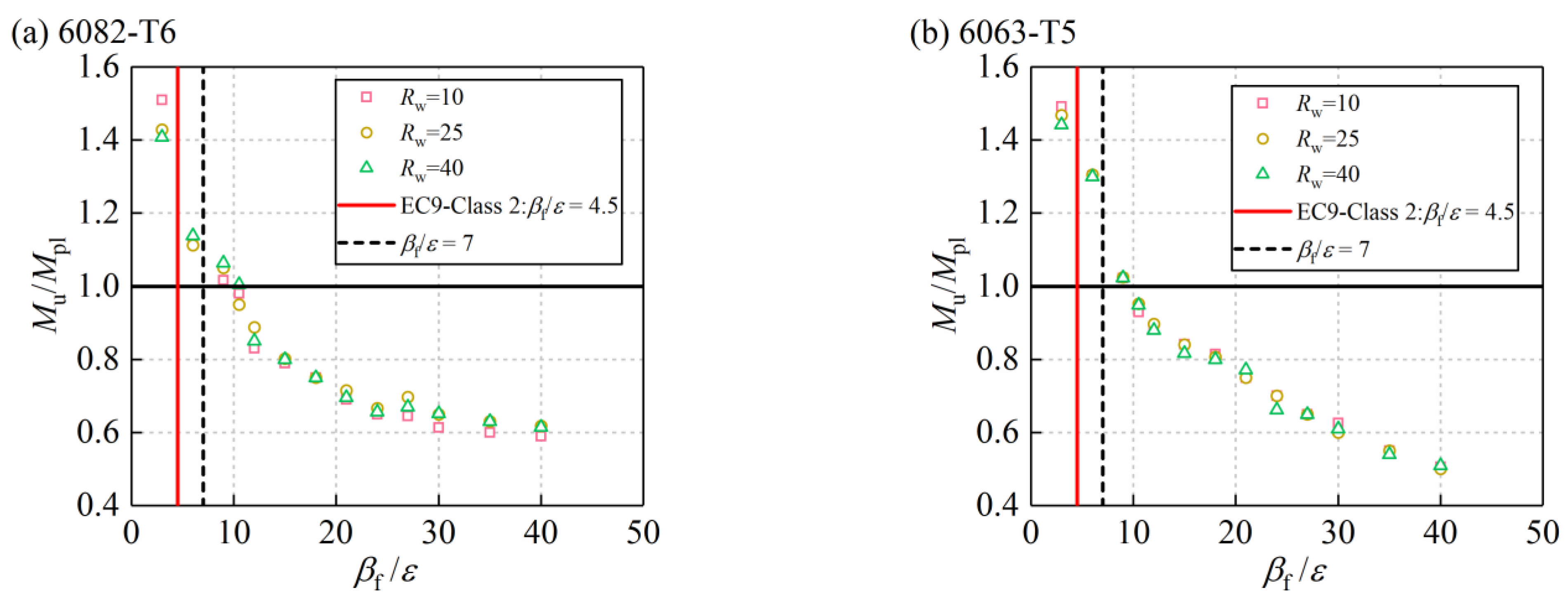
4.1.1. Class 2 and Class 3 Slenderness Limits for Outstand Elements
4.1.2. Strength Predictions
4.2. AS/NZS 4600
- (1)
- Outstand elements under stress gradient causing compression at both longitudinal edges:
- (2)
- Outstand elements under stress gradient causing compression at the free edge and tension at the supported edge:
- (3)
- Outstand elements under stress gradient causing compression at the supported edge and tension at the free edge:
5. Design Proposals
6. Conclusions
- (1)
- Even though EN 1999-1-1 adopted the classification framework for aluminum alloy cross-sections, an apparent underestimation in resistance predictions was observed for all analyzed sections. The highest discrepancies with numerical strengths were mostly obtained for the Class 3 and Class 4 sections. The flange slenderness was found to govern the behavior and non-dimensional strength of H-sections under this load case.
- (2)
- The plate stress gradient factor η = 1.0 is used by the effective thickness method in EN 1999-1-1 for an outstand element under stress gradient with peak compression at the tip, which is equivalent to a buckling coefficient of k = 0.425 in AS/NZS 4600. This was found conservative since the stress gradient effect is ignored.
- (3)
- The EWM design strength predictions are quite improved compared with EC9 because they are able to take into account the effects of strain hardening and the stress gradient for the Class 3 and Class 4 sections, respectively. In this paper, a design method for calculating the bending capacity of H-sections under minor-axis bending considering the inelastic response is presented. The proposed method provides accurate strength determination and is shown to compare well the numerical data.
- (4)
- The strength predictions based on the proposed method can also be extended to design steel H-beams under minor axis bending. Comparisons with the experimental data in [31] show that compared with the effective width method, the proposed method provides more accurate resistance predictions.
- (5)
- Since aluminum alloy is a relatively more expensive material than steel, it is necessary to achieve significant material savings. This could be achieved through more economical design solutions such as plastic design. Current design rules in EC9 are shown to result in bending capacities that were overly conservative for H-sections in minor-axis bending. This paper provides a design approach based on inelastic reserve capacity for such members, which achieves a cost-efficient design solution.
Author Contributions
Funding
Institutional Review Board Statement
Informed Consent Statement
Data Availability Statement
Conflicts of Interest
References
- Mazzolani, F.M. Structural Applications of Aluminium in Civil Engineering. Struct. Eng. Int. 2006, 16, 280–285. [Google Scholar] [CrossRef]
- Yuan, L.; Zhang, Q.; Luo, X.; Ouyang, Y.; Yin, J. Shear resistance of aluminum alloy extruded H-Section beams. Thin-Walled Struct. 2021, 159, 107219. [Google Scholar] [CrossRef]
- Bartsch, H.; Eyben, F.; Pauli, G.; Schaffrath, S.; Feldmann, M. Experimental and Numerical Investigations on the Rotation Capacity of High-Strength Steel Beams. J. Struct. Eng. 2021, 147, 04021067. [Google Scholar] [CrossRef]
- Nassiraei, H.; Lotfollahi-Yaghin, M.A.; Ahmadi, H. Structural behavior of tubular T/Y-joints with collar plate under static in-plane bending. J. Constr. Steel Res. 2016, 123, 121–134. [Google Scholar] [CrossRef]
- Nassiraei, H. Local joint flexibility of CHS T/Y-connections strengthened with collar plate under in-plane bending load: Par-ametric study of geometrical effects and design formulation. Ocean Eng. 2020, 202, 107054. [Google Scholar] [CrossRef]
- Wang, Z.X.; Wang, Y.Q.; Sojeong, J.; Ouyang, Y.W. Experimental investigation and parametric analysis on overall buckling be-havior of large-section aluminum alloy columns under axial compression. Thin-Walled Struct. 2018, 122, 585–596. [Google Scholar] [CrossRef]
- Yuan, L.; Zhang, Q.; Ouyang, Y.W. Experimental investigation and design method of the flexural buckling resistance of high-strength aluminum alloy H-columns. Structures 2022, 35, 1339–1349. [Google Scholar] [CrossRef]
- Wang, Y.Q.; Yuan, H.X.; Chang, T.; Du, X.X.; Yu, M. Compressive buckling strength of extruded aluminium alloy I-section columns with fixed-pinned end conditions. Thin-Walled Struct. 2017, 119, 396–403. [Google Scholar] [CrossRef]
- Wang, Y.Q.; Yuan, H.X.; Shi, Y.J.; Cheng, M. Lateral-torsional buckling resistance of aluminium I-beams. Thin-Walled Struct. 2012, 50, 24–36. [Google Scholar] [CrossRef]
- Cheng, M.; Shi, Y.; Wang, Y. Analysis of lateral stability of I-section aluminum beams. Sci. China Ser. E Technol. Sci. 2006, 49, 742–751. [Google Scholar] [CrossRef]
- EN 1999-1-1:2007; Eurocode 9: Design of Aluminium Structures. Part 1-1: General Structural Rules—General Structural Rules and Rules for Buildings. European Committee for Standarization (EC9): Brussels, Belgium, 2007.
- Wang, Y.Q.; Wang, Z.X.; Yin, F.X.; Yang, L.; Shi, Y.J.; Yin, J. Experimental study and finite element analysis on the local buckling behavior of aluminium alloy beams under concentrated loads. Thin-Walled Struct. 2016, 105, 44–56. [Google Scholar] [CrossRef]
- Yuan, H.X.; Wang, Y.Q.; Chang, T.; Du, X.X.; Bu, Y.D.; Shi, Y.J. Local buckling and postbuckling strength of extruded aluminium alloy stub columns with slender I-sections. Thin-Walled Struct. 2015, 90, 140–149. [Google Scholar] [CrossRef]
- Bambach, M. Local buckling and post-local buckling redistribution of stress in slender plates and sections. Thin-Walled Struct. 2006, 44, 1118–1128. [Google Scholar] [CrossRef]
- Faella, C.; Mazzolani, F.M.; Piluso, V.; Rizzano, G. Local Buckling of Aluminum Members: Testing and Classification. J. Struct. Eng. 2000, 126, 353–360. [Google Scholar] [CrossRef]
- Langseth, M.; Hopperstad, O. Local buckling of square thin-walled Aluminium extrusions. Thin-Walled Struct. 1997, 27, 117–126. [Google Scholar] [CrossRef]
- Zhang, Q.; Yuan, L.; Ouyang, Y. Local buckling strength of high-strength aluminum alloy H-sections under combined compression and major-axis bending. In Proceedings of the IASS 2022 Symposium Affiliated with APCS 2022 Conference, Beijing, China, 19–22 September 2022. [Google Scholar]
- Hopperstad, O.S.; Langseth, M.; Tryland, T. Ultimate strength of aluminium alloy outstands in compression: Experiments and simplified analysis. Thin-Walled Struct. 1999, 34, 279–294. [Google Scholar] [CrossRef]
- Mazzolani, F.M.; Piluso, V.; Rizzano, G. Local Buckling of Aluminum Alloy Angles under Uniform Compression. J. Struct. Eng. 2011, 137, 173–184. [Google Scholar] [CrossRef]
- Su, M.-N.; Young, B.; Gardner, L. Classification of aluminium alloy cross-sections. Eng. Struct. 2017, 141, 29–40. [Google Scholar] [CrossRef]
- Georgantzia, E.; Gkantou, M.; Kamaris, G.S.; Kansara, K.D. Design of aluminium alloy channel sections under minor axis bending. Thin-Walled Struct. 2004, 174, 109098. [Google Scholar] [CrossRef]
- Bambach, M.R.; Rasmussen, K.J.R. Tests of Unstiffened Plate Elements Under Combined Compression and Bending. J. Struct. Eng. 2004, 130, 1602–1610. [Google Scholar] [CrossRef]
- Bambach, M.R.; Rasmusse, K.J. Effective widths of unstiffened elements with stress gradient. J. Struct. Eng. 2004, 130, 1611–1619. [Google Scholar] [CrossRef][Green Version]
- Bambach, M.R.; Rasmussen, K.J.R. Design Provisions for Sections Containing Unstiffened Elements with Stress Gradient. J. Struct. Eng. 2004, 130, 1620–1628. [Google Scholar] [CrossRef]
- AS/NZS 4600; Cold-Formed Steel Structures. Australian/New Zealand Standard (AS/NZS): Sydney, Australia, 1996.
- Karlsson Hibbitt, Sorensen, Inc. ABAQUS, ABAQUS/Standard User’s Manual Volumes I-III and ABAQUS CAE Manual; Version 2016; Karlsson Hibbitt, Sorensen, Inc.: Pawtucket, RI, USA, 2016. [Google Scholar]
- Ramberg, W.; Osgood, W.R. Description of Stress–Strain Curves by Three Parameters; National Advisory Committee for Aeronautics: Washington, DC, USA, 1943; p. 902. [Google Scholar]
- Fieber, A.; Gardner, L.; Macorini, L. Formulae for determining elastic local buckling half-wavelengths of structural steel cross-sections. J. Constr. Steel Res. 2019, 159, 493–506. [Google Scholar] [CrossRef]
- GB 5237.1-2008; Aluminum Alloy Extruded Profiles for Architecture, Part 1: MILL Finish Profiles. Standards Press of China: Beijing, China, 2008. (In Chinese)
- Mazzolani, F.M. Aluminum Alloy Structures; CRC Press: London, UK, 1994. [Google Scholar]
- Rusch, A.; Lindner, J. Remarks to the Direct Strength Method. Thin-Walled Struct. 2001, 39, 807–820. [Google Scholar] [CrossRef]
- Bambach, M.; Rasmussen, K.; Ungureanu, V. Inelastic behaviour and design of slender I-sections in minor axis bending. J. Constr. Steel Res. 2007, 63, 1–12. [Google Scholar] [CrossRef]
- Kim, Y. Behavior and Design of Aluminum Members in Bending. Ph.D. Thesis, Cornell University, Ithaca, NY, USA, 2003. [Google Scholar]
















| Mesh | Ultimate Moment (kN m) | Maximum Mises Stress (MPa) | Relative CPU Time |
|---|---|---|---|
| Coarse (15 mm) | 11.63 | 540.2 | 0.28 |
| Normal (10 mm) | 11.69 | 561.8 | 0.69 |
| Fine (8 mm) | 11.72 | 562.0 | 1.00 |
| Very fine (5 mm) | 11.73 | 562.3 | 2.56 |
| Specimen | B (mm) | hw (mm) | t (mm) | fy (MPa) | Mu,test1 (kN m) | Mu,test2 (kN m) | Mu,FE (kN m) | |
|---|---|---|---|---|---|---|---|---|
| B009 | 100 | 80 | 1.9 | 228 | 1.75 | 1.76 | 1.87 | 0.94 |
| B015 | 100 | 80 | 2.0 | 368 | 2.61 | 2.59 | 2.91 | 0.89 |
| B005 | 150 | 80 | 1.9 | 230 | 3.32 | 3.34 | 3.52 | 0.95 |
| B007 | 150 | 80 | 1.5 | 188 | 2.12 | 2.2 | 2.16 | 1.00 |
| B013 | 150 | 80 | 2.0 | 368 | 5.16 | 5.13 | 5.52 | 0.93 |
| B003 | 200 | 80 | 1.9 | 230 | 5.55 | 5.46 | 5.59 | 0.98 |
| B001 | 200 | 80 | 1.5 | 188 | 3.36 | 3.36 | 3.43 | 0.98 |
| B011 | 200 | 80 | 2.0 | 368 | 8.42 | 8.36 | 8.81 | 0.95 |
| Mean | - | - | - | - | - | - | - | 0.953 |
| St.Dev | - | - | - | - | - | - | - | 0.035 |
| Variables | Values |
|---|---|
| 13 flange slenderness ratios Rf = bf/(tf ε) | 3, 4.5, 6,9, 12, 15, 18, 21, 24, 27, 30, 35, 40 |
| 3 web slenderness ratios Rw = hw/(tw ε) | 10, 25, 40 |
| 2 aluminum alloys | 6063-T5, 6082-T6 |
| Section depth | H = H0 + tf (H0 = 200 mm) |
| Section width | B = 200 mm |
| Material | E (MPa) | f0.2 (MPa) | σu (MPa) | n | εu (%) | Buckling Class |
|---|---|---|---|---|---|---|
| 6082-T6 | 70,000 | 286 | 317 | 32.7 | 8.8 | A |
| 6063-T5 | 70,000 | 164 | 211 | 10.0 | 7.3 | B |
| fu/f0.2 | Class A Alloys β3/ε | Class B Alloys β3/ε |
|---|---|---|
| 1.00 | 16.4 | 14.7 |
| 1.05 | 19.0 | 17.1 |
| 1.10 | 22.4 | 20.1 |
| 1.15 | 27.0 | 24.3 |
| 1.20 | 33.6 | 30.2 |
| 1.25 | 44.0 | 39.5 |
| 1.30 | 62.4 | 56.1 |
| Design Method | Class A Alloys | Class B Alloys | ||
|---|---|---|---|---|
| β2/ε | β3/ε | β2/ε | β3/ε | |
| EC9 | 4.5 | 6 | 4.5 | 5 |
| Proposal | 7 | 16.4 | 7 | 14.7 |
| Specimen | Mu,test (kN m) | Mu,d (kN m) | Mu,EWM (kN m) | Mu,test/Mu,d | Mu,test/Mu,EWM |
|---|---|---|---|---|---|
| B009 | 1.76 | 1.76 | 1.87 | 1.31 | 1.994 |
| B015 | 2.60 | 2.59 | 2.91 | 1.22 | 1.887 |
| B005 | 3.33 | 3.34 | 3.52 | 1.17 | 1.916 |
| B007 | 2.16 | 2.2 | 2.16 | 1.18 | 1.965 |
| B013 | 5.15 | 5.13 | 5.52 | 1.13 | 1.862 |
| B003 | 5.51 | 5.46 | 5.59 | 1.13 | 1.909 |
| B001 | 3.36 | 3.36 | 3.43 | 1.07 | 1.890 |
| B011 | 8.39 | 8.36 | 8.81 | 1.06 | 1.854 |
| Mean | - | - | - | 1.157 | 1.910 |
| CoV | - | - | - | 0.070 | 0.025 |
Disclaimer/Publisher’s Note: The statements, opinions and data contained in all publications are solely those of the individual author(s) and contributor(s) and not of MDPI and/or the editor(s). MDPI and/or the editor(s) disclaim responsibility for any injury to people or property resulting from any ideas, methods, instructions or products referred to in the content. |
© 2023 by the authors. Licensee MDPI, Basel, Switzerland. This article is an open access article distributed under the terms and conditions of the Creative Commons Attribution (CC BY) license (https://creativecommons.org/licenses/by/4.0/).
Share and Cite
Yuan, L.; Zhang, Q.; Zhang, S.; Ge, H. Design of Aluminum Alloy H-Sections under Minor-Axis Bending. Metals 2023, 13, 1336. https://doi.org/10.3390/met13081336
Yuan L, Zhang Q, Zhang S, Ge H. Design of Aluminum Alloy H-Sections under Minor-Axis Bending. Metals. 2023; 13(8):1336. https://doi.org/10.3390/met13081336
Chicago/Turabian StyleYuan, Lin, Qilin Zhang, Shaoquan Zhang, and Hanbin Ge. 2023. "Design of Aluminum Alloy H-Sections under Minor-Axis Bending" Metals 13, no. 8: 1336. https://doi.org/10.3390/met13081336
APA StyleYuan, L., Zhang, Q., Zhang, S., & Ge, H. (2023). Design of Aluminum Alloy H-Sections under Minor-Axis Bending. Metals, 13(8), 1336. https://doi.org/10.3390/met13081336
