Theoretical Forming Limit Diagram Based on Induced Stress in the Thickness Direction
Abstract
1. Introduction
2. Finite Element Simulation to Verify the Existence of Stress in the Thickness Direction
3. Theoretical Basis
3.1. C-H Instability Criterion
3.1.1. Solution of Relevant Parameters of Sheet Metal Yield Function
3.1.2. Calculation of the Limit Strain of Considered Dispersion Instability
3.1.3. Calculation of Limit Strain of Concentrated Instability
3.2. MMFC Instability Criterion
3.3. Mises Yield Criterion
3.4. HILL48 Yield Criterion
4. Calculation Results and Discussion
4.1. Always Apply Stress in the Thickness Direction during Sheet Deformation
4.2. Sheet Material Is Induced Stress in the Thickness Direction during Deformation
4.2.1. Induced Stress in Thickness Direction Based on MMFC Instability Model
4.2.2. Induced Stress in Thickness Direction Based on C-H Instability Model
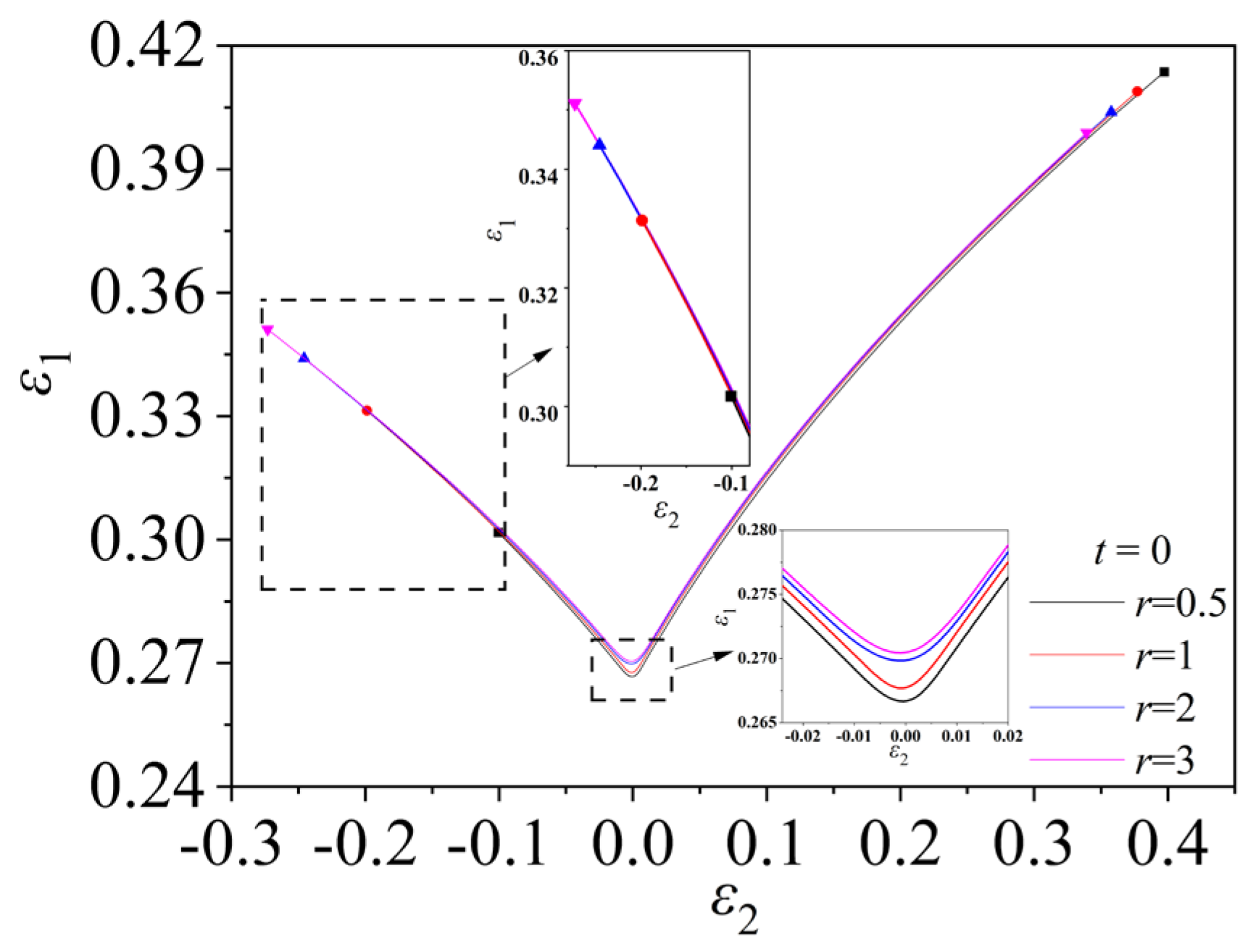
4.2.3. Effect of Strain Hardening Exponent on Forming Limit
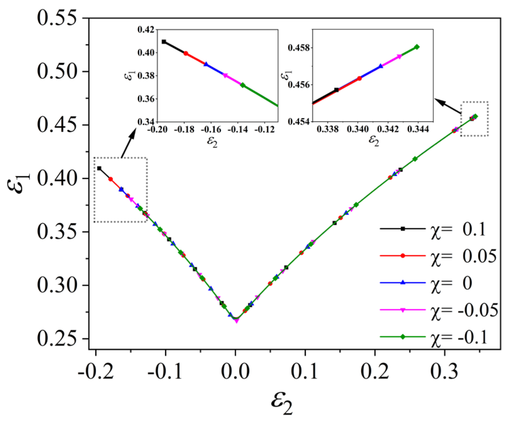
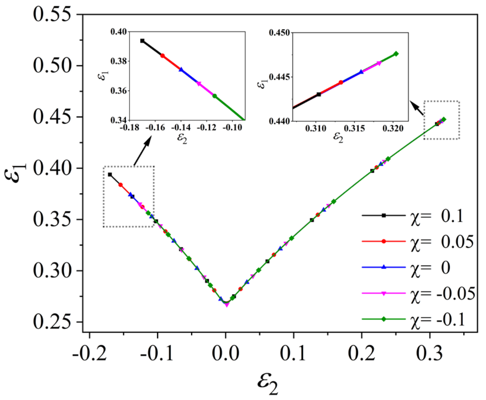
4.2.4. The Effect of Coefficient of Normal Anisotropy on Forming Limit
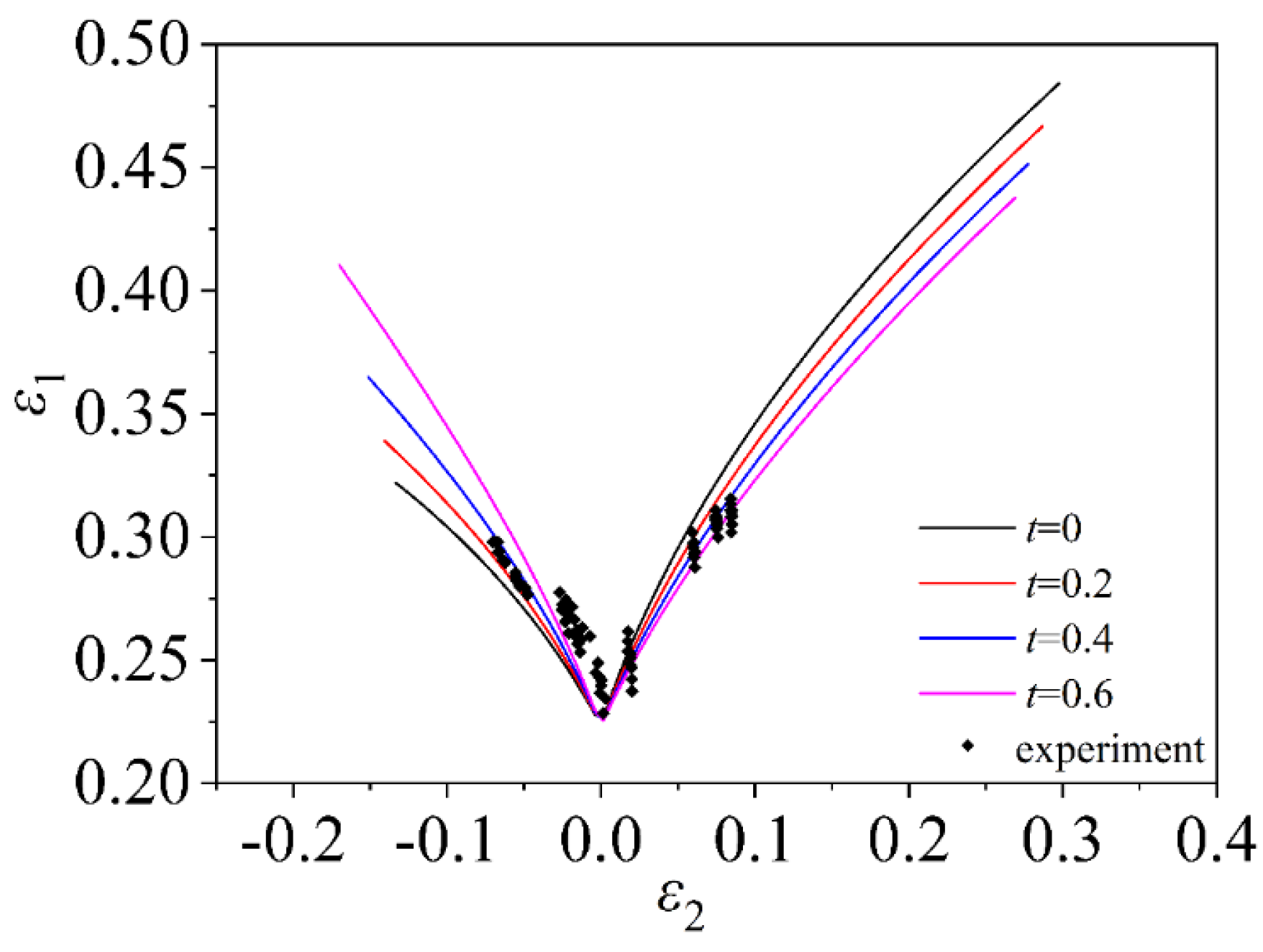
5. Verification of the Forming Curve after Induced Thick Stress
5.1. Forming Curve Verification of Material TRIP780
5.2. Forming Curve Verification of Material AA5182
5.3. Forming Curve Verification of Material 5754O
6. Conclusions
- (1)
- In this paper, solid element is used to simulate the bulging test of hemispherical punch, and the principal stresses S11, S22 and S33 in three directions are extracted from the finite element simulation results. It is confirmed that the thick stress is induced during the plastic deformation of sheet metal.
- (2)
- When solving the theoretical forming limit, the conclusion that the stress in the thickness direction is always applied to the sheet and the stress in the thickness direction is induced during the deformation of the sheet is not exactly the same. In this paper, the study of induced thick stress shows that the influence of induced stress in thickness direction on FLD during deformation process is not only reflected in the length of the curve but also affects the height. The FLC of the tension and compression zone is significantly increased compared with the plane strain state, and as the strain increases, the degree of elevation also increases. The FLC decreases in the biaxial tension zone, and the degree of decrease gradually becomes stable with the increase in strain. Appropriate methods should be used in the project to predict the theoretical limit curve of the sheet metal.
- (3)
- This study shows that the induced stress in the thickness direction does not significantly change the effect of on FLD, but significantly changes the sensitivity of to FLD. The method of always applying stress in the thickness direction does not significantly change the effect of and values on FLD, but only changes the overall change of the curve. In addition, FLC increases with the increase in value, which is the effect of value itself on FLD. The larger the value, the longer the FLC. This result is also consistent with the results of other theoretical models.
- (4)
- Even with a more accurate anisotropic yield function, the stress-strain relationship plays an important role in forming limits [22]. The two flow stress-strain relationships described in this paper, Swift stress-strain relationship and modified Voce stress-strain relationship can accurately describe the deformation behavior of uniform strain, but the resulting forming limits are very different. Therefore, in calculating the sheet forming limit, in addition to choosing the appropriate yield criterion, an appropriate stress-strain relationship should be used.
- (5)
- The stress in the thickness direction must be induced during the deformation of the sheet. By comparing the theoretical calculation of the three materials TRIP780, AA5182 and 5754O with the experimental data, it is found that the FLC which considers the induced stress in the thickness direction is more consistent with the experimental data, and the prediction accuracy is higher. It is proved that the FLD which only considers the plane stress state is defective, so it is important to consider the induced stress in the thickness direction when predicting the theoretical FLD.
Author Contributions
Funding
Institutional Review Board Statement
Informed Consent Statement
Data Availability Statement
Conflicts of Interest
References
- Keeler, S.P.; Backofen, W.A. Plastic instability and fracture in sheets stretched over rigid. Punches Trans. ASM 1965, 56, 25–48. [Google Scholar]
- Goodwin, G.M. Application of strain analysis to sheet metal forming problems in the press shop. SAE Trans. 1968, 77, 380–397. [Google Scholar]
- Hillier, M.J. Instability Strains in Plane Sheet Under Biaxial Stress. J. Appl. Mechs. 1966, 33, 282. [Google Scholar] [CrossRef]
- Negroni, F.; Kobayasi, S.; Thomsen, E.G. Plastic instability in simple stretching of sheet metal. Trans. ASME Ser. B 1968, 2, 387. [Google Scholar] [CrossRef]
- Korhonen, A.S. On the theories of sheet metal necking and forming limits. J. Eng. Mater. Technol. Trans. ASME 1978, 100, 303–309. [Google Scholar] [CrossRef]
- Lee, S.H.; Kobayashi, S. Effects of strain paths on the stretching limit strains of sheet metal with Planar anisotropy. In Proceedings of the 3rd North American Metal Working Research Conference, Pittsburg, PA, USA, 5–7 May 1975; pp. 277–290. [Google Scholar]
- Gotoh, M.; Chung, T.; Iwata, N. Effect of out-of-plane stress on the forming limit strain of sheet metals. JSME Int. J. Ser. A 1995, 38, 123–132. [Google Scholar] [CrossRef]
- Smith, L.M.; Averill, R.C.; Lucas, J.P.; Stoughton, T.B.; Matin, P.H. Influence of transverse normal stress on sheet metal formability. Int. J. Plast. 2003, 19, 1567–1583. [Google Scholar] [CrossRef]
- Nurcheshmeh, M.; Green, D.E. Influence of out-of-plane compression stress on limit strains in sheet metals. Int. J. Mater. Form. 2012, 5, 213–226. [Google Scholar] [CrossRef]
- Allwood, J.M.; Shouler, D.R. Generalised Forming Limit Diagrams Showing Increased Forming Limits with Non-Planar Stress States. Int. J. Plast. 2009, 25, 1207–1230. [Google Scholar] [CrossRef]
- Matin, P.H.; Smith, L.M. Practical Limitations to the Influence of Through-Thickness Normal Stress on Sheet Metal Formabiliaty. Int. J. Plast. 2005, 21, 671–690. [Google Scholar] [CrossRef]
- Erfanian, M.; Hashemi, R. A comparative study of the extended forming limit diagrams considering strain path through-thickness normal and shear stress. Int. J. Mech. Sci. 2018, 148, 316–326. [Google Scholar] [CrossRef]
- Hora, P.; Tong, L.; Reissner, J. A Prediction Method for Ductile Sheet Metal Failure Using FE-Simulation; NUMISHEET: Dearborn, MI, USA, 1996; pp. 252–256. [Google Scholar]
- Hora, P. Mathematical Prediction of FLC Using Macroscopic Instability Criteria Combined with Micro Structural Crack Propagation Models; ETH: Quebec, QC, Canada, 2003; pp. 364–366. [Google Scholar]
- Hora, P.; Tong, L. Numerical Prediction of FLC Using the Enhanced Modified Maximum Force Criterion (eMMFC); FLC Zurich 06: Zurich, Switzerland, 2006; pp. 31–36. [Google Scholar]
- Krauer, J.; Hora, P.; Tong, L. Forming limits prediction of metastable materials with temperature and strain induced martensite transformation. In Proceedings of the 9th International Conference on Numerical Methods in Industrial Forming Processes (NUMIFORM 2007), Porto, Portugal, 17–21 June 2007; pp. 1263–1268. [Google Scholar]
- Hora, P.; Tong, L. Theoretical prediction of the influence of curvature and thickness on the enhanced modified maximum force criterion. In Proceedings of the 7th International Conference and Workshop on Numerical Simulation of 3D Sheet Metal Forming Processes (NUMISHEET 2008), Interlaken, Switzerland, 1–5 September 2008; pp. 205–210. [Google Scholar]
- Hora, P.; Eberle, B.; Volk, W. Numerical methods for a robust user-independent evaluation of Nakajima test for the FLC determination. In Proceedings of the International Deep Drawing Research Group 2009 (IDDRG 2009), Golden, CO, USA, 1–3 June 2009; pp. 437–444. [Google Scholar]
- Hora, P.; Tong, L.; Berisha, B. Modified maximum force criterion, a model for the theoretical prediction of forming limit curves. Int. J. Mater. Form. 2013, 6, 267–279. [Google Scholar] [CrossRef]
- Wang, H.; Wan, M.; Yan, Y.; Wu, X. Influence of parameter solving method on the ability of anisotropic behavior of yield criterion. J. Mech. Eng. 2013, 24, 45–53. [Google Scholar]
- Wang, H.; Wan, M.; Yan, Y. Effect of flow stress-strain relation on forming limit of 5754O aluminum alloy. Trans. Nonferr. Met. Soc. China 2012, 22, 2370–2378. [Google Scholar] [CrossRef]
- Chen, G. Study on Tensile Deformation Damage, Instability and Forming Limit of Sheet Metal. Ph.D. Thesis, Beihang University, Beijing, China, 1991. [Google Scholar]



























| 1503.6 | 0.273 | 0.0083 |
| 463.5 | 460.8 | 497.5 | 488.1 | 0.71 | 0.920 | 0.830 |
| A | B | C | D |
|---|---|---|---|
| 910 | 479.9 | 14.240 | 334.788 |
| 126.4 | 123.3 | 127.8 | 114.2 | 0.699 | 0.766 | 0.755 |
| 615.3 | 0.363 | 0.00761 |
| A | B | C | D |
|---|---|---|---|
| 432.7 | 316.0 | 8.393 | −173.946 |
| 108.671 | 108.678 | 113.385 | 110.041 | 0.707 | 0.894 | 0.956 |
| 474.9 | 0.3236 | 0.0068 |
| A | B | C |
|---|---|---|
| 99.69 | 189.20 | 12.01 |
Disclaimer/Publisher’s Note: The statements, opinions and data contained in all publications are solely those of the individual author(s) and contributor(s) and not of MDPI and/or the editor(s). MDPI and/or the editor(s) disclaim responsibility for any injury to people or property resulting from any ideas, methods, instructions or products referred to in the content. |
© 2023 by the authors. Licensee MDPI, Basel, Switzerland. This article is an open access article distributed under the terms and conditions of the Creative Commons Attribution (CC BY) license (https://creativecommons.org/licenses/by/4.0/).
Share and Cite
Wang, H.; Wang, Z. Theoretical Forming Limit Diagram Based on Induced Stress in the Thickness Direction. Metals 2023, 13, 456. https://doi.org/10.3390/met13030456
Wang H, Wang Z. Theoretical Forming Limit Diagram Based on Induced Stress in the Thickness Direction. Metals. 2023; 13(3):456. https://doi.org/10.3390/met13030456
Chicago/Turabian StyleWang, Haibo, and Zipeng Wang. 2023. "Theoretical Forming Limit Diagram Based on Induced Stress in the Thickness Direction" Metals 13, no. 3: 456. https://doi.org/10.3390/met13030456
APA StyleWang, H., & Wang, Z. (2023). Theoretical Forming Limit Diagram Based on Induced Stress in the Thickness Direction. Metals, 13(3), 456. https://doi.org/10.3390/met13030456
