The Characteristics of Spiral Pipe Increasing Resistance and Reducing Pressure and the Amendment Equation of Stowing Gradient
Abstract
:1. Introduction
2. Principle of the Increasing Resistance and Reducing Pressure of Auxiliary Pipe
3. Numerical Simulation Methods
3.1. Mathematical Model and Control Equations
3.1.1. Model Selection
3.1.2. Boundary Conditions
3.1.3. Control Equations
3.2. Geometric Modeling and Parameter Setting
3.2.1. Geometric Modeling
3.2.2. Determination of Filling Slurry Parameters
3.2.3. Reliability Verification of the Model and Parameters
4. Results and Analysis
4.1. Velocity and Pressure Fields of the Filling Slurry in the Auxiliary Pipe
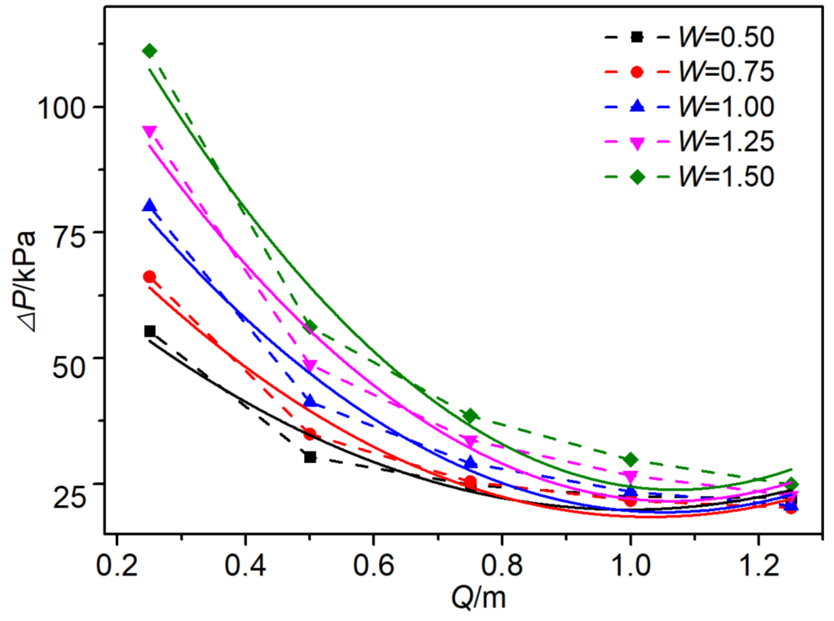
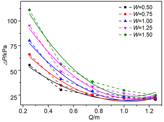
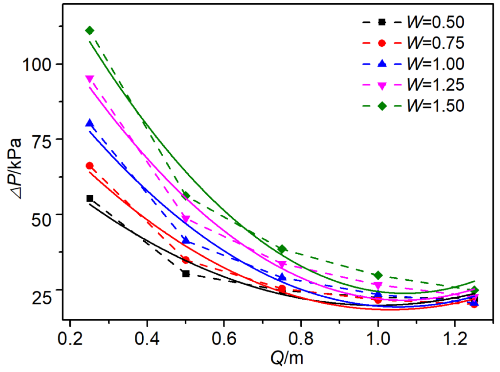
4.2. Characteristics of Friction Loss in Spiral Pipes with Different Sizes
4.3. Amendment Equation of the Stowing Gradient
5. Conclusions
- (1)
- The three types of pipes can achieve the purpose of increasing resistance and reducing pressure, but the velocity and pressure of filling slurry in spiral pipe change continuously and steadily, and there are no obvious sudden changes in local velocity and pressure, so it is difficult to burst. Hence, in engineering applications spiral pipes have more obvious advantages than Z-shaped and S-shaped pipes and should be used more often.
- (2)
- In practical applications, the design and production of the outer spiral pipe need to carry out special treatment, and special materials can be thickened or added to enhance the wear resistance of the local spiral pipe, so that the pipe structure can maintain overall stability, increasing the service life of the pipe, and reducing cost.
- (3)
- The relationship between ∆P and Q and W was obtained. ∆P increases with increasing W, and decreases with increasing Q. The relationship between ω and Q and W is a binary quadratic function relationship, and the equation for calculating the effective stowing gradient when using spiral pipe is proposed.
- (4)
- This study provides an idea for industrial design and engineering applications. First, the parameters of the filling slurry are determined through laboratory experimental tests. Second, the parameter combination of the backfilling pipe is determined by the actual industrial situation. Third, the relationship between ω and Q and W is obtained via numerical simulation and analysis. Therefore, the relationship between N′ and Q and W can be found by the calculation equation of the effective stowing gradient. Finally, a suitable filling pipe is designed from actual conditions.
Author Contributions
Funding
Institutional Review Board Statement
Informed Consent Statement
Data Availability Statement
Conflicts of Interest
References
- Zhang, C.; Jin, G.H.; Liu, C.; Li, S.G.; Xue, J.H.; Cheng, R.H.; Wang, X.L.; Zeng, X.Z. Prediction of rockbursts in a typical island working face of a coal mine through microseismic monitoring technology. Tunn. Undergr. Space Technol. 2021, 113, 103972. [Google Scholar] [CrossRef]
- Aleksakhin, A.; Sala, D.; Golovin, K.; Kovalev, R. Reducing energy costs for pipeline transportation. Transp. Res. Procedia 2021, 57, 24–32. [Google Scholar] [CrossRef]
- Cai, M.F. Prediction and prevention of rockburst in metal mines—A case study of Sanshandao gold mine. J. Rock Mech. Geotech. 2016, 8, 204–211. [Google Scholar] [CrossRef]
- Xie, H.P.; Ju, Y.; Gao, F.; Gao, M.Z.; Zhang, R. Groundbreaking theoretical and technical conceptualization of fluidized mining of deep underground solid mineral resources. Tunn. Undergr. Space Technol. 2017, 67, 68–70. [Google Scholar] [CrossRef]
- Cheng, H.Y.; Wu, S.C.; Li, H.; Zhang, X.Q. Influence of time and temperature on rheology and flow performance of cemented paste backfill. Constr. Build. Mater. 2020, 231, 117117. [Google Scholar] [CrossRef]
- Mashifana, T.; Sithole, T. Clean production of sustainable backfill material from waste gold tailings and slag. J. Clean. Prod. 2021, 308, 127357. [Google Scholar] [CrossRef]
- Rybak, J.; Adigamov, A.; Kongar-Syuryun, C.; Khayrutdinov, M.; Tyulyaeva, Y. Renewable-resource technologies in mining and metallurgical enterprises providing environmental safety. Minerals 2021, 11, 1145. [Google Scholar] [CrossRef]
- Lyu, X.; Yang, K.; Fang, J.J. Utilization of resources in abandoned coal mines for carbon neutrality. Sci. Total Environ. 2022, 822, 153646. [Google Scholar] [CrossRef]
- Zhao, X.; Ma, X.W.; Chen, B.Y.; Shang, Y.P.; Song, M.L. Challenges toward carbon neutrality in China: Strategies and countermeasures. Resour. Conserv. Recycl. 2022, 176, 105959. [Google Scholar] [CrossRef]
- Qi, C.C.; Fourie, A. Cemented paste backfill for mineral tailings management: Review and future perspectives. Miner. Eng. 2019, 144, 106025. [Google Scholar] [CrossRef]
- Chen, Q.S.; Zhou, H.L.; Wang, Y.M.; Li, X.S.; Zhang, Q.L.; Feng, Y.; Qi, C.C. Resistance Loss in Cemented Paste Backfill Pipelines: Effect of Inlet Velocity, Particle Mass Concentration, and Particle Size. Materials 2022, 15, 3339. [Google Scholar] [CrossRef] [PubMed]
- Abdul-Hussain, N.; Fall, M. Thermo-hydro-mechanical behaviour of sodium silicate-cemented paste tailings in column experiments. Tunn. Undergr. Space Technol. 2012, 29, 85–93. [Google Scholar] [CrossRef]
- Yin, S.H.; Shao, Y.J.; Wu, A.X.; Wang, H.J.; Liu, X.H.; Wang, Y. A systematic review of paste technology in metal mines for cleaner production in China. J. Clean. Prod. 2020, 247, 119590. [Google Scholar] [CrossRef]
- Ercikdi, B.; Kuekci, G.; Yilmaz, T. Utilization of granulated marble wastes and waste bricks as mineral admixture in cemented paste backfill of sulphide-rich tailings. Constr. Build. Mater. 2015, 93, 573–583. [Google Scholar] [CrossRef]
- Hefni, M.; Ahmed, H.A.M.; Omar, E.S.; Ali, M.A. The potential re-use of Saudi mine tailings in mine backfill: A path towards sustainable mining in Saudi Arabia. Sustainability 2021, 13, 6204. [Google Scholar] [CrossRef]
- Qi, C.C.; Chen, Q.S.; Fourie, A.; Zhao, J.W.; Zhang, Q.L. Pressure drop in pipe flow of cemented paste backfill: Experimental and modeling study. Powder Technol. 2018, 333, 9–18. [Google Scholar] [CrossRef]
- Wang, Y.Y.; Wang, Y.; Yang, G.F.; Ruan, Z.E.; Wang, Z.Q. Effect of cement-to-tailings ratio and flow rate on the wear performance of filling pipeline. Powder Technol. 2022, 397, 117027. [Google Scholar] [CrossRef]
- Hewitt, D.; Allard, S.; Radziszewski, P. Pipe lining abrasion testing for paste backfill operations. Miner. Eng. 2009, 22, 1088–1090. [Google Scholar] [CrossRef]
- Emad, M.Z.; Mitri, H.; Kelly, C. State-of-the-art review of backfill practices for sublevel stoping system. Int. J. Min. Reclam. Environ. 2015, 29, 544–556. [Google Scholar] [CrossRef]
- Javaheri, V.; Porter, D.; Kuokkala, V.T. Slurry erosion of steel—Review of tests, mechanisms and materials. Wear 2018, 408, 248–273. [Google Scholar] [CrossRef]
- Mc Guinness, M. Wear Profile of the Kidd Mine Pastefill Distribution System. Master’s Thesis, McGill University, Montreal, QC, Canada, 2014. [Google Scholar]
- Steward, N.R.; Spearing, A. The performance of backfill pipelines. South. Afr. Inst. Min. Metall. 1992, 92, 27–34. [Google Scholar]
- Buchan, A.J.; Spearing, A.J.S. The effect of corrosion on the wear rate of steel pipelines conveying backfill slurry. South. Afr. Inst. Min. Metall. 1994, 94, 37–45. [Google Scholar]
- Calderon-Hernandez, J.W.; Sinatora, A.; de Melo, H.G.; Chaves, A.P.; Mano, E.S.; Leal Filho, L.S.; Paiva, J.L.; Braga, A.S.; Pinto, T.C.S. Hydraulic convey of iron ore slurry: Pipeline wear and ore particle degradation in function of pumping time. Wear 2020, 450, 203272. [Google Scholar] [CrossRef]
- Zhou, K.P.; Gao, R.; Gao, F. Particle flow characteristics and transportation optimization of superfine unclassified backfilling. Minerals 2017, 7, 6. [Google Scholar] [CrossRef] [Green Version]
- Wang, X.L.; Wang, H.J.; Wu, A.X.; Kang, G.W. Wear law of Q345 steel under the abrasion–corrosion synergistic effect of cemented paste backfill. Constr. Build. Mater. 2022, 332, 127283. [Google Scholar] [CrossRef]
- Garrido, P.; Burgos, R.; Concha, F.; Bürger, R. Software for the Design and Simulation of Gravity Thickeners. Miner. Eng. 2003, 16, 85–92. [Google Scholar] [CrossRef]
- Kaushal, D.R.; Thinglas, T.; Tomita, Y.; Kuchii, S.; Tsukamoto, H. CFD modeling for pipeline flow of fine particles at high concentration. Int. J. Multiph. Flow 2012, 43, 85–100. [Google Scholar] [CrossRef]
- Nagar, H.; Gupta, T.; Kumar, N. CFD modeling for the flow of fly ash slurry in straight pipeline. Mater. Today. 2022, 57, 2223–2227. [Google Scholar] [CrossRef]
- Movahedi, H.; Jamshidi, S. Experimental and CFD simulation of slurry flow in the annular flow path using two-fluid model. J. Pet. Sci. Eng. 2021, 198, 108224. [Google Scholar] [CrossRef]
- Zambrano, H.; Sigalotti, L.D.G.; Klapp, J.; Peña-Polo, F.; Bencomo, A. Heavy oil slurry transportation through horizontal pipelines: Experiments and CFD simulations. Int. J. Multiph. Flow 2017, 91, 130–141. [Google Scholar] [CrossRef]
- Liu, L.; Fang, Z.Y.; Qi, C.C.; Zhang, B.; Guo, L.J.; Song, K.I.-I.L. Numerical study on the pipe flow characteristics of the cemented paste backfill slurry considering hydration effects. Powder Technol. 2019, 343, 454–464. [Google Scholar] [CrossRef]
- Peng, X.P.; Guo, L.J.; Liu, G.S.; Yang, X.C.; Chen, X.Z. Experimental Study on Factors Influencing the Strength Distribution of In Situ Cemented Tailings Backfill. Metals 2021, 11, 2059. [Google Scholar] [CrossRef]
- Zhu, J.Q.; Wu, S.C.; Cheng, H.Y.; Geng, X.J.; Liu, J. Response of Floc Networks in Cemented Paste Backfill to a Pumping Agent. Metals 2021, 11, 1906. [Google Scholar] [CrossRef]
- Sun, Q.; Tian, S.; Sun, Q.W.; Li, B.; Cai, C.; Xia, Y.J.; Wei, X.; Mu, Q.W. Preparation and microstructure of fly ash geopolymer paste backfill material. J. Clean. Prod. 2019, 225, 376–390. [Google Scholar] [CrossRef]
- Füreder, K.; Svardal, K.; Krampe, J.; Kroiss, H. Rheology and friction loss of raw and digested sewage sludge with high TSS concentrations: A case study. Water Sci. Technol. 2018, 2017, 276–286. [Google Scholar] [CrossRef]
- Azizi, N.; Homayoon, R.; Hojjati, M.R. Predicting the Colebrook–White friction factor in the pipe flow by new explicit correlations. J. Fluids Eng. 2019, 141, 051201. [Google Scholar] [CrossRef]
- Li, M.Z.; He, Y.P.; Liu, Y.D.; Huang, C. Effect of interaction of particles with different sizes on particle kinetics in multi-sized slurry transport by pipeline. Powder Technol. 2018, 338, 915–930. [Google Scholar] [CrossRef]
- Messa, G.V.; Malin, M.; Malavasi, S. Numerical prediction of fully-suspended slurry flow in horizontal pipes. Powder Technol. 2014, 256, 61–70. [Google Scholar] [CrossRef]
- Rathore, R.K.; Gupta, P.K.; Kumar, N. Numerical investigation of zinc tailings slurry flow field in a horizontal pipeline. Mater. Today 2021, 45, 2702–2706. [Google Scholar] [CrossRef]
- Shao, X.P.; Wang, L.; Li, X.; Fang, Z.Y.; Zhao, B.C.; Tao, Y.Q.; Liu, L.; Sun, W.L.; Sun, J.P. Study on Rheological and Mechanical Properties of Aeolian Sand-Fly Ash-Based Filling Slurry. Energies 2020, 13, 1266. [Google Scholar] [CrossRef] [Green Version]
- Sinha, S.L.; Dewangan, S.K.; Sharma, A. A review on particulate slurry erosive wear of industrial materials: In context with pipeline transportation of mineral—Slurry. Part. Sci. Technol. 2017, 35, 103–118. [Google Scholar] [CrossRef]
- Bharathan, B.; McGuinness, M.; Kuhar, S.; Kermani, M.; Hassani, F.P.; Sasmito, A.P. Pressure loss and friction factor in non-newtonian mine paste backfill: Modelling, loop test and mine field data. Powder Technol. 2019, 344, 443–453. [Google Scholar] [CrossRef]
- Yang, X.B.; Xiao, B.L.; Gao, Q.; He, J.Y. Determining the pressure drop of cemented Gobi sand and tailings paste backfill in a pipe flow. Constr. Build. Mater. 2020, 255, 119371. [Google Scholar] [CrossRef]
- Zhang, Q.L.; Cui, J.Q.; Zheng, J.J.; Wang, X.M.; Wang, X.L. Wear mechanism and serious wear position of casing pipe in vertical backfill drill-hole. Trans. Nonferrous Met. Soc. China 2011, 21, 2503–2507. [Google Scholar] [CrossRef]
- Sanin, V.N.; Andreev, D.E.; Yukhvid, V.I. Self-propagating high-temperature synthesis metallurgy of pipes with wear-resistant protective coating with the use of industrial wastes of metallurgy production. Russ. J. Non-Ferr. Met. 2013, 54, 274–279. [Google Scholar] [CrossRef]
- Kumar, K.; Kumar, S.; Singh, G.; Singh, J.P.; Singh, J. Erosion Wear investigation of HVOF sprayed WC-10Co4Cr coating on slurry pipeline materials. Coatings 2017, 7, 54. [Google Scholar] [CrossRef]












| Parameter | Value/m | |||||
|---|---|---|---|---|---|---|
| Q | 0.25 | 0.5 | 0.75 | 1.0 | 1.25 | |
| W | 0.5 | 0.75 | 1.0 | 1.25 | 1.5 | |
| D | 0.12 | |||||
| h | 2.5 | |||||
| Composition | SiO2 | Al2O3 | K2O | CaO | Fe2O3 | Na2O | SO3 | MgO | MnO | Others |
|---|---|---|---|---|---|---|---|---|---|---|
| Proportion (%) | 61.24 | 22.14 | 5.10 | 2.19 | 2.96 | 1.82 | 1.46 | 1.41 | 0.17 | 1.51 |
| W | 0.5 | 0.75 | 1 | 1.25 | 1.5 | |
|---|---|---|---|---|---|---|
| Q | ||||||
| 0.25 | 55,393.72 | 66,217.24 | 80,239.87 | 95,401.62 | 111,148.30 | |
| 0.5 | 30,364.67 | 34,905.20 | 41,307.39 | 48,744.80 | 56,278.46 | |
| 0.75 | 24,800.37 | 25,413.41 | 29,062.09 | 33,701.80 | 38,536.95 | |
| 1 | 22,478.22 | 21,682.92 | 23,457.82 | 26,639.43 | 29,790.07 | |
| 1.25 | 22,234.60 | 20,211.32 | 20,685.33 | 22,677.81 | 24,867.83 | |
| W | 0.5 | 0.75 | 1 | 1.25 | 1.5 | |
|---|---|---|---|---|---|---|
| Q | ||||||
| 0.25 | 10.60 | 12.67 | 15.35 | 18.25 | 21.26 | |
| 0.5 | 5.81 | 6.68 | 7.90 | 9.32 | 10.76 | |
| 0.75 | 4.74 | 4.86 | 5.56 | 6.45 | 7.37 | |
| 1 | 4.30 | 4.15 | 4.49 | 5.10 | 5.70 | |
| 1.25 | 4.25 | 3.87 | 3.96 | 4.34 | 4.76 | |
Publisher’s Note: MDPI stays neutral with regard to jurisdictional claims in published maps and institutional affiliations. |
© 2022 by the authors. Licensee MDPI, Basel, Switzerland. This article is an open access article distributed under the terms and conditions of the Creative Commons Attribution (CC BY) license (https://creativecommons.org/licenses/by/4.0/).
Share and Cite
Wang, W.; Mu, H.; Mei, G.; Guo, L.; Lu, X.; Wang, A.; Sun, R. The Characteristics of Spiral Pipe Increasing Resistance and Reducing Pressure and the Amendment Equation of Stowing Gradient. Metals 2022, 12, 1105. https://doi.org/10.3390/met12071105
Wang W, Mu H, Mei G, Guo L, Lu X, Wang A, Sun R. The Characteristics of Spiral Pipe Increasing Resistance and Reducing Pressure and the Amendment Equation of Stowing Gradient. Metals. 2022; 12(7):1105. https://doi.org/10.3390/met12071105
Chicago/Turabian StyleWang, Weixiang, Hongwei Mu, Guodong Mei, Lijie Guo, Xinqi Lu, Anhu Wang, and Ran Sun. 2022. "The Characteristics of Spiral Pipe Increasing Resistance and Reducing Pressure and the Amendment Equation of Stowing Gradient" Metals 12, no. 7: 1105. https://doi.org/10.3390/met12071105
APA StyleWang, W., Mu, H., Mei, G., Guo, L., Lu, X., Wang, A., & Sun, R. (2022). The Characteristics of Spiral Pipe Increasing Resistance and Reducing Pressure and the Amendment Equation of Stowing Gradient. Metals, 12(7), 1105. https://doi.org/10.3390/met12071105

