Influence of Mold Design on Shrinkage Porosity of Ti-6Al-4V Alloy Ingots
Abstract
1. Introduction
2. Materials and Methods
2.1. Finite Element Model
2.2. Thermophysical Parameters and Boundary Conditions
2.3. Ingot Preparation and Macrostructure Characterization
3. Results
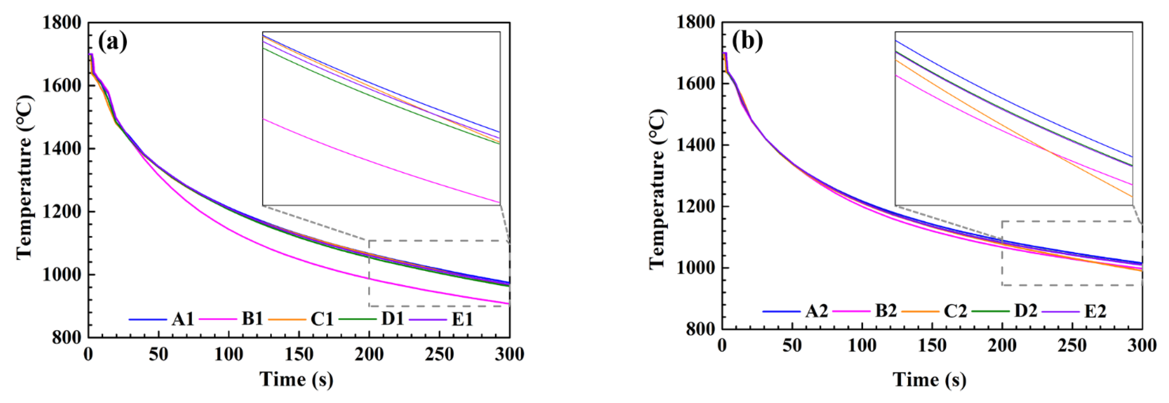
3.1. Numerical Simulation of Mold I
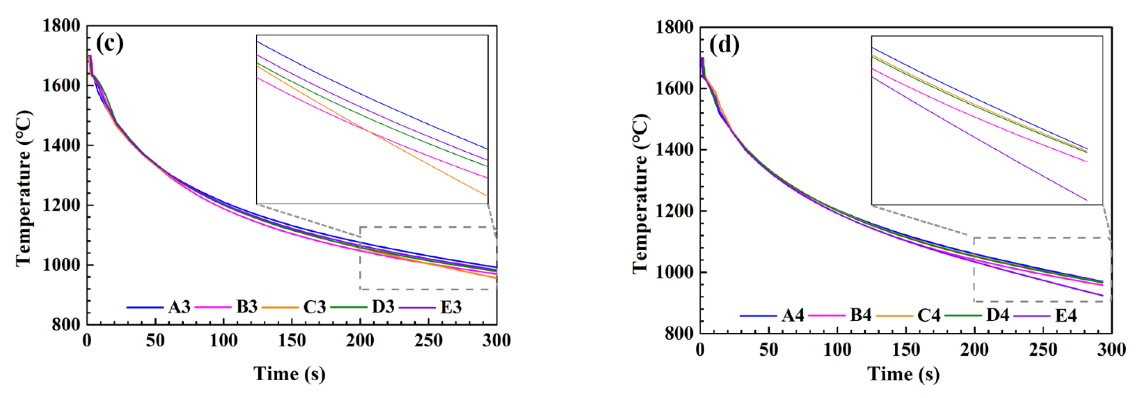
3.2. Numerical Simulation of Molds II, III, and IV
3.3. Experimental Verification
4. Discussion
4.1. Formation Mechanism of Shrinkage Porosity
4.2. Influence of Mold Design on Shrinkage Porosity
5. Conclusions
- The presence of a riser in mold I results in a relatively high flow rate (2.394 m·s−1) of molten metal, significantly reducing the stability of the mold-filling process. In addition, the riser part solidifies earlier than the main body of the ingot in conformance with the layer-by-layer solidification pattern of titanium alloy. The riser, therefore, cannot serve the purpose of feeding effectively, resulting in a significantly larger shrinkage cavity volume (3.29 cm3) and a relatively low ingot utilization rate (63.6%).
- The removal of the riser shortens the bottom-reaching time of the molten metal and the mold-filling completion time. Therefore, the maximum flow velocity decreases (alloy II–IV: 2.228 m·s−1, 2.245 m·s−1, 2.198 m·s−1) and the filling stability increases, effectively suppressing the formation of shrinkage cavities (alloy II–IV: 0.061 cm3, 0.059 cm3, 0.058 cm3) and improving the ingot utilization rate significantly (alloy II–IV: 86.4%, 85.8%, 86.7%).
- The formation of shrinkage cavities in Ti-6Al-4V alloy ingots in this study is mainly due to the formation of an isolated liquid phase zone. This zone results from the formation of a grain frame caused by the intersection of a large number of equiaxed crystals. The inability of this last crystallization part to compensate for volume shrinkage ultimately leads to the formation of shrinkage cavities.
- With increasing top size or decreasing bottom size of the ingot (i.e., increasing mold taper), the volume of the shrinkage cavities decreases and the ingot utilization rate increases, both significantly. For instance, the shrinkage cavity volume of the ingot decreases from 0.162 cm3 to 0.016 cm3, and the utilization rate increases from 80.9% to 89.5% when the mold taper is increased from 4.2° to 9.9°. Analysis reveals that increasing the top size is equivalent to increasing the volume of the pool of high-temperature molten metal, and decreasing the bottom size has the effect of increasing the solidification rate, both of which play an important role in promoting effective feeding and suppressing the formation of shrinkage cavities.
Author Contributions
Funding
Institutional Review Board Statement
Informed Consent Statement
Data Availability Statement
Conflicts of Interest
References
- Williams, J.C.; Boyer, R.R. Opportunities and issues in the application of titanium alloys for aerospace components. Metals 2020, 10, 705. [Google Scholar] [CrossRef]
- Zhang, S.Y.; Li, J.S.; Kou, H.C.; Yang, J.R.; Yang, G.; Wang, J. Effects of thermal history on the microstructure evolution of Ti–6Al–4V during solidification. J. Mater. Process. Technol. 2016, 227, 281–287. [Google Scholar] [CrossRef]
- Feng, X.; Qiu, J.K.; Ma, Y.J.; Lei, J.F.; Cui, Y.Y.; Wu, X.H.; Yang, R. Influence of processing conditions on microstructure and mechanical properties of large thin-wall centrifugal Ti–6Al–4V casting. J. Mater. Sci. Technol. 2015, 32, 362–371. [Google Scholar] [CrossRef]
- Atkinson, H.V.; Davies, S. Fundamental aspects of hot isostatic pressing: An overview. Metall. Mater. Trans. A 2000, 31, 2981–3000. [Google Scholar] [CrossRef]
- Zhang, S.Y.; Li, J.S.; Kou, H.C.; Yang, J.R.; Yang, G.; Wang, J. Effect of mold temperature and casting dimension on microstructure and tensile properties of counter-gravity casting Ti–6Al–4V alloys. China Foundry 2016, 13, 9–14. [Google Scholar] [CrossRef]
- Yang, L.; Chai, L.H.; Liang, Y.F.; Zhang, Y.W.; Bao, C.L.; Liu, S.B.; Lin, J.P. Numerical simulation and experimental verification of gravity and centrifugal investment casting low pressure turbine blades for high Nb-TiAl alloy. Intermetallics 2015, 66, 149–155. [Google Scholar] [CrossRef]
- Suzuki, K.; Yao, M. Simulation of mold filling and solidification during centrifugal precision casting of Ti–6Al–4V alloy. Met. Mater. Int. 2004, 10, 33–38. [Google Scholar] [CrossRef]
- Jia, Y.; Xiao, S.L.; Tian, J.; Xu, L.J.; Chen, Y.Y. Modeling of TiAl alloy grating by investment casting. Metals 2015, 5, 2328–2339. [Google Scholar] [CrossRef]
- Zhang, S.Y.; Li, J.S.; Kou, H.C.; Yang, J.R.; Yang, G.; Wang, J. Numerical modeling and experiment of counter-gravity casting for titanium alloys. Int. J. Adv. Manuf. Technol. 2016, 85, 1877–1885. [Google Scholar] [CrossRef]
- Yang, J.R.; Wang, H.; Wu, Y.L.; Zhang, K.R.; Wang, X.Y.; Hu, R. Numerical calculation and experimental evaluation of counter-gravity investment casting of Ti–48Al–2Cr–2Nb alloy. Int. J. Adv. Manuf. Technol. 2018, 96, 3295–3309. [Google Scholar] [CrossRef]
- Xiong, C.; Ma, Y.C.; Chen, B.; Liu, K.; Li, Y.Y. Modeling of filling and solidification process for TiAl exhaust valves during suction casting. Acta. Metall. Sin. Engl. Lett. 2013, 26, 33–48. [Google Scholar] [CrossRef]
- Qi, Y.S.; Chen, L.L.; Chen, G.; Li, K.F.; Li, C.; Du, Z.M. Preparation and properties of special vehicle cover via a novel squeeze casting quantitative feeding system of molten metal. Metals 2020, 10, 266. [Google Scholar] [CrossRef]
- Dai, H.L.; Zhang, C.L.; Zhao, Q.; Zhu, H. The study of titanium alloy precision casting turbine blades based on Procast. IOP Conf. Ser. Mater. Sci. Eng. 2019, 677, 022090. [Google Scholar] [CrossRef]
- Liu, X.J.; Hao, Z.J.; Huang, M. Optimization of vacuum counter-pressure casting process for an aluminum alloy casing using numerical simulation and defect recognition techniques. Int. J. Adv. Manuf. Technol. 2020, 107, 2783–2795. [Google Scholar] [CrossRef]
- Shangguan, H.L.; Kang, J.W.; Yi, J.H.; Deng, C.Y.; Hu, Y.Y.; Huang, T. Controlled cooling of an aluminum alloy casting based on 3D printed rib reinforced shell mold. China Foundry 2018, 15, 210–215. [Google Scholar] [CrossRef]
- Zhao, J.; Zhang, Z.Y.; Liu, S.B.; Shi, K.; Bao, C.L.; Ning, Z.S.; Yan, P.; Wang, L.; Lou, Y.C. Elimination of misrun and gas hole defects of investment casting TiAl alloy turbocharger based on numerical simulation and experimental study. China Foundry 2020, 17, 29–34. [Google Scholar] [CrossRef]
- Eylon, D.; Keller, M.M.; Jones, P.E. Development of permanent-mold cast Ti–Al automotive valves. Intermetallics 1998, 6, 703–708. [Google Scholar] [CrossRef]
- Rishel, L.L.; Biery, N.E.; Raban, R.; Gandelsman, V.Z.; Pollock, T.M.; Cramb, A.W. Cast structure and property variability in gamma titanium aluminides. Intermetallics 1998, 6, 629–636. [Google Scholar] [CrossRef]
- Lasalmonie, A. Why is it so difficult to introduce them in gas turbine engines? Intermetallics 2006, 14, 1123–1129. [Google Scholar] [CrossRef]
- Gao, Y.; Zhang, L.J.; Gao, W.L.; Zhang, H. Prediction and improvement of shrinkage porosity in TiAl based alloy. China Foundry 2011, 8, 19–24. [Google Scholar]
- Mi, G.F.; Liu, X.Y.; Wang, K.F.; Fu, H.Z. Application of numerical simulation technique to casting process of valve block. J. Iron Steel Res. Int. 2009, 16, 12–17. [Google Scholar] [CrossRef]
- Liu, J.G.; Yang, L.; Fang, X.G.; Li, B.; Yang, Y.W.; Fang, L.Z.; Hu, Z.B. Numerical simulation and optimization of shell mould casting process for leaf spring bracket. China Foundry 2020, 17, 35–41. [Google Scholar] [CrossRef]
- Han, J.C.; Dong, J.; Zhang, S.Z.; Zhang, C.J.; Xiao, S.L.; Chen, Y.Y. Effect of TiB2 addition on microstructure and fluidity of cast TiAl alloy. Vacuum 2020, 174, 109210. [Google Scholar] [CrossRef]
- Yang, L.; Chai, L.H.; Zhang, L.Q.; Lin, J.P. Numerical simulation and process optimization of investment casting of the blades for high Nb containing TiAl alloy. Mater. Sci. Forum. 2013, 747, 105–110. [Google Scholar] [CrossRef]
- Zheng, H.S.; Zhang, Z.F.; Bai, Y.L. Numerical simulation and experimental study on compound casting of layered aluminum matrix composite brake drum. Materials 2021, 14, 1412. [Google Scholar] [CrossRef]
- Wang, J.H.; Guo, X.L.; Wang, L.Q.; Lu, W.J. The influence of B4C on the fluidity of Ti-6Al-4V-xB4C composites. Mater. Trans. 2014, 55, 1367–1371. [Google Scholar] [CrossRef]
- Dahle, A.K.; Karlsen, S.; Arnberg, L. Effect of grain refinement on the fluidity of some binary Al-Cu and Al-Mg alloys. Int. J. Cast Metal. Res. 1996, 9, 103–112. [Google Scholar] [CrossRef]
- Xuan, D.P.; Zhou, C.; Zhou, Y.; Jiang, T.L.; Zhu, B.J.; Fan, W.H.; Jia, Y.G. Numerical simulation of the top side-pouring twin-roll casting of 6.5wt.% Si steel process. Int. J. Adv. Manuf. Technol. 2022, 119, 2355–2368. [Google Scholar] [CrossRef]
- Huang, P.H.; Cheng, C.Y.; Huang, W.J.; Chou, C.S. Optimal design of investment casting system for toothed chain joint: Computer simulations and experimental verification. Int. J. Adv. Manuf. Technol. 2020, 106, 1931–1943. [Google Scholar] [CrossRef]













| Temperature (°C) | Density (kg·m−3) | Enthalpy (kJ·kg−1) | Viscosity (Pa·s) | Thermal Conductivity (W·m−1·K−1) |
|---|---|---|---|---|
| 25 | 4430 | 11.8 | - | 7.87 |
| 200 | 4322 | 153.6 | - | 10.92 |
| 400 | 4297 | 214.4 | - | 12.54 |
| 600 | 4262 | 369.8 | - | 14.47 |
| 800 | 4231 | 464.3 | - | 16.49 |
| 1000 | 4189 | 585.9 | - | 18.68 |
| 1200 | 4138 | 741.3 | - | 20.95 |
| 1400 | 4094 | 856.1 | - | 24.56 |
| 1600 | 4039 | 1052.0 | 2.14 | 28.09 |
| 1700 | 3938 | 1416.7 | 1.76 | 33.56 |
| Alloys | Al | V | H | N | O | Ti |
|---|---|---|---|---|---|---|
| I | 6.2 | 4.3 | 0.002 | 0.011 | 0.096 | Bal. |
| II | 5.9 | 4.1 | 0.002 | 0.015 | 0.104 | Bal. |
| III | 6.1 | 4.2 | 0.003 | 0.011 | 0.101 | Bal. |
| IV | 6.2 | 4.2 | 0.002 | 0.010 | 0.098 | Bal. |
Publisher’s Note: MDPI stays neutral with regard to jurisdictional claims in published maps and institutional affiliations. |
© 2022 by the authors. Licensee MDPI, Basel, Switzerland. This article is an open access article distributed under the terms and conditions of the Creative Commons Attribution (CC BY) license (https://creativecommons.org/licenses/by/4.0/).
Share and Cite
He, T.; Chen, Y. Influence of Mold Design on Shrinkage Porosity of Ti-6Al-4V Alloy Ingots. Metals 2022, 12, 2122. https://doi.org/10.3390/met12122122
He T, Chen Y. Influence of Mold Design on Shrinkage Porosity of Ti-6Al-4V Alloy Ingots. Metals. 2022; 12(12):2122. https://doi.org/10.3390/met12122122
Chicago/Turabian StyleHe, Tongzheng, and Yuyong Chen. 2022. "Influence of Mold Design on Shrinkage Porosity of Ti-6Al-4V Alloy Ingots" Metals 12, no. 12: 2122. https://doi.org/10.3390/met12122122
APA StyleHe, T., & Chen, Y. (2022). Influence of Mold Design on Shrinkage Porosity of Ti-6Al-4V Alloy Ingots. Metals, 12(12), 2122. https://doi.org/10.3390/met12122122

