In-Situ Characterization of Microstructural Changes in Alloy 718 during High-Temperature Low-Cycle Fatigue
Abstract
1. Introduction
2. Materials and Methods
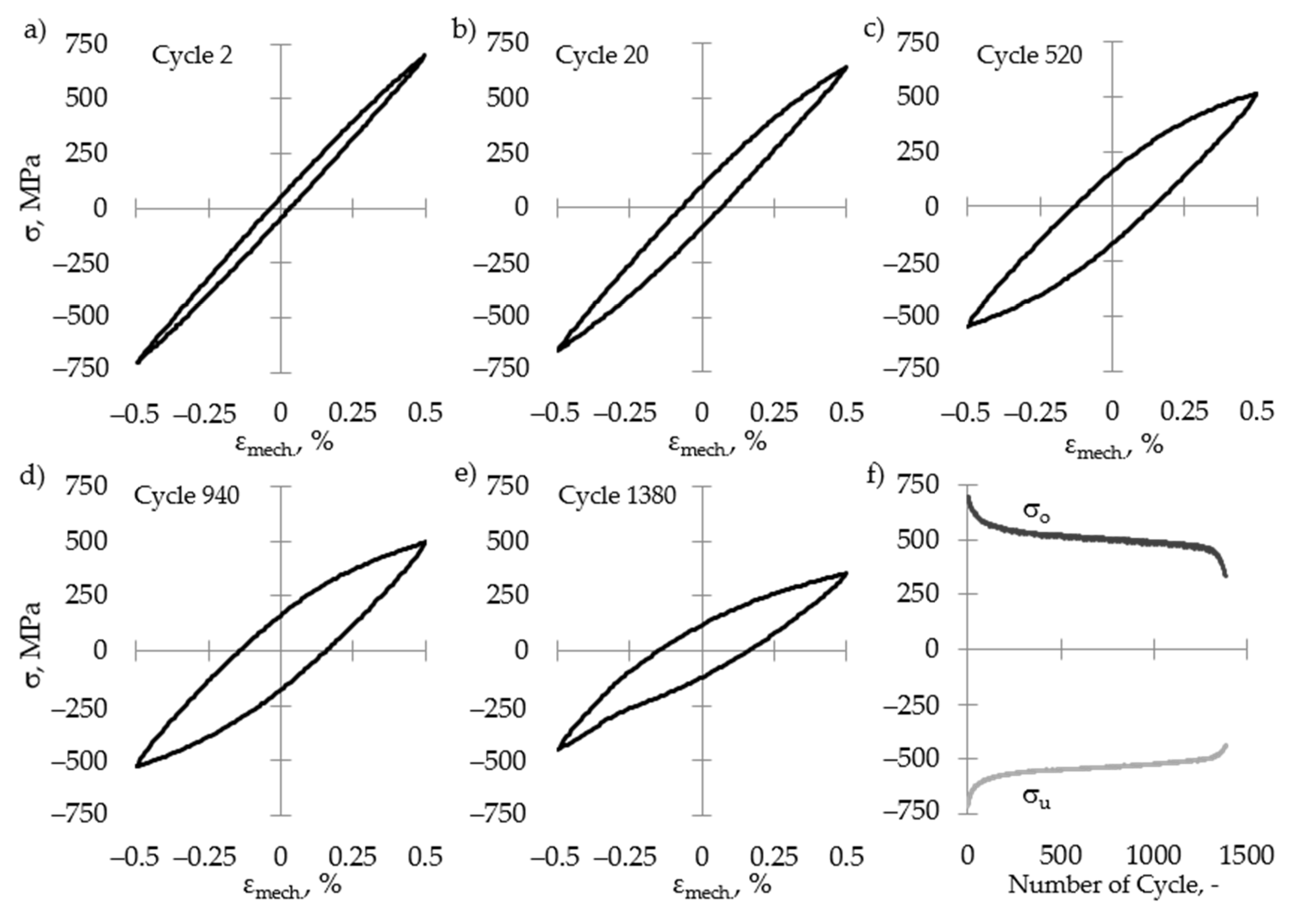
3. Results
4. Discussion
5. Conclusions
Author Contributions
Funding
Institutional Review Board Statement
Informed Consent Statement
Data Availability Statement
Acknowledgments
Conflicts of Interest
References
- Xia, W.; Zhao, X.; Yue, L.; Zhang, Z. A review of composition evolution in Ni-based single crystal superalloys. J. Mater. Sci. Technol. 2020, 44, 76–95. [Google Scholar] [CrossRef]
- Campbell, F.C. Superalloys. In Manufacturing Technology for Aerospace Structural Materials; Elsevier: Amsterdam, The Netherlands, 2006; pp. 211–272. ISBN 9781856174954. [Google Scholar]
- Reed, R.C. The Superalloys; Cambridge University Press: Cambridge, UK, 2009; ISBN 9780521859042. [Google Scholar]
- Pettit, F.S.; Meier, G.H. Oxidation and Hot Corrosion of Superalloys. In Proceedings of the Superalloys 1984 (Fifth International Symposium), Superalloys, Champion, PA, USA, 7–11 October 1984; pp. 651–687. [Google Scholar]
- Li, X.; Li, W.; Imran Lashari, M.; Sakai, T.; Wang, P.; Cai, L.; Ding, X.; Hamid, U. Fatigue failure behavior and strength prediction of nickel-based superalloy for turbine blade at elevated temperature. Eng. Fail. Anal. 2022, 136, 106191. [Google Scholar] [CrossRef]
- Stinville, J.C.; Martin, E.; Karadge, M.; Ismonov, S.; Soare, M.; Hanlon, T.; Sundaram, S.; Echlin, M.P.; Callahan, P.G.; Lenthe, W.C.; et al. Fatigue deformation in a polycrystalline nickel base superalloy at intermediate and high temperature: Competing failure modes. Acta Mater. 2018, 152, 16–33. [Google Scholar] [CrossRef]
- Kofstad, P. High Temperature Corrosion; Elsevier Applied Science: London, UK, 1988; ISBN 1-85166-154-9. [Google Scholar]
- Rajabinezhad, M.; Bahrami, A.; Mousavinia, M.; Seyedi, S.J.; Taheri, P. Corrosion-Fatigue Failure of Gas-Turbine Blades in an Oil and Gas Production Plant. Materials 2020, 13, 900. [Google Scholar] [CrossRef] [PubMed]
- Guo, J.; Cao, T.; Cheng, C.; Meng, X.; Zhao, J. The Relationship Between Magnetism and Microstructure of Ethylene Pyrolysis Furnace Tubes after a Long-term Service. Microsc. Microanal. 2018, 24, 478–487. [Google Scholar] [CrossRef]
- Takahashi, S.; Sato, Y.; Kamada, Y.; Abe, T. Study of chromium depletion by magnetic method in Ni-based alloys. J. Magn. Magn. Mater. 2004, 269, 139–149. [Google Scholar] [CrossRef]
- Rahmani, K. Magnetic Property Changes of CoNiCrAlY Coating Under Cyclic Oxidation and Hot Corrosion. Oxid. Met. 2020, 93, 75–86. [Google Scholar] [CrossRef]
- Mook, G.; Simonin, J.; Feist, W.D.; Hinken, J.H.; Perrin, G. Detection and characterization of magnetic anomalies in gas turbine disks. In Proceedings of the 9th European Conference on NDT, Berlin, Germany, 25–29 September 2006. [Google Scholar]
- Aspden, R.G.; Economy, G.; Pement, F.W.; Wilson, I.L. Relationship between magnetic properties, sensitization, and corrosion of incoloy alloy 800 and inconel alloy 600. Metrics 1972, 3, 2691–2697. [Google Scholar] [CrossRef]
- Schnell, A.; Germerdonk, K.; Antonelli, G. A Non-destructive Testing Method of Determining the Depletion of a Coating. U.S. Patent US7175720B2, 13 February 2007. [Google Scholar]
- Fricke, L.V.; Thürer, S.E.; Jahns, M.; Breidenstein, B.; Maier, H.J.; Barton, S. Non-destructive, Contactless and Real-Time Capable Determination of the α’-Martensite Content in Modified Subsurfaces of AISI 304. J. Nondestruct. Eval. 2022, 41, 72. [Google Scholar] [CrossRef]
- Mercier, D.; Lesage, J.; Decoopman, X.; Chicot, D. Eddy currents and hardness testing for evaluation of steel decarburizing. Mater. Sci. 2006, 39, 652–660. [Google Scholar] [CrossRef]
- Stegemann, D.; Reimche, W.; Feiste, K.L.; Heutling, B. Determination of Mechanical Properties of Steel Sheet by Electromagnetic Techniques. In Nondestructive Characterization of Materials VIII; Green, R.E., Ed.; Springer: Boston, MA, USA, 1998; pp. 269–275. ISBN 978-1-4613-7198-4. [Google Scholar]
- Barton, S.; Zaremba, D.; Maier, H.J. Microstructural degradation in the subsurface layer of the nickel base alloy 718 upon high-temperature oxidation. Mater. High Temp. 2021, 38, 147–157. [Google Scholar] [CrossRef]
- Barton, S. Zerstörungsfreie Bewertung des Randzonenzustands und Schädigungsgrads in Nickelbasislegierungen Infolge von Hochtemperaturkorrosion. Ph.D. Thesis, Gottfried Wilhelm Leibniz Universität Hannover, Hannover, Germany, TEWISS—Technik und Wissen GmbH, Garbsen, Germany, 2022. [Google Scholar]
- Burkhardt, G.L.; Kwun, H. Nonlinear harmonics method and system for measuring degradation in protective coatings. U.S. Patent US19980168185 19981007, 7 October 1998. [Google Scholar]
- Guth, S. Schädigung und Lebensdauer von Nickelbasislegierungen unter Thermisch-Mechanischer Ermüdungsbeanspruchung bei Verschiedenen Phasenlagen; KIT Scientific Publishing: Karlsruhe, Germany, 2016; ISBN 978-3-7315-0445-0. [Google Scholar]
- Deng, W.; Xu, J.; Hu, Y.; Huang, Z.; Jiang, L. Isothermal and thermomechanical fatigue behavior of Inconel 718 superalloy. Mater. Sci. Eng. A 2019, 742, 813–819. [Google Scholar] [CrossRef]
- Fournier, D.; Pineau, A. Low cycle fatigue behavior of inconel 718 at 298 K and 823 K. Metall. Mater. Trans. A 1977, 8, 1095–1105. [Google Scholar] [CrossRef]
- Fissolo, A.; Gourdin, C.; Ancelet, O.; Amiable, S.; Demassieux, A.; Chapuliot, S.; Haddar, N.; Mermaz, F.; Stelmaszyk, J.M.; Constantinescu, A. Crack initiation under thermal fatigue: An overview of CEA experiencePart II (of II): Application of various criteria to biaxial thermal fatigue tests and a first proposal to improve the estimation of the thermal fatigue damage. Int. J. Fatigue 2009, 31, 1196–1210. [Google Scholar] [CrossRef]
- Sangid, M.D. The physics of fatigue crack initiation. Int. J. Fatigue 2013, 57, 58–72. [Google Scholar] [CrossRef]
- Kirka, M.M.; Greeley, D.A.; Hawkins, C.; Dehoff, R.R. Effect of anisotropy and texture on the low cycle fatigue behavior of Inconel 718 processed via electron beam melting. Int. J. Fatigue 2017, 105, 235–243. [Google Scholar] [CrossRef]
- Droste, M.; Henkel, S.; Biermann, H.; Weidner, A. Influence of Plastic Strain Control on Martensite Evolution and Fatigue Life of Metastable Austenitic Stainless Steel. Metals 2022, 12, 1222. [Google Scholar] [CrossRef]
- Smaga, M.; Boemke, A.; Daniel, T.; Skorupski, R.; Sorich, A.; Beck, T. Fatigue Behavior of Metastable Austenitic Stainless Steels in LCF, HCF and VHCF Regimes at Ambient and Elevated Temperatures. Metals 2019, 9, 704. [Google Scholar] [CrossRef]
- Wagenhuber, E.-G.; Trindade, V.B.; Krupp, U. The Role of Oxygen-Grain-Boundary Diffusion During Intercrystalline Oxidation and Intergranular Fatigue Crack Propagation in Alloy 718. In Proceedings of the Symposium on Superalloys 718, 625, 706 and Derivattives, Pittsburgh, PA, USA, 2–5 October 2005; pp. 591–600, ISBN 978-0-87339-602-8. [Google Scholar]
- Gustafsson, D.; Moverare, J.; Johansson, S.; Hörnqvist, M.; Simonsson, K.; Sjöström, S.; Sharifimajda, B. Fatigue crack growth behaviour of Inconel 718 with high temperature hold times. Procedia Eng. 2010, 2, 1095–1104. [Google Scholar] [CrossRef]
- Ghonem, H.; Nicholas, T.; Pineau, A. Elevated temperature fatique crack growth in alloy 718 part II: Effects of environmental and material variables. Fatigue Fract. Eng. Mater. Struct. 1993, 16, 577–590. [Google Scholar] [CrossRef]
- Viskari, L.; Hörnqvist, M.; Moore, K.L.; Cao, Y.; Stiller, K. Intergranular crack tip oxidation in a Ni-base superalloy. Acta Mater. 2013, 61, 3630–3639. [Google Scholar] [CrossRef]
- Leo Prakash, D.G.; Walsh, M.J.; Maclachlan, D.; Korsunsky, A.M. Crack growth micro-mechanisms in the IN718 alloy under the combined influence of fatigue, creep and oxidation. Int. J. Fatigue 2009, 31, 1966–1977. [Google Scholar] [CrossRef]
- Delaunay, F.; Berthier, C.; Lenglet, M.; Lameille, J.-M. SEM-EDS and XPS Studies of the High Temperature Oxidation Behaviour of Inconel 718. Mikrochim. Acta 2000, 132, 337–343. [Google Scholar] [CrossRef]
- Sanviemvongsak, T.; Monceau, D.; Desgranges, C.; Macquaire, B. Intergranular oxidation of Ni-base alloy 718 with a focus on additive manufacturing. Corros. Sci. 2020, 170, 108684. [Google Scholar] [CrossRef]
- Garat, V.; Deleume, J.; Cloue, J.-M.; Andrieu, E. High Temperature Intergranular Oxidation of Alloy 718. In Proceedings of the Symposium on Superalloys 718, 625, 706 and Derivattives, Pittsburgh, PA, USA, 2–5 October 2005; pp. 559–569, ISBN 978-0-87339-602-8. [Google Scholar]
- Celada-Casero, C.; Kooiker, H.; Groen, M.; Post, J.; San-Martin, D. In-Situ Investigation of Strain-Induced Martensitic Transformation Kinetics in an Austenitic Stainless Steel by Inductive Measurements. Metals 2017, 7, 271. [Google Scholar] [CrossRef]
- Cao, B.; Iwamoto, T.; Bhattacharjee, P.P. An experimental study on strain-induced martensitic transformation behavior in SUS304 austenitic stainless steel during higher strain rate deformation by continuous evaluation of relative magnetic permeability. Mater. Sci. Eng. A 2020, 774, 138927. [Google Scholar] [CrossRef]
- Jones, R. Fatigue crack growth and damage tolerance. Fatigue Fract. Eng. Mater. Struct. 2014, 37, 463–483. [Google Scholar] [CrossRef]
- Yang, Z.; Lu, S.; Tian, Y.; Gu, Z.; Mao, H.; Sun, J.; Vitos, L. Assessing the magnetic order dependent γ-surface of Cr-Co-Ni alloys. J. Mater. Sci. Technol. 2021, 80, 66–74. [Google Scholar] [CrossRef]
- Bolzoni, F.; Leccabue, F.; Panizzieri, R.; Pareti, L. Magnetic properties and anisotropy of Co-Cr alloy. J. Magn. Magn. Mater. 1983, 31–34, 845–846. [Google Scholar] [CrossRef]











| Specimen | Temperature ϑ1, °C | Total Strain Amplitude Δεmech./2, % | Duration per Load Cycle, s | Load Cycles per Test Cycle, - |
|---|---|---|---|---|
| 1 | 800 | 0.3 | 120 | 20 |
| 2 | 800 | 0.5 | 120 | 20 |
| 3 | 800 | 0.7 | 120 | 20 |
Publisher’s Note: MDPI stays neutral with regard to jurisdictional claims in published maps and institutional affiliations. |
© 2022 by the authors. Licensee MDPI, Basel, Switzerland. This article is an open access article distributed under the terms and conditions of the Creative Commons Attribution (CC BY) license (https://creativecommons.org/licenses/by/4.0/).
Share and Cite
Barton, S.; Weiss, M.K.-B.; Maier, H.J. In-Situ Characterization of Microstructural Changes in Alloy 718 during High-Temperature Low-Cycle Fatigue. Metals 2022, 12, 1871. https://doi.org/10.3390/met12111871
Barton S, Weiss MK-B, Maier HJ. In-Situ Characterization of Microstructural Changes in Alloy 718 during High-Temperature Low-Cycle Fatigue. Metals. 2022; 12(11):1871. https://doi.org/10.3390/met12111871
Chicago/Turabian StyleBarton, Sebastian, Maximilian K.-B. Weiss, and Hans Jürgen Maier. 2022. "In-Situ Characterization of Microstructural Changes in Alloy 718 during High-Temperature Low-Cycle Fatigue" Metals 12, no. 11: 1871. https://doi.org/10.3390/met12111871
APA StyleBarton, S., Weiss, M. K.-B., & Maier, H. J. (2022). In-Situ Characterization of Microstructural Changes in Alloy 718 during High-Temperature Low-Cycle Fatigue. Metals, 12(11), 1871. https://doi.org/10.3390/met12111871

