Heterogeneous Nucleation Mechanisms in Systems with Large Lattice Misfit Demonstrated by the Pb(l)/Cu(s) System
Abstract
1. Introduction
2. Simulation Approach
3. Results
3.1. Prenucleation
3.2. Coincidence Site Lattice (CSL)
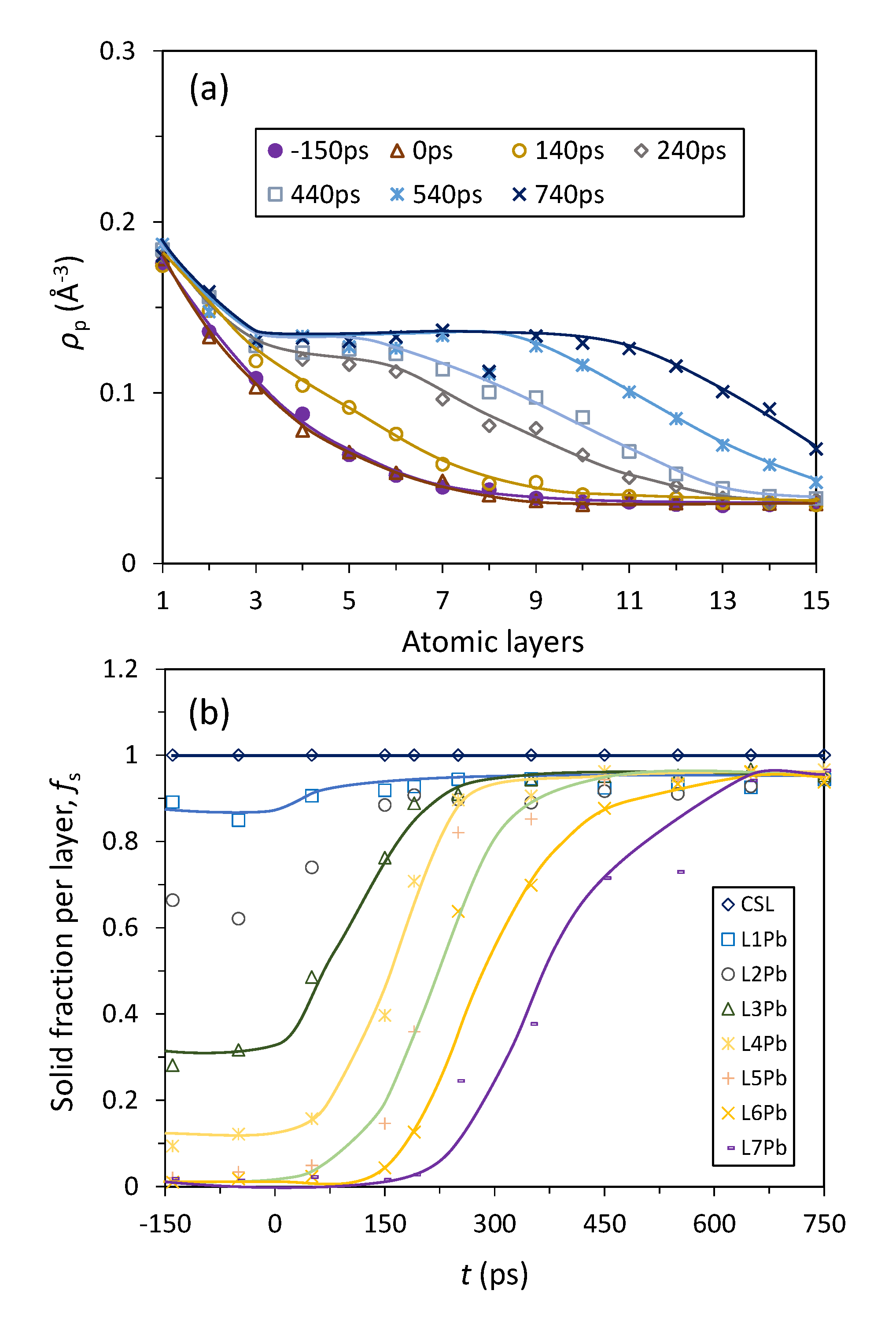
3.3. Heterogeneous Nucleation
4. Discussion
- For the systems with misfit = 0%, the nucleation undercooling will be zero if there are no considerations for chemical interaction between the liquid and the substrate and the surface roughness of the substrate.
- For the systems with a small negative misfit (−12.5% < misfit < 0), heterogeneous nucleation takes place through a three-layer dislocation mechanism [35]: formation of an edge dislocation network to accommodate lattice misfit in the first layer; formation of a screw dislocation network to reduce lattice distortion in the second layer resulting in a twist of the new crystal relative to the substrate; and creation of a plane of the new solid (the third layer) as a 2D nucleus.
- For the systems with a small positive misfit (12.5% > misfit > 0), heterogeneous nucleation takes place through a three-layer vacancy mechanism [36]: formation of an epitaxial layer to the substrate surface in the first layer; formation of vacancies to accommodate lattice misfit in the second layer; and creation of a plane of the new solid (the third layer) as a 2D nucleus.
- For the systems with a large misfit (|f| > 12.5%), formation of CSL during prenucleation accommodates most of the lattice misfit (fcsl) and converts the system from one with a large misfit to another with a small misfit (|fr| < 12.5%); heterogeneous nucleation takes place through a three-layer mechanism at the nucleation temperature: a three-layer dislocation mechanism if the residual lattice misfit is less than 0; a three-layer vacancy mechanism if the residual lattice misfit is larger than 0.


5. Summary
Author Contributions
Funding
Institutional Review Board Statement
Informed Consent Statement
Data Availability Statement
Acknowledgments
Conflicts of Interest
References
- Turnbull, D.; Vonnegut, B. Nucleation catalysis. Ind. Eng. Chem. 1952, 44, 1292–1298. [Google Scholar] [CrossRef]
- Tóth, G.I.; Tegze, G.; Pusztai, T.; Gránásy, L. Heterogeneous crystal nucleation: The effect of lattice mismatch. Phys. Rev. Lett. 2012, 108, 025502. [Google Scholar] [CrossRef] [PubMed]
- Wang, L.; Yang, L.; Zhang, D.; Xia, M.; Wang, Y.; Li, J.G. The role of lattice misfit on heterogeneous nucleation of pure aluminium. Metall. Mater. Trans. A 2016, 47, 5012–5022. [Google Scholar] [CrossRef]
- Wang, L.; Lu, W.Q.; Hu, Q.D.; Xia, M.X.; Wang, Y.; Li, J.G. Interfacial tuning for the nucleation of liquid AlCu alloy. Acta Mater. 2017, 139, 75–85. [Google Scholar] [CrossRef]
- Cantor, B. Heterogeneous nucleation and adsorption. Phil. Trans. R. Soc. Lond. A 2003, 361, 409–417. [Google Scholar] [CrossRef]
- Wang, J.S.; Horsfield, A.; Schwingenschlögl, U.; Lee, P.D. Heterogeneous nucleation of solid Al from the melt by Al3Ti: Molecular dynamics simulations. Phys. Rev. B 2010, 82, 184203. [Google Scholar] [CrossRef]
- Wearing, D.; Horsfield, A.P.; Xu, W.W.; Lee, P.D. Which wets TiB2 inoculant particles: Al or Al3Ti? J. Alloys Compd. 2016, 664, 460–468. [Google Scholar] [CrossRef]
- Palafox-Hernandez, J.P.; Laird, B.B. Orientation dependence of heterogeneous nucleation at the Cu-Pb solid-liquid interface. J. Chem. Phys. 2016, 145, 211914. [Google Scholar] [CrossRef]
- Sosso, G.C.; Li, T.S.; Donadio, D.; Tribello, G.A.; Michaelides, A. Microscopic mechanism and kinetics of ice formation at complex interfaces: Zooming in on kaolinite. J. Phys. Chem. Lett. 2016, 7, 2350–2355. [Google Scholar] [CrossRef]
- Cabriolu, R.; Li, T.S. Ice nucleation on carbon surface supports the classical theory for heterogeneous nucleation. Phys. Rev. E 2015, 91, 052402. [Google Scholar] [CrossRef]
- Lin, H.H.; Li, T.; Li, H. Molecular dynamics study on the heterogeneous nucleation of liquid Al-Cu alloys on different kinds of copper substrates. Phys. Chem. Chem. Phys. 2018, 20, 29856–29865. [Google Scholar] [CrossRef] [PubMed]
- Fujinaga, T.; Shibuta, Y. Molecular dynamics simulation of athermal heterogeneous nucleation of solidification. Comput. Mater. Sci. 2019, 164, 74–81. [Google Scholar] [CrossRef]
- Mithen, J.P.; Sear, R.P. Computer simulation of epitaxial nucleation of a crystal on a crystalline surface. J. Chem. Phys. 2014, 140, 084504. [Google Scholar] [CrossRef] [PubMed]
- Greer, A.L. Liquid metals: Supercool order. Nat. Mater. 2006, 5, 13–14. [Google Scholar] [CrossRef]
- Tipeev, A.O.; Zanotto, E.D.; Rino, J.P. Crystal nucleation kinetics in supercooled germanium: MD simulations versus experimental data. J. Phys. Chem. B 2020, 124, 7979–7988. [Google Scholar] [CrossRef]
- Tipeev, A.O.; Zanotto, E.D. Nucleation kinetics in supercooled Ni50Ti50: Computer simulation data corroborate the validity of the classical nucleation theory. Chem. Phys. Lett. 2019, 735, 136749. [Google Scholar] [CrossRef]
- Prado, S.C.C.; Rino, J.P.; Zanotto, E.D. Successful test of the classical nucleation theory by molecular dynamic simulations of BaS. Comput. Mat. Sci. 2019, 161, 99–106. [Google Scholar] [CrossRef]
- Tipeev, A.O.; Zanotto, E.D.; Rino, J.P. Diffusivity, interfacial free energy and crystal nucleation in a supercooled Lennard-Jones liquid. J. Phys. Chem. C 2018, 122, 28884–28894. [Google Scholar] [CrossRef]
- Sosso, G.C.; Chen, J.; Cox, S.J.; Fitzner, M.; Pedevilla, P.; Zen, A.; Michaelides, A. Crystal nucleation in liquids: Open questions and future challenges in molecular dynamics simulations. Chem. Rev. 2016, 116, 7078–7116. [Google Scholar] [CrossRef]
- Xia, X.S.; Van Hoesen, D.C.; McKenzie, M.E.; Youngman, R.E.; Kelton, K.F. Low-temperature nucleation anomaly in silicate glasses shown to be artifact in a 5BaO·8SiO2 glass. Nat. Commun. 2021, 12, 2026. [Google Scholar] [CrossRef]
- Cassar, D.R.; Serra, A.H.; Peitl, O.; Zanotto, E.D. Critical assessment of the alleged failure of the Classical Nucleation Theory at low temperatures. J. Non-Cryst. Solids 2020, 547, 120297. [Google Scholar] [CrossRef]
- Fokin, V.M.; Zanotto, E.D.; Yuritsyn, N.S.; Schmelzer, J.W.P. Homogeneous crystal nucleation in silicate glasses: A 40 years perspective. J. Non-Cryst. Solids 2006, 352, 2681–2714. [Google Scholar] [CrossRef]
- Palafox-Hernandez, J.P.; Laird, B.B.; Asta, M. Atomistic characterization of the Cu-Pb solid-liquid interface. Acta Mater. 2011, 59, 3137–3144. [Google Scholar] [CrossRef]
- Kaplan, W.D.; Kauffmann, Y. Structural order in liquids induced by interfaces with crystals. Annu. Rev. Mater. Res. 2006, 36, 1–48. [Google Scholar] [CrossRef]
- Oh, S.H.; Scheu, C.; Rühle, M. In-situ HRTEM studies of alumina-aluminium solid-liquid interfaces. Korean J. Electron Microsc. Spec. Issue 2006, 1, 19–24. [Google Scholar]
- Kauffmann, Y.; Oh, S.H.; Koch, C.T.; Hashibon, A.; Scheu, C.; Rühe, M.; Kaplan, W.D. Quantitative analysis of layering and in-plane ordering at an alumina-aluminum solid-liquid interface. Acta Mater. 2011, 59, 4378–4386. [Google Scholar] [CrossRef]
- Men, H.; Fan, Z. Prenucleation induced by crystalline substrates. Metall. Mater. Trans. A 2018, 49, 2766–2777. [Google Scholar] [CrossRef]
- Hashibon, A.; Adler, J.; Finnis, M.W.; Kaplan, W.D. Ordering at solid-liquid interfaces between dissimilar materials. Interface Sci. 2001, 9, 175–181. [Google Scholar] [CrossRef]
- Hashibon, A.; Adler, J.; Finnis, M.W.; Kaplan, W.D. Atomistic study of structural correlations at a liquid-solid interface. Comput. Mater. Sci. 2002, 24, 443–452. [Google Scholar] [CrossRef]
- Men, H.; Fan, Z. Atomic ordering in liquid aluminium induced by substrates with misfits. Comput. Mater. Sci. 2014, 85, 1–7. [Google Scholar] [CrossRef]
- Geysermans, P.; Gorse, D.; Pontikis, V. Molecular dynamics study of the solid-liquid interface. J. Chem. Phys. 2000, 113, 6382–6389. [Google Scholar] [CrossRef]
- Jiang, B.; Men, H.; Fan, Z. Atomic ordering in the liquid adjacent to an atomically rough solid surface. Comput. Mater. Sci. 2018, 153, 73–81. [Google Scholar] [CrossRef]
- Fang, C.M.; Men, H.; Fan, Z. Effect of substrate chemistry on prenucleation. Metall. Mater. Trans. A 2018, 49, 6231–6242. [Google Scholar] [CrossRef]
- Fan, Z. An epitaxial model for heterogeneous nucleation on potent substrates. Metall. Mater. Trans. A 2013, 44, 1409–1418. [Google Scholar] [CrossRef]
- Fan, Z.; Men, H.; Wang, Y.; Que, Z.P. A new atomistic mechanism for heterogeneous nucleation: Creating a 2D template for crystal growth. Metals 2021, 11, 478. [Google Scholar] [CrossRef]
- Fan, Z.; Men, H. A molecular dynamics study of heterogeneous nucleation in generic liquid/substrate systems with positive lattice misfit. Mater. Res. Express 2020, 7, 126501. [Google Scholar] [CrossRef]
- Hoyt, J.J.; Garvin, J.W.; Webb III, E.B.; Asta, M. An embedded atom method interatomic potential for the Cu-Pb system. Model. Simul. Mater. Sci. Eng. 2003, 11, 287–299. [Google Scholar] [CrossRef]
- Webb III, E.B.; Grest, G.S.; Heine, D.R. Precursor film controlled wetting of Pb on Cu. Phys. Rev. Lett. 2003, 91, 236102. [Google Scholar] [CrossRef]
- Hoyt, J.J. Molecular dynamics study of equilibrium concentration profiles and the gradient energy coefficient in Cu-Pb nanodroplets. Phys. Rev. B 2007, 76, 094102. [Google Scholar] [CrossRef]
- Kim, W.T.; Cantor, B. Solidification behaviour of Pb droplets embedded in a Cu matrix. Acta Metall. Mater. 1992, 40, 3339–3347. [Google Scholar] [CrossRef]
- Bilalbegovic, G.; Ercolessi, F.; Tosatti, E. Orientational phase separation for vicinal surfaces close to the nonmelting Pb(111) face. Europhys. Lett. 1992, 17, 333–337. [Google Scholar] [CrossRef]
- Bolcavage, A.; Kao, C.R.; Chen, S.-L.; Chang, Y.A. Thermodynamic calculation of phase stability between copper and lead-indium solder. In Applications of Thermodynamics in Synthesis and Processing of Materials; Nash, P., Sundman, B., Eds.; TMS: Warrendale, PA, USA, 1995. [Google Scholar]
- Plimpton, S. Fast parallel algorithms for short-range molecular dynamics. J. Comput. Phys. 1995, 117, 1–19. [Google Scholar] [CrossRef]
- Hook, J.R.; Hall, H.E. Solid State Physics, 2nd ed.; Wiley: Chichester, UK, 1991. [Google Scholar]
- Thompson, A.P.; Plimpton, S.J.; Mattson, W. General formulation of pressure and stress tensor for arbitrary many-body interaction potentials under periodic boundary conditions. J. Chem. Phys. 2009, 131, 154107. [Google Scholar] [CrossRef] [PubMed]
- Steinhardt, P.J.; Nelson, D.R.; Ronchetti, M. Bond-orientational order in liquids and glasses. Phys. Rev. B 1983, 28, 784–805. [Google Scholar] [CrossRef]
- Grimmer, H.; Bollmann, W.; Warrington, D.H. Coincidence-site lattices and complete pattern-shift in cubic crystals. Acta Crystallogra. A 1974, 30, 197–207. [Google Scholar] [CrossRef]
- Men, H.; Fan, Z. The Study on Prenucleation and Heterogeneous Nucleation in Liquid Pb on Solid Al with MD Simulation, Brunel Centre for Advanced Solidification Technology (BCAST), Brunel University London: Uxbridge, UK, 2022; to be submitted.
- Fan, Z.; Men, H. An overview on atomistic mechanisms of heterogeneous nucleation. Metals 2022, 12, 1547. [Google Scholar] [CrossRef]
- Ranganathan, S. On the geometry of coincidence-site lattices. Acta Cryst. 1966, 21, 197–199. [Google Scholar] [CrossRef]
- Kelton, K.F.; Greer, A.L. Nucleation in Condensed Mater: Applications in Materials and Biology; Elsevier Science: Oxford, UK, 2010. [Google Scholar]
- Fan, Z.; Gao, F.; Jiang, B.; Que, Z.P. Impeding nucleation for more significant grain refinement. Sci. Rep. 2020, 10, 9448. [Google Scholar] [CrossRef]
- Quested, T.E. Understanding mechanisms of grain refinement of Al alloys by inoculation. Mater. Sci. Technol. 2004, 20, 1357–1369. [Google Scholar] [CrossRef]









Publisher’s Note: MDPI stays neutral with regard to jurisdictional claims in published maps and institutional affiliations. |
© 2022 by the authors. Licensee MDPI, Basel, Switzerland. This article is an open access article distributed under the terms and conditions of the Creative Commons Attribution (CC BY) license (https://creativecommons.org/licenses/by/4.0/).
Share and Cite
Men, H.; Fan, Z. Heterogeneous Nucleation Mechanisms in Systems with Large Lattice Misfit Demonstrated by the Pb(l)/Cu(s) System. Metals 2022, 12, 1583. https://doi.org/10.3390/met12101583
Men H, Fan Z. Heterogeneous Nucleation Mechanisms in Systems with Large Lattice Misfit Demonstrated by the Pb(l)/Cu(s) System. Metals. 2022; 12(10):1583. https://doi.org/10.3390/met12101583
Chicago/Turabian StyleMen, Hua, and Zhongyun Fan. 2022. "Heterogeneous Nucleation Mechanisms in Systems with Large Lattice Misfit Demonstrated by the Pb(l)/Cu(s) System" Metals 12, no. 10: 1583. https://doi.org/10.3390/met12101583
APA StyleMen, H., & Fan, Z. (2022). Heterogeneous Nucleation Mechanisms in Systems with Large Lattice Misfit Demonstrated by the Pb(l)/Cu(s) System. Metals, 12(10), 1583. https://doi.org/10.3390/met12101583

