Galvanic Corrosion Study between Tensile-Stressed and Non-Stressed Carbon Steels in Simulated Concrete Pore Solution
Abstract
1. Introduction
2. Experimental Procedures
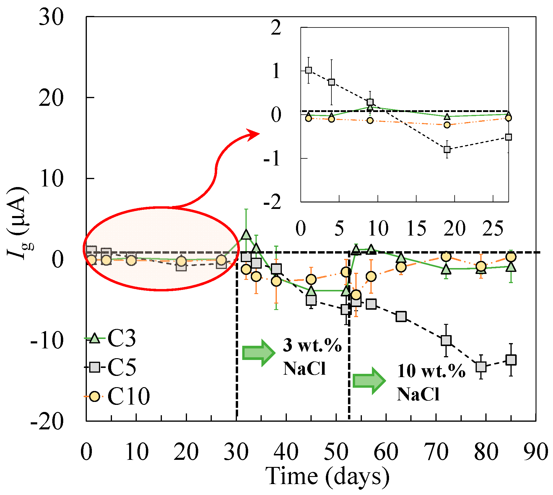
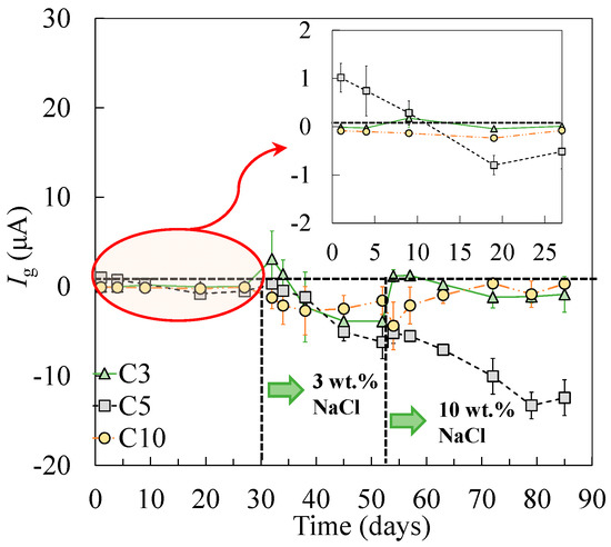
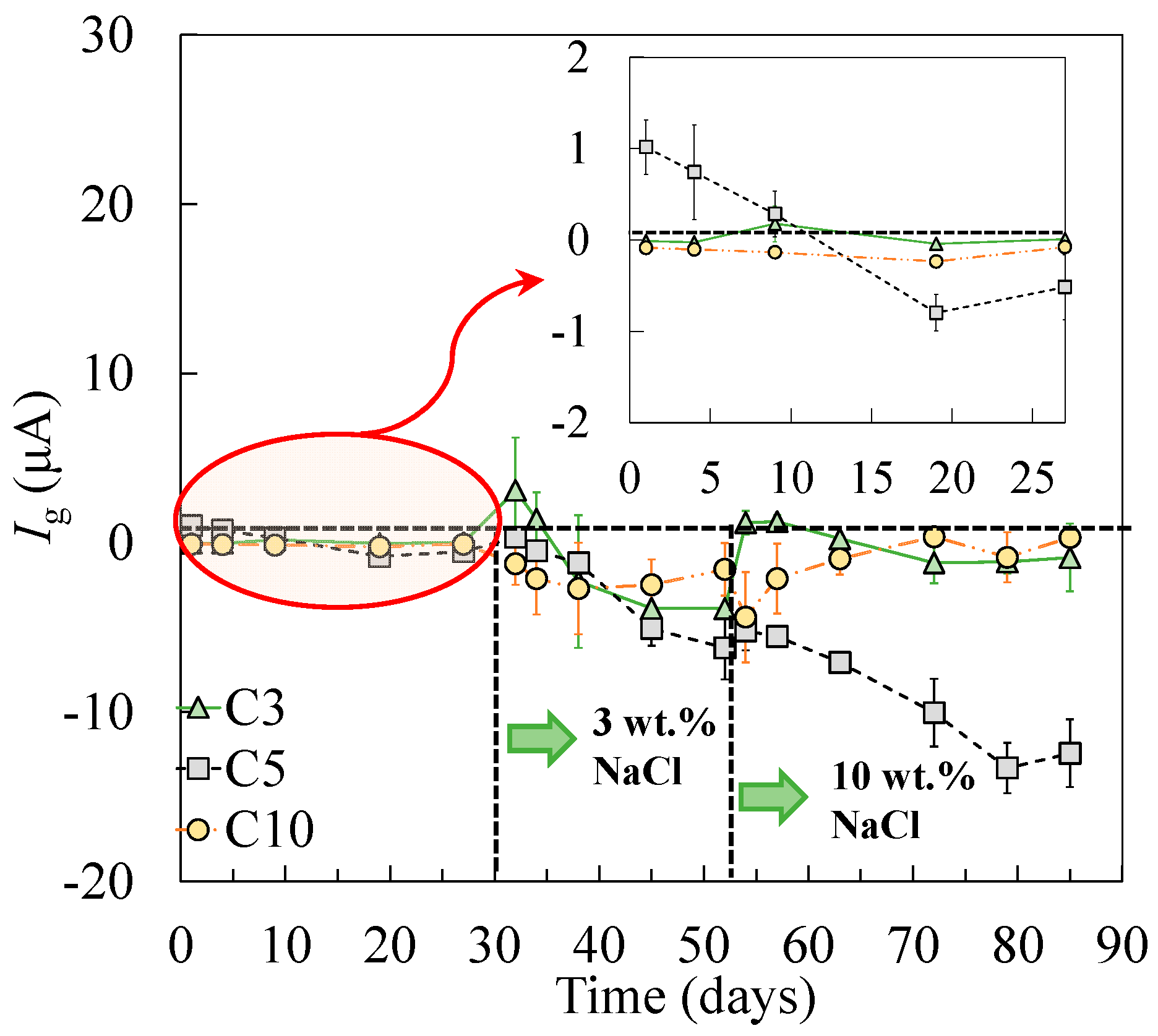
3. Results
4. Conclusions
Author Contributions
Funding
Institutional Review Board Statement
Informed Consent Statement
Data Availability Statement
Acknowledgments
Conflicts of Interest
References
- Dong, Z.; Gu, X.-L.; Jin, Z.-H.; Poursaee, A.; Ye, H. Experimental and numerical investigations on the rate-limiting step for macrocell corrosion of reinforcing steel in concrete. J. Mater. Civ. Eng. 2022, 34, 04021407. [Google Scholar] [CrossRef]
- Sabzi, M.; Jozani, A.H.; Zeidvandi, F.; Sadeghi, M.; Dezfuli, S.M. Effect of 2-mercaptobenzothiazole concentration on the sour corrosion behavior of API X60 pipeline steel: Electrochemical parameters and adsorption mechanism. Int. J. Miner. Met. Mater. 2020, 25, 288–299. [Google Scholar] [CrossRef]
- Golchinvafa, A.; Anijdan, S.H.M.; Sabzi, M.; Sadeghi, M. The effect of natural inhibitor concentration of Fumaria officinalis and temperature on corrosion protection mechanism in API X80 pipeline steel in 1 M H2SO4 solution. Int. J. Press. Vessel. Pip. 2020, 188, 104241. [Google Scholar] [CrossRef]
- Sabzi, M.; Dezfuli, S.M.; Asadian, M.; Tafi, A.; Mahaab, A. Study of the effect of temperature on corrosion behavior of galvanized steel in seawater environment by using potentiodynamic polarization and EIS methods. Mater. Res. Express 2019, 6, 076508. [Google Scholar] [CrossRef]
- Anijdan, S.H.M.; Arab, G.; Sabzi, M.; Sadeghi, M.; Eivani, A.R.; Jafarian, H.R. Sensitivity to hydrogen induced cracking, and corrosion performance of an API X65 pipeline steel in H2S containing environment: Influence of heat treatment and its subsequent microstructural changes. J. Mater. Res. Technol. 2021, 15, 1–16. [Google Scholar] [CrossRef]
- Shi, J.; Ming, J.; Sun, W.; Zhang, Y. Corrosion performance of reinforcing steel in concrete under simultaneous flexural load and chlorides attack. Constr. Build. Mater. 2017, 149, 315–326. [Google Scholar] [CrossRef]
- Wang, J.; Basheer, P.A.M.; Nanukuttan, S.V.; Long, A.E.; Bai, Y. Influence of service loading and the resulting micro-cracks on chloride resistance of concrete. Constr. Build. Mater. 2016, 108, 56–66. [Google Scholar] [CrossRef]
- Wang, H.L.; Dai, J.G.; Sun, X.Y. Chloride transport in concrete under sustained flexural loading. Mag. Concr. Res. 2017, 69, 245–254. [Google Scholar] [CrossRef]
- Li, L.; Li, C.Q.; Mahmoodian, M. Effect of applied stress on corrosion and mechanical properties of mild steel. J. Mater. Civ. Eng. 2019, 31, 04018375. [Google Scholar] [CrossRef]
- Zhang, Y.; Poursaee, A. Study of the semi-conductive behavior of the passive film on carbon steel in simulated concrete pore solution under stress. Anti-Corrosion Methods Mater. 2015, 62, 363–370. [Google Scholar] [CrossRef]
- Zhang, Y.; Poursaee, A. Passivation and corrosion behavior of carbon steel in simulated concrete pore solution under tensile and compressive stresses. J. Mater. Civ. Eng. 2015, 27, 04014234. [Google Scholar] [CrossRef]
- Li, F.; Yuan, Y.; Li, C.Q. Corrosion propagation of prestressing steel strands in concrete subjected to chloride attack. Constr. Build. Mater. 2011, 25, 3878–3885. [Google Scholar] [CrossRef]
- Ren, R.K.; Zhang, S.; Pang, X.L.; Gao, K.W. A novel observation of the interaction between the macroelastic stress and electrochemical corrosion of low carbon steel in 3.5 wt% NaCl solution. Electrochim. Acta 2012, 85, 283–294. [Google Scholar] [CrossRef]
- Wang, Y.; Xu, L.; Sun, J.; Cheng, Y.F. Mechano-electrochemical interaction for pipeline corrosion: A review. J. Pipeline Sci. Eng. 2021, 1, 1–16. [Google Scholar] [CrossRef]
- Chen, L.; Liu, W.; Dong, B.; Zhao, Y.; Zhang, T.; Fan, Y.; Yang, W. Insight into electrochemical passivation behavior and surface chemistry of 2205 duplex stainless steel: Effect of tensile elastic stress. Corros. Sci. 2021, 193, 109903. [Google Scholar] [CrossRef]
- Behera, P.K.; Misra, S.; Mondal, K. Corrosion behavior of strained rebar in simulated concrete pore solution. J. Mater. Eng. Perform. 2020, 29, 1939–1954. [Google Scholar] [CrossRef]
- Feng, X.; Tang, Y.; Zuo, Y. Influence of stress on passive behaviour of steel bars in concrete pore solution. Corros. Sci. 2011, 53, 1304–1311. [Google Scholar] [CrossRef]
- Song, Z.; Zhang, Y.; Liu, L.; Pu, Q.; Jiang, L.; Chu, H.; Luo, Y.; Liu, Q. Use of XPS for quantitative evaluation of tensile-stress-induced degradation of passive film on carbon steel in simulated concrete pore solution. Constr. Build. Mater. 2021, 274, 121779. [Google Scholar] [CrossRef]
- Feng, X.; Zuo, Y.; Tang, Y.; Zhao, X.; Lu, X. The degradation of passive film on carbon steel in concrete pore solution under compressive and tensile stresses. Electrochim. Acta 2011, 58, 258–263. [Google Scholar] [CrossRef]
- Cason, C.; Pezzato, L.; Breda, M.; Furlan, F.; Dabalà, M. Effect of microstructure and residual stresses, generated from different annealing and deformation processes, on the corrosion and mechanical properties of gold welding alloy wires. Gold Bull. 2015, 48, 135–145. [Google Scholar] [CrossRef][Green Version]
- Poursaee, A. Corrosion of Ti–6Al–4V orthopaedic alloy under stress. Materialia 2019, 6, 100271. [Google Scholar] [CrossRef]
- Zhou, C.H.; Ma, H.T.; Wang, L. Comparative study of oxidation kinetics for pure nickel oxidized under tensile and compressive stress. Corros. Sci. 2010, 52, 210–215. [Google Scholar] [CrossRef]
- Feng, X.; Lu, X.; Zuo, Y.; Zhuang, N.; Chen, D. Electrochemical study the corrosion behaviour of carbon steel in mortars under compressive and tensile stresses. Corros. Sci. 2016, 103, 66–74. [Google Scholar] [CrossRef]
- Gu, X.-L.; Dong, Z.; Yuan, Q.; Zhang, W.-P. Corrosion of stirrups under different relative humidity conditions in concrete exposed to chloride environment. J. Mater. Civ. Eng. 2020, 32, 04019329. [Google Scholar] [CrossRef]
- Dong, Z.; Poursaee, A. Corrosion behavior of coupled active and passive reinforcing steels in simulated concrete pore solution. Constr. Build. Mater. 2020, 240, 117955. [Google Scholar] [CrossRef]
- Torbati-Sarraf, H.; Poursaee, A. Corrosion of coupled steels with different microstructures in concrete environment. Constr. Build. Mater. 2018, 167, 680–687. [Google Scholar] [CrossRef]
- Kosaba, T.; Muto, I.; Sugawara, Y. Effect of anodizing on galvanic corrosion resistance of Al coupled to Fe or type 430 stainless steel in diluted synthetic seawater. Corros. Sci. 2021, 179, 109145. [Google Scholar] [CrossRef]
- Policastro, S.A.; Anderson, R.M.; Hangarter, C.M. Analysis of galvanic corrosion current between an aluminum alloy and stainless-steel exposed to an equilibrated droplet electrolyte. J. Electrochem. Soc. 2021, 168, 041507. [Google Scholar] [CrossRef]
- Okonkwo, B.O.; Ming, H.; Wang, J.; Han, E. Galvanic corrosion study between low alloy steel A508 and 309/308 L stainless steel dissimilar metals: A case study of the effects of oxide film and exposure time. J. Nucl. Mater. 2021, 548, 152853. [Google Scholar] [CrossRef]
- Chen, H.; Lv, Z.; Lu, L.; Huang, Y.; Li, X. Correlation of micro-galvanic corrosion behavior with corrosion rate in the initial corrosion process of dual phase steel. J. Mater. Res. Technol. 2021, 15, 3310–3320. [Google Scholar] [CrossRef]
- Hao, W.; Liu, Z.; Wu, W.; Li, X.; Du, C.; Zhang, D. Electrochemical characterization and stress corrosion cracking of E690 high strength steel in wet-dry cyclic marine environments. Mater. Sci. Eng. A 2018, 710, 318–328. [Google Scholar] [CrossRef]
- Poursaee, A. Corrosion of steel bars in saturated Ca(OH)2 and concrete pore solution. Concrete Research Letter. 2010, 1, 90–97. [Google Scholar]
- Poursaee, A.; Hansson, C.M. Reinforcing steel passivation in mortar and pore solution. Cem. Concr. Res. 2007, 37, 1127–1133. [Google Scholar] [CrossRef]
- Dong, Z.; Torbati-Sarraf, H.; Hussein, H.Z.; Poursaee, A. Harmonic analysis on the effect of potential perturbations and electrodes arrangements on the electrochemical impedance (EIS) measurement of cementitious material. Constr. Build. Mater. 2021, 273, 121701. [Google Scholar] [CrossRef]
- Sabzi, M.; Far, S.M.; Dezfuli, S.M. Characterization of bioactivity behavior and corrosion responses of hydroxyapatite-ZnO nanostructured coating deposited on NiTi shape memory alloy. Ceram. Int. 2018, 44, 21395–21405. [Google Scholar] [CrossRef]
- Poursaee, A. Determining the appropriate scan rate to perform cyclic polarization test on the steel bars in concrete. Electrochim. Acta 2010, 55, 1200–1206. [Google Scholar] [CrossRef]
- Orazem, M.E.; Pébère, N.; Tribollet, B. Enhanced graphical representation of electrochemical impedance data. J. Electrochem. Soc. 2006, 153, B129–B136. [Google Scholar] [CrossRef]
- Torbati-Sarraf, H.; Torbati-Sarraf, S.A.; Chawla, N.; Poursaee, A. A comparative study of corrosion behavior of an additively manufactured Al-6061 RAM2 with extruded Al-6061 T6. Corros. Sci. 2020, 174, 108838. [Google Scholar] [CrossRef]
- Volpi, E.; Olietti, A.; Stefanoni, M.; Trasatti, S.P. Electrochemical characterization of mild steel in alkaline solutions simulating concrete environment. J. Electroanal. Chem. 2015, 736, 38–46. [Google Scholar] [CrossRef]
- Torbati-Sarraf, H.; Poursaee, A. The influence of phase distribution and microstructure of the carbon steel on its chloride threshold value in a simulated concrete pore solution. Constr. Build. Mater. 2020, 259, 119784. [Google Scholar] [CrossRef]
- Li, Y.; Cheng, Y.F. Passive film growth on carbon steel and its nanoscale features at various passivating potentials. Appl. Surf. Sci. 2017, 396, 144–153. [Google Scholar] [CrossRef]
- Ghods, P.; Isgor, O.B.; Bensebaa, F.; Kingston, D. Angle-resolved XPS study of carbon steel passivity and chloride-induced depassivation in simulated concrete pore solution. Corros. Sci. 2012, 58, 159–167. [Google Scholar] [CrossRef]
- Chakri, S.; Frateur, I.; Orazem, M.E.; Sutter, E.M.M.; Tran, T.T.M.; Tribollet, B.; Vivier, V. Improved EIS analysis of the electrochemical behaviour of carbon steel in alkaline solution. Electrochim. Acta 2017, 246, 924–930. [Google Scholar] [CrossRef]
- Cattarin, S.; Comisso, N.; Musiani, M.; Tribollet, B. The impedance of an electrode coated by a resistive film with a graded thickness. Electrochem. Solid-State Lett. 2008, 11, C27–C30. [Google Scholar] [CrossRef]
- Cattarin, S.; Comisso, N.; Musiani, M.; Tribollet, B. Electrodes coated by passive oxide films with a thickness profile: Modeling and measurement of the impedance response. J. Electrochem. Soc. 2008, 155, C543–C549. [Google Scholar] [CrossRef]
- Sagüés, A.A.; Sánchez, A.N.; Lau, K.; Kranc, S.C. Service life forecasting for reinforced concrete incorporating potential-dependent chloride threshold. Corrosion 2014, 70, 942–957. [Google Scholar] [CrossRef]












| Specimens Nos. | Reduction in H (ΔH; mm) | Tensile Stress (MPa) | Percentage of Yield Stress (%) | |
|---|---|---|---|---|
| Individual Cell | Coupled Cell | |||
| A0 | C0 | 0.00 | 0.00 | 0 |
| A3 | C3 | 3.00 | 125.52 | 33 |
| A5 | C5 | 5.00 | 209.20 | 55 |
| A10 | C10 | 10.00 | 418.40 | 110 |
| Element | Percentage (%) |
|---|---|
| C | 0.100–0.200 |
| Mn | 0.300–0.400 |
| P | <0.035 |
| S | <0.035 |
| Compound | Concentration (mol/L) |
|---|---|
| NaOH | 0.1 |
| KOH | 0.3 |
| Ca(OH)2 | 0.03 |
| CaSO4⋅H2O (gypsum) | 0.002 |
| pH | 13.1 |
Publisher’s Note: MDPI stays neutral with regard to jurisdictional claims in published maps and institutional affiliations. |
© 2022 by the authors. Licensee MDPI, Basel, Switzerland. This article is an open access article distributed under the terms and conditions of the Creative Commons Attribution (CC BY) license (https://creativecommons.org/licenses/by/4.0/).
Share and Cite
Dong, Z.; Fu, C.; Poursaee, A. Galvanic Corrosion Study between Tensile-Stressed and Non-Stressed Carbon Steels in Simulated Concrete Pore Solution. Metals 2022, 12, 98. https://doi.org/10.3390/met12010098
Dong Z, Fu C, Poursaee A. Galvanic Corrosion Study between Tensile-Stressed and Non-Stressed Carbon Steels in Simulated Concrete Pore Solution. Metals. 2022; 12(1):98. https://doi.org/10.3390/met12010098
Chicago/Turabian StyleDong, Zheng, Chuanqing Fu, and Amir Poursaee. 2022. "Galvanic Corrosion Study between Tensile-Stressed and Non-Stressed Carbon Steels in Simulated Concrete Pore Solution" Metals 12, no. 1: 98. https://doi.org/10.3390/met12010098
APA StyleDong, Z., Fu, C., & Poursaee, A. (2022). Galvanic Corrosion Study between Tensile-Stressed and Non-Stressed Carbon Steels in Simulated Concrete Pore Solution. Metals, 12(1), 98. https://doi.org/10.3390/met12010098

