Effect of Ca Element on Microstructure and Corrosion Behavior of Single-Phase Mg–Sc Alloy
Abstract
:1. Introduction
2. Materials and Methods
3. Results and Discussion
3.1. Microstructure Analysis
3.2. Hydrogen Evolution Test
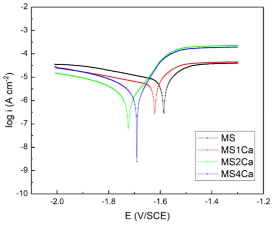
3.3. Potentiodynamic Polarization Curves
3.4. EIS Curves
3.5. Surface Morphologies after Corrosion
3.6. Corrosion Mechanism
4. Conclusions
Author Contributions
Funding
Institutional Review Board Statement
Informed Consent Statement
Data Availability Statement
Conflicts of Interest
References
- Song, G.; Atrens, A. Understanding Magnesium Corrosion—A Framework for Improved Alloy Performance. Adv. Eng. Mater. 2003, 5, 837–858. [Google Scholar] [CrossRef]
- Atrens, A.; Johnston, S.; Shi, Z.; Dargusch, M.S. Viewpoint—Understanding Mg corrosion in the body for biodegradable medical implants. Scripta. Mater. 2018, 154, 92–100. [Google Scholar] [CrossRef]
- Zhang, C.; Wu, L.; Huang, G.; Huang, Y.; Pan, F. Effect of microalloyed Ca on the microstructure and corrosion behavior of extruded Mg alloy AZ31. J. Alloy. Compd. 2020, 823, 153844. [Google Scholar] [CrossRef]
- Zhang, C.; Wu, L.; Zhao, Z.; Huang, G.; Jiang, B.; Atrens, A.; Pan, F. Effect of the Al–Si eutectic on the microstructure and corrosion behavior of the single-phase Mg alloy Mg–4Li. J. Magnes. Alloy. 2021, 9, 1339–1348. [Google Scholar] [CrossRef]
- Grimm, M.; Lohmüller, A.; Singer, R.F.; Virtanen, S. Influence of the microstructure on the corrosion behaviour of cast Mg-Al alloys. Corros. Sci. 2019, 155, 195–208. [Google Scholar] [CrossRef]
- Deng, M.; Höche, D.; Lamaka, S.V.; Wang, L.; Zheludkevich, M.L. Revealing the impact of second phase morphology on discharge properties of binary Mg-Ca anodes for primary Mg-air batteries. Corros. Sci. 2019, 153, 225–235. [Google Scholar] [CrossRef]
- Zhang, C.; Wu, L.; Huang, G.; Liu, K.; Jiang, B.; Wang, G.; Xia, D.; Atrens, A.; Pan, F. Influence of Microalloying with Ca and Ce on the Corrosion Behavior of Extruded Mg-3Al-1Zn. J. Electrochem. Soc. 2019, 166, C445–C453. [Google Scholar] [CrossRef]
- Song, G.L.; Atrens, A. Corrosion Mechanisms of Magnesium Alloys. Adv. Eng. Mater. 1999, 1, 11–33. [Google Scholar] [CrossRef]
- Li, C.Q.; Xu, D.K.; Chen, X.B.; Wang, B.J.; Wu, R.Z.; Han, E.H.; Birbilis, N. Composition and microstructure dependent corrosion behaviour of Mg-Li alloys. Electrochim. Acta 2018, 260, 55–64. [Google Scholar] [CrossRef]
- Beaudry, B.J.; Daane, A.H. A study of the scandium-magnesium system from 0 to 60 at.% scandium. J. Less Common Met. 1969, 18, 305–308. [Google Scholar] [CrossRef]
- Li, T.; He, Y.; Zhou, J.; Tang, S.; Yang, Y.; Wang, X. Effects of scandium addition on biocompatibility of biodegradable Mg–1.5Zn–0.6Zr alloy. Mater. Lett. 2018, 215, 200–202. [Google Scholar] [CrossRef]
- Zhang, C.; Wu, L.; Liu, H.; Huang, G.; Jiang, B.; Atrens, A.; Pan, F. Microstructure and corrosion behavior of Mg-Sc binary alloys in 3.5 wt.% NaCl solution. Corros. Sci. 2020, 174, 108831. [Google Scholar] [CrossRef]
- Kim, K.H.; Nam, N.D.; Kim, J.G.; Shin, K.S.; Jung, H.C. Effect of calcium addition on the corrosion behavior of Mg–5Al alloy. Intermetallics 2011, 19, 1831–1838. [Google Scholar] [CrossRef]
- Seong, J.W.; Kim, W.J. Development of biodegradable Mg-Ca alloy sheets with enhanced strength and corrosion properties through the refinement and uniform dispersion of the Mg2Ca phase by high-ratio differential speed rolling. Acta Biomater. 2015, 11, 531–542. [Google Scholar] [CrossRef]
- Wu, G.; Fan, Y.; Gao, H.; Zhai, C.; Zhu, Y.P. The effect of Ca and rare earth elements on the microstructure, mechanical properties and corrosion behavior of AZ91D. Mater. Sci. Eng. A 2005, 408, 255–263. [Google Scholar] [CrossRef]
- Yang, J.; Peng, J.; Nyberg, E.A.; Pan, F.-S. Effect of Ca addition on the corrosion behavior of Mg–Al–Mn alloy. Appl. Surf. Sci. 2016, 369, 92–100. [Google Scholar] [CrossRef]
- Osório, W.R.; Freitas, E.S.; Garcia, A. EIS and potentiodynamic polarization studies on immiscible monotectic Al–In alloys. Electrochim. Acta 2013, 102, 436–445. [Google Scholar] [CrossRef]
- Osório, W.R.; Peixoto, L.C.; Moutinho, D.J.; Gomes, L.G.; Ferreira, I.L.; Garcia, A. Corrosion resistance of directionally solidified Al–6Cu–1Si and Al–8Cu–3Si alloys castings. Mater. Des. 2011, 32, 3832–3837. [Google Scholar] [CrossRef]
- Zhang, X.L.; Jiang, Z.H.; Yao, Z.P.; Song, Y.; Wu, Z.D. Effects of scan rate on the potentiodynamic polarization curve obtained to determine the Tafel slopes and corrosion current density. Corros. Sci. 2009, 51, 581–587. [Google Scholar] [CrossRef]
- McCafferty, E. Validation of corrosion rates measured by the Tafel extrapolation method. Corros. Sci. 2005, 47, 3202–3215. [Google Scholar] [CrossRef]
- Atrens, A.; Song, G.-L.; Cao, F.; Shi, Z.; Bowen, P.K. Advances in Mg corrosion and research suggestions. J. Magnes. Alloy. 2013, 1, 177–200. [Google Scholar] [CrossRef] [Green Version]
- Cao, F.; Shi, Z.; Hofstetter, J.; Uggowitzer, P.J.; Song, G.; Liu, M.; Atrens, A. Corrosion of ultra-high-purity Mg in 3.5% NaCl solution saturated with Mg (OH)2. Corros. Sci. 2013, 75, 78–99. [Google Scholar] [CrossRef]
- Feng, Y.-J.; Wei, L.; Chen, X.-B.; Li, M.-C.; Cheng, Y.-F.; Li, Q. Unexpected cathodic role of Mg41Sm5 phase in mitigating localized corrosion of extruded Mg-Sm-Zn-Zr alloy in NaCl solution. Corros. Sci. 2019, 159, 108133. [Google Scholar] [CrossRef]
- Xiang, Q.; Jiang, B.; Zhang, Y.; Chen, X.; Song, J.; Xu, J.; Fang, L.; Pan, F. Effect of rolling-induced microstructure on corrosion behaviour of an as-extruded Mg-5Li-1Al alloy sheet. Corros. Sci. 2017, 119, 14–22. [Google Scholar] [CrossRef]
- Zhang, T.; Meng, G.; Shao, Y.; Cui, Z.; Wang, F. Corrosion of hot extrusion AZ91 magnesium alloy. Part II: Effect of rare earth element neodymium (Nd) on the corrosion behavior of extruded alloy. Corros. Sci. 2011, 53, 2934–2942. [Google Scholar] [CrossRef]
- Jiang, P.; Blawert, C.; Hou, R.; Scharnagl, N.; Bohlen, J.; Zheludkevich, M.L. Microstructural influence on corrosion behavior of MgZnGe alloy in NaCl solution. J. Alloy. Compd. 2019, 783, 179–192. [Google Scholar] [CrossRef]
- Yin, Z.; Chen, Y.; Yan, H.; Zhou, G.-h.; Wu, X.-q.; Hu, Z. Effects of the second phases on corrosion resistance of AZ91-xGd alloys treated with ultrasonic vibration. J. Alloy. Compd. 2019, 783, 877–885. [Google Scholar] [CrossRef]
- Metalnikov, P.; Ben-Hamu, G.; Eliezer, D.; Shin, K.S. Role of Sn in microstructure and corrosion behavior of new wrought Mg-5Al alloy. J. Alloy. Compd. 2019, 777, 835–849. [Google Scholar] [CrossRef]
- Zhang, G.; Wu, L.; Tang, A.; Weng, B.; Atrens, A.; Ma, S.; Liu, L.; Pan, F. Sealing of anodized magnesium alloy AZ31 with MgAl layered double hydroxides layers. RSC. Adv. 2018, 8, 2248–2259. [Google Scholar] [CrossRef] [Green Version]
- Liu, S.; Li, B.; Wang, X.; Su, W.; Han, H. Refinement effect of cerium, calcium and strontium in AZ91 magnesium alloy. J. Mater. Process. Technol. 2009, 209, 3999–4004. [Google Scholar] [CrossRef]
- Aung, N.N.; Zhou, W. Effect of grain size and twins on corrosion behaviour of AZ31B magnesium alloy. Corros. Sci. 2010, 52, 589–594. [Google Scholar] [CrossRef]
- Zeng, R.-C.; Qi, W.-C.; Cui, H.-Z.; Zhang, F.; Li, S.-Q.; Han, E.-H. In vitro corrosion of as-extruded Mg–Ca alloys—The influence of Ca concentration. Corros. Sci. 2015, 96, 23–31. [Google Scholar] [CrossRef]
- Rad, H.R.B.; Idris, M.H.; Kadir, M.R.A.; Farahany, S. Microstructure analysis and corrosion behavior of biodegradable Mg–Ca implant alloys. Mater. Des. 2012, 33, 88–97. [Google Scholar] [CrossRef]







| Alloys | Mg | Sc | Ca | Fe | Si |
|---|---|---|---|---|---|
| MS | Bal. | 0.23 | 0 | 0.0024 | 0.0032 |
| MS1Ca | Bal. | 0.25 | 0.09 | 0.0021 | 0.0046 |
| MS2Ca | Bal. | 0.24 | 0.22 | 0.0032 | 0.0078 |
| MS4Ca | Bal. | 0.23 | 0.38 | 0.0028 | 0.0065 |
| Alloys | Ecorr (V vs. SCE) | icorr (A cm−2) |
|---|---|---|
| MS | −1.588 | 3.55 × 10−6 |
| MS1Ca | −1.622 | 2.51 × 10−6 |
| MS2Ca | −1.729 | 1.05 × 10−6 |
| MS4Ca | −1.691 | 1.58 × 10−6 |
| Alloys | Rs (Ω cm2) | Ydl (Ω−1 cm−2 sn) | ndl | Rt (Ω cm2) | Yf (Ω−1 cm−2 sn) | nf | Rf (Ω cm2) | χ2 |
|---|---|---|---|---|---|---|---|---|
| MS | 32.2 | 1.50 × 10−3 | 0.74 | 575.8 | 1.2 × 10−5 | 0.92 | 858.4 | 1.32 × 10−3 |
| MS1Ca | 32.0 | 1.13 × 10−3 | 0.72 | 811.0 | 1.5 × 10−5 | 0.93 | 980.3 | 1.46 × 10−3 |
| MS2Ca | 31.4 | 1.16 × 10−5 | 0.92 | 1388.1 | 1.2 × 10−3 | 0.76 | 1368.2 | 1.73 × 10−3 |
| MS4Ca | 32.4 | 1.28 × 10−3 | 0.73 | 810.8 | 1.2 × 10−5 | 0.92 | 1273.1 | 1.22 × 10−3 |
Publisher’s Note: MDPI stays neutral with regard to jurisdictional claims in published maps and institutional affiliations. |
© 2022 by the authors. Licensee MDPI, Basel, Switzerland. This article is an open access article distributed under the terms and conditions of the Creative Commons Attribution (CC BY) license (https://creativecommons.org/licenses/by/4.0/).
Share and Cite
Zhang, C.; Peng, C.; Huang, J.; Zhao, Y.; Han, T.; Wang, G.; Wu, L.; Huang, G. Effect of Ca Element on Microstructure and Corrosion Behavior of Single-Phase Mg–Sc Alloy. Metals 2022, 12, 93. https://doi.org/10.3390/met12010093
Zhang C, Peng C, Huang J, Zhao Y, Han T, Wang G, Wu L, Huang G. Effect of Ca Element on Microstructure and Corrosion Behavior of Single-Phase Mg–Sc Alloy. Metals. 2022; 12(1):93. https://doi.org/10.3390/met12010093
Chicago/Turabian StyleZhang, Cheng, Cheng Peng, Jin Huang, Yanchun Zhao, Tingzhuang Han, Guangang Wang, Liang Wu, and Guangsheng Huang. 2022. "Effect of Ca Element on Microstructure and Corrosion Behavior of Single-Phase Mg–Sc Alloy" Metals 12, no. 1: 93. https://doi.org/10.3390/met12010093
APA StyleZhang, C., Peng, C., Huang, J., Zhao, Y., Han, T., Wang, G., Wu, L., & Huang, G. (2022). Effect of Ca Element on Microstructure and Corrosion Behavior of Single-Phase Mg–Sc Alloy. Metals, 12(1), 93. https://doi.org/10.3390/met12010093

