Numerical Analysis of the Partial Penetration High Power Laser Beam Welding of Thick Sheets at High Process Speeds
Abstract
:1. Introduction
2. Materials and Methods
2.1. Materials
2.2. Experiments
2.3. Numerical Modeling
2.3.1. Assumptions
- The molten metal and the gas phases are assumed to be Newtonian and incompressible fluids.
- The flow regimes in the model are considered to be laminar.
- The Boussinesq approximation is used to model the impact of the density deviation on the flow.
2.3.2. Governing Equations
2.3.3. Raytracing Algorithms
2.3.4. Boundary Conditions
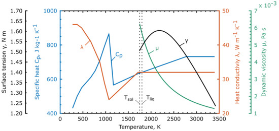
2.3.5. Material Properties
2.3.6. Numerical Setup
3. Results
3.1. Process Efficiency and Drilling Speeds
3.2. Correlation between the Energy Distributions in the Keyhole and the Penetration Depth
4. Conclusions
- A three-dimensional transient multi-physics numerical model is developed, allowing for the prediction of the keyhole geometry and the final penetration depth.
- Two ray tracing algorithms are implemented, namely a standard ray-tracing approach and an approach using a virtual mesh refinement for more accurate calculation of the reflection points.
- Both algorithms provide sufficient accuracy for the prediction of the keyhole depth during LBW with process speeds of up to −1.
- The standard algorithm is found to underestimate the penetration depth at process speeds of −1 due to a trapping effect of the laser energy in the top region.
- The virtually refined ray tracing approach results in high accuracy results for both process speeds of −1 and −1.
Author Contributions
Funding
Conflicts of Interest
References
- Swift-Hook, D.T.; Gick, A.E.F. Penetration welding with lasers. Weld. J. 1973, 52, 492–499. [Google Scholar]
- Zhang, X.; Ashida, E.; Tarasawa, S.; Anma, Y.; Okada, M.; Katayama, S.; Mitzutani, M. Welding of thick stainless steel plates up to 50 mm with high brightness lasers. J. Laser Appl. 2011, 23, 022002. [Google Scholar] [CrossRef]
- Nielsen, S.E. High power laser hybrid welding—Challenges and perspectives. Phys. Procedia 2015, 78, 24–34. [Google Scholar] [CrossRef]
- Katayama, S.; Mizutani, M.; Kawahito, Y.; Ito, S.; Sumimori, D. Fundamental research of 100 kW fiber laser welding technology. In Proceedings of the Lasers in Manufacturing Conference (LiM), Munich, Germany, 22–25 June 2015; pp. 22–25. [Google Scholar]
- Bachmann, M.; Gumenyuk, A.; Rethmeier, M. Welding with high-power lasers: Trends and developments. Phys. Procedia 2016, 83, 15–25. [Google Scholar] [CrossRef]
- Jones, L.P.; Aubert, P.; Avilov, V.; Coste, F.; Daenner, W.; Jokinen, T.; Nightingale, K.R.; Wykes, M. Towards advanced welding methods for the ITER vacuum vessel sectors. Fusion Eng. Des. 2003, 69, 215–220. [Google Scholar] [CrossRef]
- Fang, C.; Song, Y.; Wu, W.; Wei, J.; Zhang, S.; Li, H.; Dolgetta, N.; Libeyre, P.; Cormany, C.; Sgobba, S. The laser welding with hot wire of 316 LN thick plate applied on ITER correction coil case. J. Fusion Energy 2014, 33, 752–758. [Google Scholar] [CrossRef]
- Fang, C.; Xin, J.; Dai, W.; Yang, W.; Wei, J.; Song, Y. 20 kW laser welding applied on the international thermonuclear experimental reactor correction coil case welding. J. Laser Appl. 2020, 32, 022039. [Google Scholar] [CrossRef]
- Kawahito, Y.; Mizutani, M.; Katayama, S. High quality welding of stainless steel with 10 kW high power fibre laser. Sci. Technol. Weld. Join. 2010, 14, 288–294. [Google Scholar] [CrossRef]
- Xu, J.; Rong, Y.; Huang, Y.; Wang, P.; Wang, C. Keyhole-induced porosity formation during laser welding. J. Mater. Process. Technol. 2018, 252, 720–727. [Google Scholar] [CrossRef]
- Zhang, M.J.; Chen, G.Y.; Zhou, Y.; Li, S.C.; Deng, H. Observation of spatter formation mechanisms in high-power fiber laser welding of thick plate. Appl. Surf. Sci. 2013, 280, 868–875. [Google Scholar] [CrossRef]
- Li, S.; Chen, G.; Katayama, S.; Zhang, Y. Relationship between spatter formation and dynamic molten pool during high-power deep-penetration laser welding. Appl. Surf. Sci. 2014, 280, 481–488. [Google Scholar] [CrossRef]
- Bachmann, M.; Avilov, V.; Gumenyuk, A.; Rethmeier, M. Numerical simulation of full-penetration laser beam welding of thick aluminium plates with inductive support. J. Phys. Appl. Phys. 2011, 45, 035201. [Google Scholar] [CrossRef]
- Avilov, V.V.; Gumenyuk, A.; Lammers, M.; Rethmeier, M. PA position full penetration high power laser beam welding of up to 30 mm thick AlMg3 plates using electromagnetic weld pool support. Sci. Technol. Weld. Join. 2012, 17, 128–133. [Google Scholar] [CrossRef]
- Schuster, J. Heißrisse in Schweißverbindungen: Entstehung, Nachweis und Vermeidung; DVS—Verlag: Düsseldorf, Germany, 2004. [Google Scholar]
- Cross, C. On the origin of weld solidification cracking. In Hot Cracking Phenomena in Welds; Springer: Berlin/Heidelberg, Germany, 2005; pp. 3–18. [Google Scholar]
- Bakir, N.; Artinov, A.; Gumenyuk, A.; Bachmann, M.; Rethmeier, M. Numerical simulation on the origin of solidification cracking in laser welded thick-walled structures. Metals 2018, 8, 406. [Google Scholar] [CrossRef] [Green Version]
- Li, L. A comparative study of ultrasound emission characteristics in laser processing. Appl. Surf. Sci. 2002, 186, 604–610. [Google Scholar] [CrossRef]
- Wang, J.; Yu, H.; Qian, Y.; Yang, R. Interference analysis of infrared temperature measurement in hybrid welding. In Robotic Welding, Intelligence and Automation; Springer: Berlin/Heidelberg, Germany, 2011; pp. 369–374. [Google Scholar]
- Artinov, A.; Bakir, N.; Bachmann, M.; Gumenyuk, A.; Na, S.J.; Rethmeier, M. On the search for the origin of the bulge effect in high power laser beam welding. J. Laser Appl. 2019, 31, 022413. [Google Scholar] [CrossRef]
- Saeed, G.; Lou, M.; Zhang, Y.M. Computation of 3D weld pool surface from the slope field and point tracking of laser beams. Meas. Sci. Technol. 2003, 15, 389. [Google Scholar] [CrossRef] [Green Version]
- Song, H.S.; Zhang, Y.M. Three-dimensional reconstruction of specular surface for a gas tungsten arc weld pool. J. Meas. Sci. Technol. 2007, 18, 3751. [Google Scholar] [CrossRef] [Green Version]
- Kim, C.H.; Ahn, D.C. Coaxial monitoring of keyhole during Yb: YAG laser welding. Opt. Laser Technol. 2012, 44, 1874–1880. [Google Scholar] [CrossRef]
- Chenglei, Z.; Xixia, L.; Yi, Z. Coaxial Monitoring of Fiber Laser Butt Welding of Zn-Coated Steel Sheets with an Auxiliary Illuminant. Appl. Laser 2013, 01. Available online: https://en.cnki.com.cn/Article_en/CJFDTotal-YYJG201301016.htm (accessed on 16 August 2021).
- Luo, M.; Shin, Y.C. Estimation of keyhole geometry and prediction of welding defects during laser welding based on a vision system and a radial basis function neural network. Int. J. Adv. Manuf. Technol. 2015, 81, 263–276. [Google Scholar] [CrossRef]
- Seto, N.; Katayama, S.; Matsunawa, A. High-speed simultaneous observation of plasma and keyhole behavior during high power CO2 laser welding: Effect of shielding gas on porosity formation. J. Laser Appl. 2019, 12, 245–250. [Google Scholar] [CrossRef]
- Kawahito, Y.; Uemura, Y.; Doi, Y.; Mizutani, M.; Nishimoto, K.; Kawakami, H.; Tanaka, M.; Fujii, H.; Nakata, K.; Katayama, S. Elucidation of the effect of welding speed on melt flows in high-brightness and high-power laser welding of stainless steel on basis of three-dimensional X-ray transmission in situ observation. Weld. Int. 2017, 31, 206–213. [Google Scholar] [CrossRef]
- Simonds, B.J.; Tanner, J.; Artusio-Glimpse, A.; Williams, P.A.; Parab, N.; Zhao, C.; Sun, T. The causal relationship between melt pool geometry and energy absorption measured in real time during laser-based manufacturing. Appl. Mater. Today 2021, 23, 101049. [Google Scholar]
- Wilson, H.A. On convection of heat. Math. Proc. Camb. Philos. Soc. 1904, 12, 406–423. [Google Scholar]
- Rosenthal, D. Mathematical theory of heat distribution during welding and cutting. Weld. J. 1941, 20, 220–234. [Google Scholar]
- Karkhin, V.A.; Pilipenko, A.Y. Modelling thermal cycles in the weld metal and the heat affected zone in beam methods of welding thick plates. Weld. Int. 1997, 11, 401–403. [Google Scholar] [CrossRef]
- Karkhin, V.A.; Khomich, P.N.; Michailov, V.G. Models for volume heat sources and functional-analytical technique for calculating the temperature fields in butt welding. In Mathematical Modelling of Weld Phenomena; Verlag der Technischen Universitaet Graz: Graz, Austria, 2007; pp. 819–834. [Google Scholar]
- Chukkan, J.R.; Vasudevan, M.; Muthukumaran, S.; Kumar, R.R.; Chandrasekhar, N. Simulation of laser butt welding of AISI 316L stainless steel sheet using various heat sources and experimental validation. J. Mater. Process. Technol. 2015, 219, 48–59. [Google Scholar] [CrossRef]
- Kaplan, A. A model of deep penetration laser welding based on calculation of the keyhole profile. J. Phys. Appl. Phys. 1994, 27, 1805. [Google Scholar] [CrossRef]
- Ki, H.; Mazumder, J.; Mohanty, P.S. Modeling of laser keyhole welding: Part I. Mathematical modeling, numerical methodology, role of recoil pressure, multiple reflections, and free surface evolution. Metall. Mater. Trans. A 2002, 33, 1817–1830. [Google Scholar] [CrossRef]
- Ki, H.; Mazumder, J.; Mohanty, P.S. Modeling of laser keyhole welding: Part II. Simulation of keyhole evolution, velocity, temperature profile, and experimental verification. Metall. Mater. Trans. A 2002, 33, 1831–1842. [Google Scholar] [CrossRef]
- Otto, A.; Koch, H.; Leitz, K.H.; Schmidt, M. Numerical simulations—A versatile approach for better understanding dynamics in laser material processing. Phys. Procedia 2011, 12, 11–20. [Google Scholar] [CrossRef] [Green Version]
- Tan, W.; Bailey, N.S.; Shin, Y.C. Investigation of keyhole plume and molten pool based on a three-dimensional dynamic model with sharp interface formulation. J. Phys. D Appl. Phys. 2013, 46, 055501. [Google Scholar] [CrossRef]
- Pang, S.; Chen, X.; Zhou, J.; Shao, X.; Wang, C. 3D transient multiphase model for keyhole, vapor plume, and weld pool dynamics in laser welding including the ambient pressure effect. Opt. Lasers Eng. 2015, 74, 47–58. [Google Scholar] [CrossRef]
- Cho, J.H.; Na, S.J. Implementation of real-time multiple reflection and Fresnel absorption of laser beam in keyhole. J. Phys. D Appl. Phys. 2006, 39, 5372. [Google Scholar] [CrossRef]
- Cho, W.I.; Na, S.J.; Cho, M.H.; Lee, J.S. Numerical study of alloying element distribution in CO2 laser–GMA hybrid welding. Comput. Mater. Sci. 2010, 49, 792–800. [Google Scholar] [CrossRef]
- Panwisawas, C.; Sovani, Y.; Turner, R.P.; Brooks, J.W.; Basoalto, H.C.; Choquet, I. Modelling of thermal fluid dynamics for fusion welding. J. Mater. Process. Technol. 2018, 252, 176–182. [Google Scholar] [CrossRef]
- Cho, W.-I.; Na, S.-J.; Thomy, C.; Vollertsen, F. Numerical simulation of molten pool dynamics in high power disk laser welding. J. Mater. Process. Technol. 2012, 212, 262–275. [Google Scholar] [CrossRef]
- Muhammad, S.; Han, S.W.; Na, S.J.; Gumenyuk, A.; Rethmeier, M. Study on the role of recondensation flux in high power laser welding by computational fluid dynamics simulations. J. Laser Appl. 2018, 30, 012013. [Google Scholar] [CrossRef]
- Svenungsson, J.; Choquet, I.; Kaplan, A.F. Laser welding process—A review of keyhole welding modelling. Phys. Procedia 2015, 78, 182–191. [Google Scholar] [CrossRef] [Green Version]
- Meng, X.; Bachmann, M.; Artinov, A.; Rethmeier, M. Experimental and numerical assessment of weld pool behavior and final microstructure in wire feed laser beam welding with electromagnetic stirring. J. Manuf. Process. 2019, 45, 408–418. [Google Scholar] [CrossRef]
- Meng, X.; Artinov, A.; Bachmann, M.; Rethmeier, M. Numerical and experimental investigation of thermo-fluid flow and element transport in electromagnetic stirring enhanced wire feed laser beam welding. Int. J. Heat Mass Transf. 2019, 144, 118663. [Google Scholar] [CrossRef]
- Meng, X.; Artinov, A.; Bachmann, M.; Rethmeier, M. Numerical study of additional element transport in wire feed laser beam welding. Procedia CIRP 2020, 94, 722–725. [Google Scholar] [CrossRef]
- Meng, X.; Artinov, A.; Bachmann, M.; Rethmeier, M. Theoretical study of influence of electromagnetic stirring on transport phenomena in wire feed laser beam welding. J. Laser Appl. 2020, 32, 022026. [Google Scholar] [CrossRef]
- Meng, X.; Bachmann, M.; Artinov, A.; Rethmeier, M. The influence of magnetic field orientation on metal mixing in electromagnetic stirring enhanced wire feed laser beam welding. J. Mater. Process. Technol. 2021, 294, 117135. [Google Scholar] [CrossRef]
- Hirt, C.W.; Nichols, B.D. Volume of Fluid (VOF) Method for the Dynamics of Free Boundaries. J. Comput. Phys. 1981, 39, 201–225. [Google Scholar] [CrossRef]
- Faber, T.E. Fluid Dynamics for Physicists; Cambridge University Press: Cambridge, UK, 1995. [Google Scholar]
- Voller, V.R.; Prakash, C. A fixed grid numerical modelling methodology for convection-diffusion mushy region phase-change problems. Int. J. Heat Mass Transf. 1987, 30, 1709–1719. [Google Scholar] [CrossRef]
- Brent, A.D.; Voller, V.R.; Reid, K.T.J. Enthalpy-porosity technique for modeling convection-diffusion phase change: Application to the melting of a pure metal. Numer. Heat Transf. Part A Appl. 1988, 13, 297–318. [Google Scholar]
- Mills, K.C.; Keene, B.J.; Brooks, R.F.; Shirali, A. Marangoni effects in welding. Philos. Trans. R. Soc. Lond. Ser. A Math. Phys. Eng. Sci. 1998, 356, 911–925. [Google Scholar] [CrossRef]
- Semak, V.; Matsunawa, A. The role of recoil pressure in energy balance during laser materials processing. J. Phys. D Appl. Phys. 1997, 38, 2541. [Google Scholar] [CrossRef]
- Khairallah, S.A.; Martin, A.A.; Lee, J.R.; Guss, G.; Calta, N.P.; Hammons, J.A.; Nielsen, M.H.; Chaput, K.; Schwalbach, E.; Shah, M.N.; et al. Controlling interdependent meso-nanosecond dynamics and defect generation in metal 3D printing. Science 2020, 368, 660–665. [Google Scholar] [CrossRef]
- Otto, A.; Vázquez, R.G. Fluid dynamical simulation of high speed micro welding. J. Laser Appl. 2018, 30, 032411. [Google Scholar] [CrossRef]
- Schulz, W.; Simon, G.; Urbassek, H.M.; Decker, L. On laser fusion cutting of metals. J. Phys. D Appl. Phys. 1987, 20, 481–488. [Google Scholar] [CrossRef]
- Cho, W.I.; Na, S.J. Impact of Wavelengths of CO2, Disk, and Green Lasers on Fusion Zone Shape in Laser Welding of Steel. J. Weld. Join. 2020, 38, 235–240. [Google Scholar] [CrossRef]
- Han, S.W.; Ahn, J.; Na, S.J. A study on ray tracing method for CFD simulations of laser keyhole welding: Progressive search method. Weld. World 2016, 60, 247–258. [Google Scholar] [CrossRef]
- Youngs, D.L. Time-dependent multi-material flow with large fluid distortion. Numer. Methods Fluid Dyn. 1982, 24, 273–285. [Google Scholar]
- Meng, X.; Qin, G.; Zong, R. Thermal behavior and fluid flow during humping formation in high-speed full penetration gas tungsten arc welding. Int. J. Therm. Sci. 2018, 134, 380–391. [Google Scholar] [CrossRef]
- Sahoo, P.; Debroy, T.; McNallan, M.J. Surface tension of binary metal-surface active solute systems under conditions relevant to welding metallurgy. Metall. Trans. B 1988, 19, 483–491. [Google Scholar] [CrossRef]
- Mills, K.C. Recommended Values of Thermophysical Properties for Selected Commercial Alloys; Woodhead Publishing: Shaxton, UK, 2002. [Google Scholar]
- ESI Group. Material Database; ESI Group: Paris, France, 2009. [Google Scholar]
- Kawahito, Y.; Matsumoto, N.; Abe, Y.; Katayama, S. Relationship of laser absorption to keyhole behavior in high power fiber laser welding of stainless steel and aluminum alloy. J. Mater. Process. Technol. 2011, 211, 1563–1568. [Google Scholar] [CrossRef]
- Wang, Y.; Jiang, P.; Zhao, J.; Geng, S. Effects of energy density attenuation on the stability of keyhole and molten pool during deep penetration laser welding process: A combined numerical and experimental study. Int. J. Heat Mass Transf. 2021, 176, 121410. [Google Scholar] [CrossRef]










| Material | C | Si | Mn | P | S | Cu | Fe |
|---|---|---|---|---|---|---|---|
| S355J2+N | 0.088 | 0.34 | 1.38 | - | - | 0.028 | bal. |
| DIN EN 10025 | ≤0.2 | ≤0.55 | ≤1.6 | ≤0.025 | ≤0.025 | ≤0.55 | bal. |
| Parameters | Value | |
|---|---|---|
| Wave length | 1030 nm | |
| Fiber diameter | 200 μm | |
| Beam parameter product (BPP) | 8 mm mrad | |
| Optical system | HIGHYAG BIMO HP | |
| Focal diameter | 500 μm | |
| Focal length | 300 mm | |
| Rayleigh length | 6.9 mm | |
| Material | S355J2+N | |
| Sheet thickness | 12 mm | |
| Laser power | 6 kW | 10 kW |
| Focal position | −3 mm | |
| Welding speed | 1.5 m min−1 | 2.5 m min−1 |
| Laser torch angle | 0° | |
| Shielding gas nozzle angle | 35° | |
| Shielding gas | Ar, 25 L/min | |
Publisher’s Note: MDPI stays neutral with regard to jurisdictional claims in published maps and institutional affiliations. |
© 2021 by the authors. Licensee MDPI, Basel, Switzerland. This article is an open access article distributed under the terms and conditions of the Creative Commons Attribution (CC BY) license (https://creativecommons.org/licenses/by/4.0/).
Share and Cite
Artinov, A.; Meng, X.; Bachmann, M.; Rethmeier, M. Numerical Analysis of the Partial Penetration High Power Laser Beam Welding of Thick Sheets at High Process Speeds. Metals 2021, 11, 1319. https://doi.org/10.3390/met11081319
Artinov A, Meng X, Bachmann M, Rethmeier M. Numerical Analysis of the Partial Penetration High Power Laser Beam Welding of Thick Sheets at High Process Speeds. Metals. 2021; 11(8):1319. https://doi.org/10.3390/met11081319
Chicago/Turabian StyleArtinov, Antoni, Xiangmeng Meng, Marcel Bachmann, and Michael Rethmeier. 2021. "Numerical Analysis of the Partial Penetration High Power Laser Beam Welding of Thick Sheets at High Process Speeds" Metals 11, no. 8: 1319. https://doi.org/10.3390/met11081319
APA StyleArtinov, A., Meng, X., Bachmann, M., & Rethmeier, M. (2021). Numerical Analysis of the Partial Penetration High Power Laser Beam Welding of Thick Sheets at High Process Speeds. Metals, 11(8), 1319. https://doi.org/10.3390/met11081319

