On the Effect of Multiple Passes on Kerf Characteristics and Efficiency of Abrasive Waterjet Cutting
Abstract
1. Introduction
2. Materials and Methods
3. Results
3.1. Experimental Results and Slot Morphology
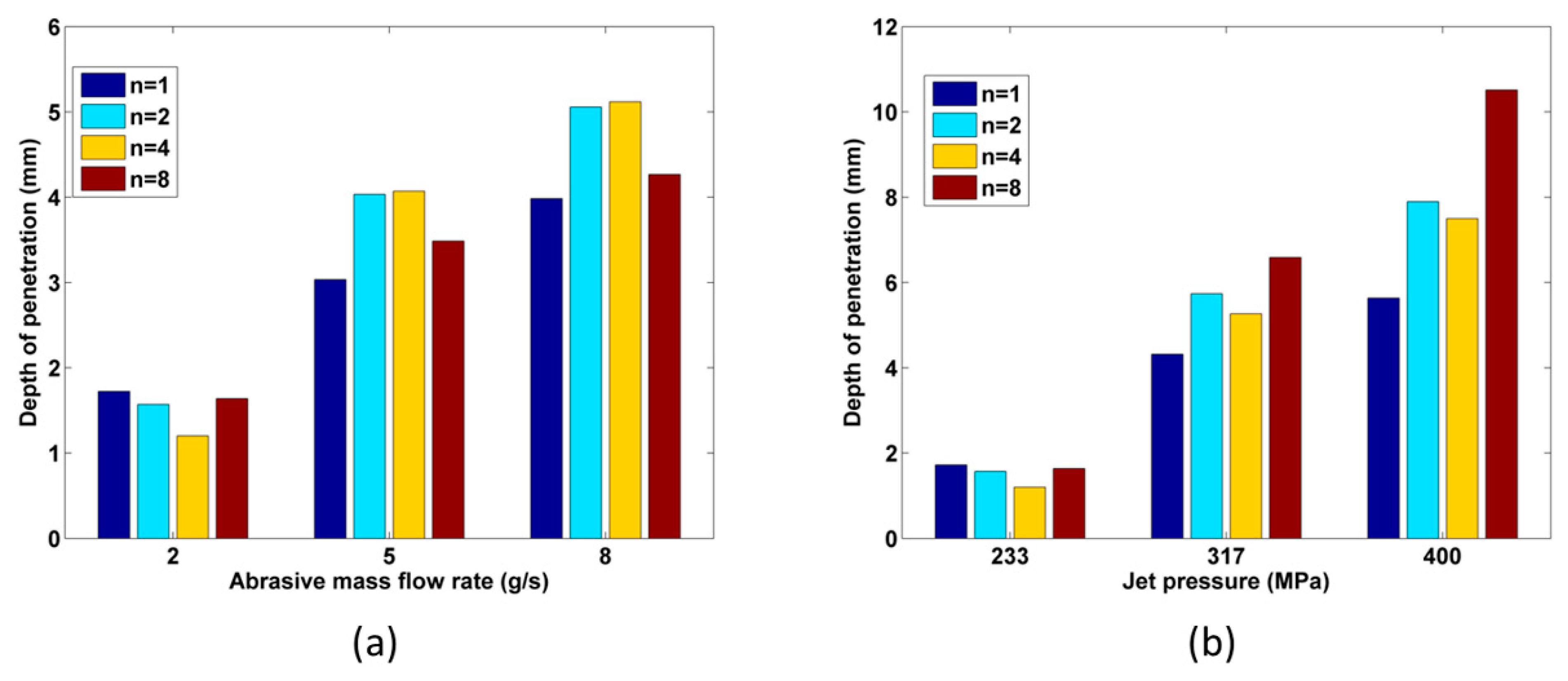
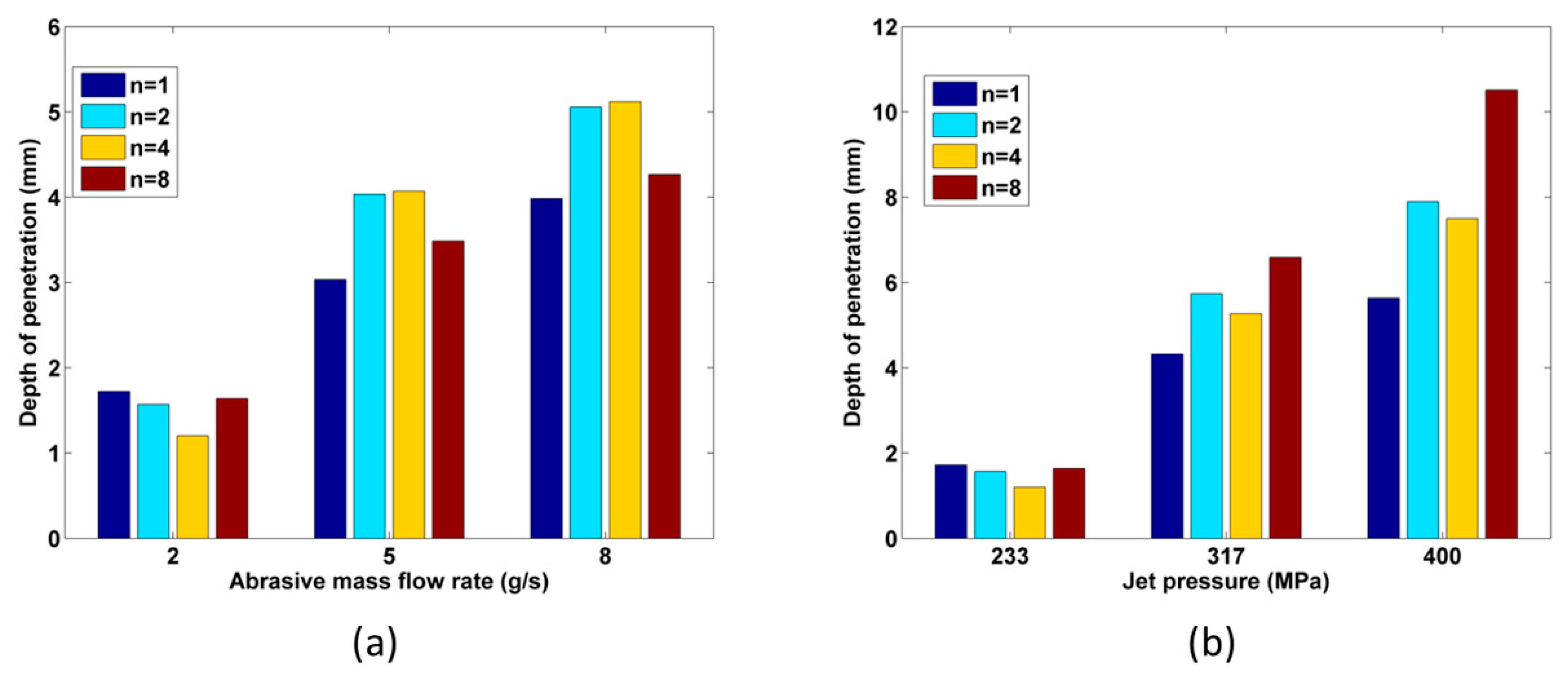
3.2. Dependence of Depth of Penetration on the Number of Passes
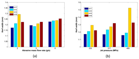
3.3. Dependence of the Kerf Width and Kerf Taper Angle on the Number of Passes
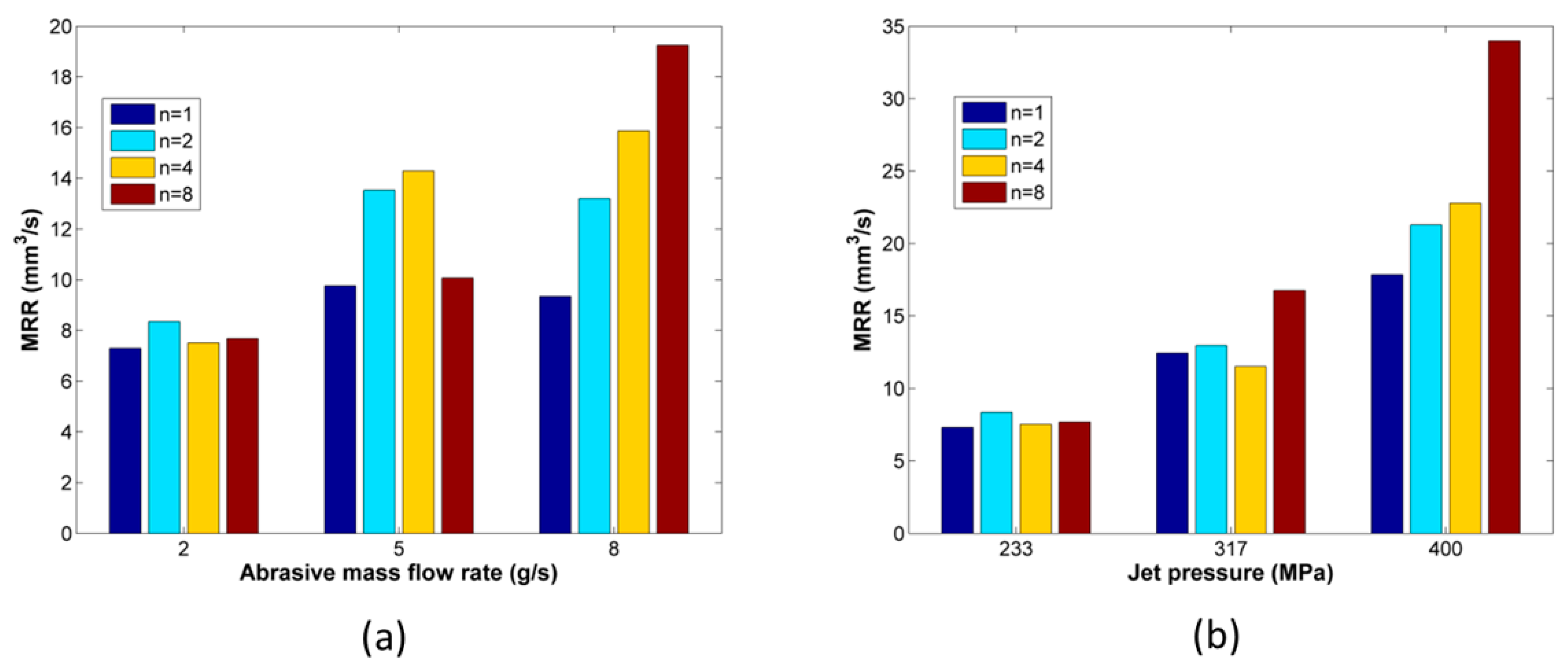
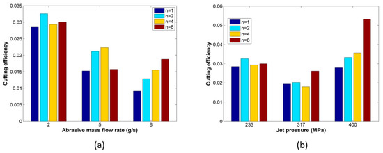
3.4. Dependence of the MRR and Cutting Efficiency on the Number of Passes
4. Conclusions
Author Contributions
Funding
Conflicts of Interest
References
- Yuvaraj, N.; Murugesan, P.K.; Mohan, M.; Khan, S.A.L.A. Abrasive Water Jet Machining process: A state of art of review. J. Manuf. Process. 2020, 49, 271–322. [Google Scholar] [CrossRef]
- Saravanan, S.; Vijayan, V.; Suthahar, S.J.; Balan, A.; Sankar, S.; Ravichandran, M. A review on recent progresses in machining methods based on abrasive water jet machining. Mater. Today Proc. 2020, 21, 116–122. [Google Scholar] [CrossRef]
- Liu, X.; Liang, Z.; Wen, G.; Yuan, X. Waterjet machining and research developments: A review. Int. J. Adv. Manuf. Technol. 2019, 102, 1257–1335. [Google Scholar] [CrossRef]
- Kale, A.; Singh, S.K.; Sateesh, N.; Subbiah, R. A review on abrasive water jet machining process and its process parameters. Mater. Today Proc. 2020, 26, 1032–1036. [Google Scholar] [CrossRef]
- Goutham, U.; Kanthababu, M.; Gowri, S.; Sunilkumar, K.R.; Mathanraj, M.; Jegaraj, J.J.R.; Balasubramanian, R. Condition Monitoring of Abrasive Waterjet Milling Using Acoustic Emission and Cutting Force. In Advances in Forming, Machining and Automation, Lecture Notes on Multidisciplinary Industrial Engineering; Shunmugam, M.S., Kanthababu, M., Eds.; Springer: Singapore, 2019; pp. 153–164. [Google Scholar]
- Husin, H.; Nawi, M.N.M.; Gebremariam, M.A.; Azhari, A. Investigation on the Effect of Abrasive Water Jet Parameter on Machining Stainless Steel. In Proceedings of the International Manufacturing Engineering Conference & The Asia Pacific Conference on Manufacturing Systems iMEC-APCOMS 2019, Putrajaya, Malaysia, 21–22 August 2019; Zahid, M.N.O., Aziz, R.A., Yusoff, A.R., Yahya, N.M., Aziz, F.A., Abu, M.Y., Eds.; Springer: Singapore, 2019; pp. 544–549. [Google Scholar]
- Yuvaraj, N.; Pradeep Kumar, M. Investigation of Process Parameters influence in AWJ Cutting of D2 steel. Mater. Manuf. Process. 2017, 32, 151–161. [Google Scholar] [CrossRef]
- Yuvaraj, N.; Pradeep Kumar, M. Surface integrity studies on abrasive water jet cutting of AISI D2 steel. Mater. Manuf. Process. 2017, 32, 162–170. [Google Scholar] [CrossRef]
- Kulisz, M.; Zagórski, I.; Korpysa, J. The Effect of Abrasive Water jet Machining Parameters on the Condition of Al-Si Alloy. Materials 2020, 13, 3122. [Google Scholar] [CrossRef]
- Hlaváčová, I.M.; Sadílek, M.; Váňová, P.; Szumilo, Š.; Tyč, M. Influence of steel structure on machinability by abrasive water jet. Materials 2020, 13, 4424. [Google Scholar] [CrossRef]
- Kong, M.; Axinte, D.; Voice, W. Aspects of material removal mechanism in plain waterjet milling on gamma titanium aluminide. J. Mater. Process. Technol. 2010, 210, 573–584. [Google Scholar] [CrossRef]
- Alberdi, A.; Rivero, A.; De Lacalle, L.N.L.; De Lacalle, L.N.L. Experimental Study of the Slot Overlapping and Tool Path Variation Effect in Abrasive Waterjet Milling. J. Manuf. Sci. Eng. 2011, 133, 034502. [Google Scholar] [CrossRef]
- Hashish, M. Controlled-Depth Milling of Isogrid Structures With AWJs. J. Manuf. Sci. Eng. 1998, 120, 21–27. [Google Scholar] [CrossRef]
- Fowler, G.; Shipway, P.H.; Pashby, I. Abrasive water-jet controlled depth milling of Ti6Al4V alloy—An investigation of the role of jet–workpiece traverse speed and abrasive grit size on the characteristics of the milled material. J. Mater. Process. Technol. 2005, 161, 407–414. [Google Scholar] [CrossRef]
- Wang, J.; Kuriyagawa, T.; Huang, C.Z. An Experimental Study to Enhance the Cutting Performance in Abrasive Water jet Machining. Mach. Sci. Technol. 2003, 7, 191–207. [Google Scholar] [CrossRef]
- Wang, J.; Guo, D. The cutting performance in multipass abrasive waterjet machining of industrial ceramics. J. Mater. Process. Technol. 2003, 133, 371–377. [Google Scholar] [CrossRef]
- Shanmugam, D.; Wang, J.; Liu, H. Minimisation of kerf tapers in abrasive water jet machining of alumina ceramics using a compensation technique. Int. J. Mach. Tools Manuf. 2008, 48, 1527–1534. [Google Scholar] [CrossRef]
- Wang, J.; Zhong, Y. Enhancing the depth of cut in abrasive water jet cutting of alumina ceramics by using multipass cutting with nozzle oscillation. Mach. Sci. Technol. 2009, 13, 76–91. [Google Scholar] [CrossRef]
- Wang, J. Depth of cut models for multipass abrasive water jet cutting of alumina ceramics with nozzle oscillation. Front. Mech. Eng. China 2009, 5, 19–32. [Google Scholar] [CrossRef]
- Boud, F.; Loo, L.; Kinnell, P. The Impact of Plain Water jet Machining on the Surface Integrity of Aluminium 7475. Procedia CIRP 2014, 13, 382–386. [Google Scholar] [CrossRef]
- Doreswamy, D.; Valavala, A.; Winitthumkul, N.; Devineni, A. Machining of D2 heat treated steel using abrasive water jet: The effect of standoff distance and feed rate on kerf width and surface roughness. Int. J. Res. Eng. Technol. 2014, 3, 417–421. [Google Scholar]
- Srinivasu, D.; Axinte, D.; Shipway, P.; Folkes, J. Influence of kinematic operating parameters on kerf geometry in abrasive water jet machining of silicon carbide ceramics. Int. J. Mach. Tools Manuf. 2009, 49, 1077–1088. [Google Scholar] [CrossRef]
- Miao, X.; Qiang, Z.; Wu, M.; Song, L.; Ye, F. The optimal cutting times of multipass abrasive water jet cutting. Int. J. Adv. Manuf. Technol. 2018, 97, 1779–1786. [Google Scholar] [CrossRef]
- Xiao, S.; Wang, P.; Gao, H.; Soulat, D. A study of abrasive water jet multi-pass cutting on kerf quality of carbon fiber-reinforced plastics. Int. J. Adv. Manuf. Technol. 2019, 105, 4527–4537. [Google Scholar] [CrossRef]
- Uhlmann, E.; Männel, C.; Braun, T. Efficient abrasive water jet milling for near-net-shape fabrication of difficult-to-cut materials. Int. J. Adv. Manuf. Technol. 2020, 111, 1–9. [Google Scholar] [CrossRef]
- Wang, J.; Xu, S. Enhancing the AWJ Cutting Performance by Multipass Machining with Controlled Nozzle Oscillation. Key Eng. Mater. 2005, 291-292, 453–458. [Google Scholar] [CrossRef]
- Wang, J. Techniques for Enhancing the Cutting Performance of Abrasive Water jets. Key Eng. Mater. 2004, 521–526. [Google Scholar] [CrossRef]
- Jegaraj, J.J.R.; Babu, N.R. A strategy for efficient and quality cutting of materials with abrasive waterjets considering the variation in orifice and focusing nozzle diameter. Int. J. Mach. Tools Manuf. 2005, 45, 1443–1450. [Google Scholar] [CrossRef]










| C | Si | Mn | Cr | Mo | V | Fe |
|---|---|---|---|---|---|---|
| 0.6 | 0.35 | 0.8 | 4.5 | 0.5 | 0.2 | bal |
| Parameter | Level 1 | Level 2 | Level 3 | Level 4 |
|---|---|---|---|---|
| Traverse speed (mm/min) | 300 | 600 | 1200 | 2400 |
| Number of Passes | 1 | 2 | 4 | 8 |
| Jet pressure (MPa) | 233 | 317 | 400 | - |
| Abrasive mass flow rate (g/s) | 2 | 5 | 8 | - |
| Stand-off distance (mm) | 3 | |||
| No. | vf (mm/min) | ma (g/s) | h (mm) | Passes | P (MPa) | d (mm) | σd (mm) | wt (mm) | σwt (mm) | a (rad) | σa (rad) |
|---|---|---|---|---|---|---|---|---|---|---|---|
| 1 | 300 | 2 | 3 | 1 | 233 | 1.724 | 0.008 | 1.172 | 0.030 | 0.185 | 0.003 |
| 2 | 600 | 2 | 3 | 2 | 233 | 1.570 | 0.015 | 1.211 | 0.036 | 0.189 | 0.004 |
| 3 | 1200 | 2 | 3 | 4 | 233 | 1.200 | 0.002 | 1.293 | 0.015 | 0.258 | 0.002 |
| 4 | 2400 | 2 | 3 | 8 | 233 | 1.638 | 0.004 | 1.223 | 0.017 | 0.274 | 0.002 |
| 5 | 300 | 5 | 3 | 1 | 233 | 3.034 | 0.005 | 1.194 | 0.023 | 0.128 | 0.001 |
| 6 | 600 | 5 | 3 | 2 | 233 | 4.034 | 0.007 | 1.185 | 0.047 | 0.125 | 0.003 |
| 7 | 1200 | 5 | 3 | 4 | 233 | 4.069 | 0.010 | 1.209 | 0.016 | 0.129 | 0.001 |
| 8 | 2400 | 5 | 3 | 8 | 233 | 3.486 | 0.010 | 1.224 | 0.019 | 0.130 | 0.001 |
| 9 | 300 | 8 | 3 | 1 | 233 | 3.983 | 0.014 | 1.227 | 0.014 | 0.105 | 0.001 |
| 10 | 600 | 8 | 3 | 2 | 233 | 5.056 | 0.007 | 1.235 | 0.021 | 0.097 | 0.001 |
| 11 | 1200 | 8 | 3 | 4 | 233 | 5.118 | 0.003 | 1.238 | 0.019 | 0.099 | 0.001 |
| 12 | 2400 | 8 | 3 | 8 | 233 | 4.267 | 0.004 | 1.253 | 0.018 | 0.102 | 0.001 |
| 13 | 300 | 5 | 3 | 1 | 317 | 4.316 | 0.005 | 1.169 | 0.020 | 0.093 | 0.001 |
| 14 | 600 | 5 | 3 | 2 | 317 | 5.736 | 0.024 | 1.232 | 0.020 | 0.096 | 0.001 |
| 15 | 1200 | 5 | 3 | 4 | 317 | 5.267 | 0.012 | 1.272 | 0.018 | 0.102 | 0.001 |
| 16 | 2400 | 5 | 3 | 8 | 317 | 6.587 | 0.029 | 1.319 | 0.016 | 0.086 | 0.001 |
| 17 | 300 | 5 | 3 | 1 | 400 | 5.635 | 0.012 | 1.158 | 0.012 | 0.084 | 0.001 |
| 18 | 600 | 5 | 3 | 2 | 400 | 7.895 | 0.008 | 1.190 | 0.007 | 0.084 | 0.000 |
| 19 | 1200 | 5 | 3 | 4 | 400 | 7.499 | 0.003 | 1.524 | 0.049 | 0.112 | 0.002 |
| 20 | 2400 | 5 | 3 | 8 | 400 | 10.516 | 0.011 | 1.327 | 0.017 | 0.095 | 0.001 |
Publisher’s Note: MDPI stays neutral with regard to jurisdictional claims in published maps and institutional affiliations. |
© 2021 by the authors. Licensee MDPI, Basel, Switzerland. This article is an open access article distributed under the terms and conditions of the Creative Commons Attribution (CC BY) license (http://creativecommons.org/licenses/by/4.0/).
Share and Cite
Karmiris-Obratański, P.; Karkalos, N.E.; Kudelski, R.; Papazoglou, E.L.; Markopoulos, A.P. On the Effect of Multiple Passes on Kerf Characteristics and Efficiency of Abrasive Waterjet Cutting. Metals 2021, 11, 74. https://doi.org/10.3390/met11010074
Karmiris-Obratański P, Karkalos NE, Kudelski R, Papazoglou EL, Markopoulos AP. On the Effect of Multiple Passes on Kerf Characteristics and Efficiency of Abrasive Waterjet Cutting. Metals. 2021; 11(1):74. https://doi.org/10.3390/met11010074
Chicago/Turabian StyleKarmiris-Obratański, Panagiotis, Nikolaos E. Karkalos, Rafał Kudelski, Emmanouil L. Papazoglou, and Angelos P. Markopoulos. 2021. "On the Effect of Multiple Passes on Kerf Characteristics and Efficiency of Abrasive Waterjet Cutting" Metals 11, no. 1: 74. https://doi.org/10.3390/met11010074
APA StyleKarmiris-Obratański, P., Karkalos, N. E., Kudelski, R., Papazoglou, E. L., & Markopoulos, A. P. (2021). On the Effect of Multiple Passes on Kerf Characteristics and Efficiency of Abrasive Waterjet Cutting. Metals, 11(1), 74. https://doi.org/10.3390/met11010074

