Basic Sulfate Precipitation of Zirconium from Sulfuric Acid Leach Solution
Abstract
1. Introduction
2. Materials and Methods
2.1. Materials and Analysis
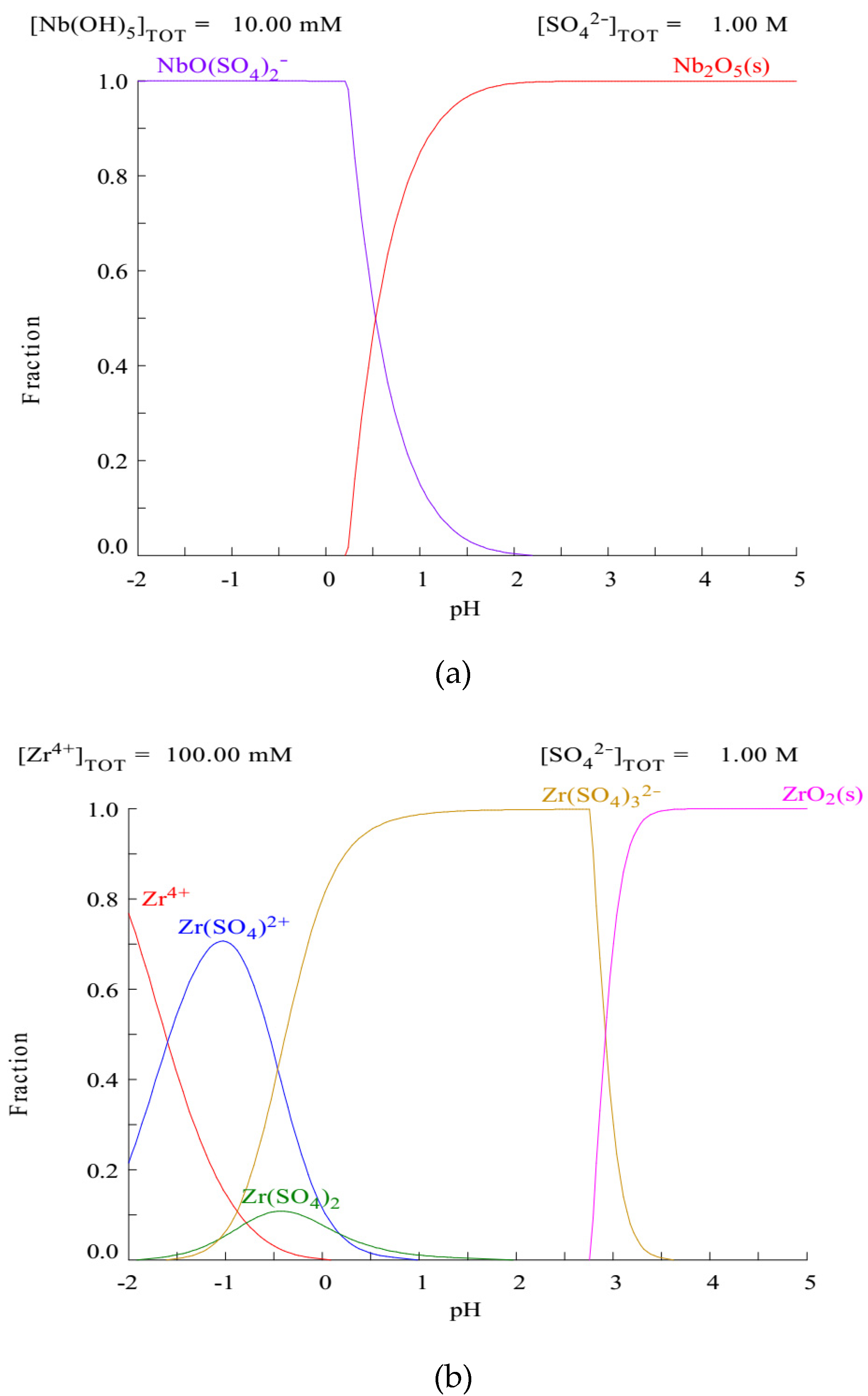
2.2. Thermodynamic Analysis and Methods
3. Results and Discussion
3.1. Effect of pH on the Precipitation of Metal Ions by Neutralization
3.2. Effect of the Quantity of CaCl2 on the Basic Sulfate Precipitation
3.3. Effect of pH on the Basic Sulfate Precipiation
3.4. Effect of Temperature on the Basic Sulfate Precipiation
3.5. Effect of Time on the Basic Sulfate Precipiation
3.6. Characterization of Precipitates
3.7. Flowchart with Metal Balance
3.8. ZrO2 Preprared from Basic Zirconium Sulfate
4. Conclusions
Author Contributions
Funding
Acknowledgments
Conflicts of Interest
References
- Nielsen, R.H.; Schlewitz, J.H.; Nielsen, H. Zirconium and Zirconium Compounds. In Kirk-Othmer Encyclopedia of Chemical Technology; Kirk-Othmer, Ed.; Wiley online Library, John Wiley & Sons, Inc.: New York, NY, USA, 2000; Volume 1, pp. 1–46. [Google Scholar]
- Zirconium in Steels. Available online: http://ispatguru.com/zirconium-in-steels/ (accessed on 5 March 2018).
- Biswas, R.K.; Habib, M.A.; Karmakar, A.K.; Islam, M.R. A novel method for processing of Bangladeshi zircon: Part I: Baking, and fusion with NaOH. Hydrometallurgy 2010, 10, 124–129. [Google Scholar] [CrossRef]
- Johnsen, O.; Ferraris, G.; Gault, R.A.; Grice, J.D.; Kampf, A.R.; Pekov, I.V. The nomenclature of eudialyte-group minerals. Can. Mineral. 2003, 4, 785–794. [Google Scholar] [CrossRef]
- Rastsvetaeva, R.K. Structural Mineralogy of the Eudialyte Group: A Review. Crystallogr. Rep. 2007, 52, 47–64. [Google Scholar] [CrossRef]
- Lebedev, V.N. Sulfuric acid technology for processing of eudialyte concentrate. Russ. J. Appl. Chem. 2003, 76, 1559–1563. [Google Scholar] [CrossRef]
- Davris, P.; Stopic, S.; Balomenos, E.; Panias, D.; Paspaliaris, I.; Friedrich, B. Leaching of rare earth elements from Eudialyte concentrate by suppressing silicon dissolution. Miner. Eng. 2017, 108, 115–122. [Google Scholar] [CrossRef]
- Voßenkaul, D.; Birich, A.; Müller, N.; Stoltz, N.; Friedrich, B. Hydrometallurgical processing of eudialyte bearing concentrates to recover rare earth elements via low-temperature dry digestion to prevent the silica gel formation. J. Sustain. Met. 2017, 3, 79–89. [Google Scholar]
- Balomenos, E.; Davris, P.; Deady, E.; Yang, J.; Panias, D.; Friedrich, B.; Binnemans, K.; Seisenbaeva, G.A.; Dittrich, C.; Kalvig, P.; et al. The EURARE Project: Development of a Sustainable Exploitation Scheme for Europe’s Rare Earth Ore Deposits. Johns. Matthey Technol. Rev. 2017, 61, 142–153. [Google Scholar] [CrossRef]
- Ma, Y.; Stopic, S.; Gronen, L.; Friedrich, B. Recovery of Zr, Hf, Nb from eudialyte residue by sulfuric acid dry digestion and water leaching with H2O2 as a promoter. Hydrometallurgy 2018, 181, 206–214. [Google Scholar] [CrossRef]
- Ma, Y.; Stopic, S.; Friedrich, B. Hydrometallurgical Treatment of a Eudialyte Concentrate for Preparation of Rare Earth Carbonate. Johns. Matthey Technol. Rev. 2019, 63, 2–13. [Google Scholar] [CrossRef]
- Zakharov, V.I.; Maiorov, D.V.; Alishkin, A.R.; Matveev, V.A. Causes of insufficient recovery of zirconium during acidic processing of lovozero eudialyte concentrate. Russ. J. Non Ferr. Met. 2011, 52, 423–428. [Google Scholar] [CrossRef]
- Dibrov, I.A.; Chirkst, D.E.; Litvinova, T.E. Experimental study of zirconium(IV) extraction from fluoride-containing acid solutions. Russ. J. Appl. Chem. 2002, 75, 195–199. [Google Scholar] [CrossRef]
- Chanturiya, V.A.; Minenko, V.G.; Samusev, A.L.; Chanturia, E.L.; Koporulina, E.V.; Bunin, I.Z.; Ryazantseva, M.V. The Effect of Energy Impacts on the Acid Leaching of Eudialyte Concentrate. Min. Proc. Ext. Met. Rev. 2020. [Google Scholar] [CrossRef]
- Lebedev, V.N.; Schur, T.E.; Maiorov, D.V.; Popova, L.A.; Serkova, R.P. Specific Features of Acid Decomposition of Eudialyte and Certain Rare-Metal Concentrates from Kola Peninsula. Russ. J. Appl. Chem. 2003, 76, 1191–1196. [Google Scholar] [CrossRef]
- Ma, Y.; Stopic, S.; Huang, Z.; Friedrich, B. Selective recovery and separation of Zr and Hf from sulfuric acid leach solution using anion exchange resin. Hydrometallurgy 2019, 189, 105143. [Google Scholar] [CrossRef]
- Gates, P.A.; Horlacher, C.F.; Reed, G. Preliminary Economic Assessment NI 43-101 Technical Report for the Norra Kärr (REE-Y-Zr) Deposit Gränna; Tasman Metals Limited: Norra Kärr, Sweden, 2012. [Google Scholar]
- Davidson, T.; Thompson, J.; Short, M.; Moseley, G.; Mounde, M.; La Digges Touche, G. Norra Kärr Project PFS Prefeasibility Study-NI 43-101-Technical Report for the Norra Kärr Rare Earth Element Deposite; GBM Minerals Engineering Consultants Limited: London, UK, 2015. [Google Scholar]
- Kozak, C.M.; Mountford, P. Encyclopedia of Inorganic Chemistry, Zirconium & Hafnium: Inorganic—Coordination Chemistry; John Wiley & Sons: Oxford, UK, 2006. [Google Scholar]
- Wang, L.Y.; Lee, M.S. A review on the aqueous chemistry of Zr(IV) and Hf(IV) and their separation by solvent extraction. J. Ind. Eng. Chem. 2016, 39, 1–9. [Google Scholar] [CrossRef]
- Duan, Z.; Yang, H.; Satoh, Y.; Murakami, K.; Kano, S.; Zhao, Z.; Shen, J.; Abe, H. Current status of materials development of nuclear fuel cladding tubes for light water reactors. Nucl. Eng. Des. 2017, 316, 131–150. [Google Scholar] [CrossRef]
- Dean, J. Langes’s Handbook of Chemistry, 13th ed.; McGraw-Hill, Inc.: New York, NY, USA, 1985. [Google Scholar]
- Nielsen, R.H.; Govro, R.V. Zirconium Purification: Using a Basic Sulfate Precipitation; U.S. Dept. of the Interior, Bureau of Mines: Washington, DC, USA, 1956. [Google Scholar]
- Ryabchikov, D.I.; Marov, I.N.; Ermakov, A.N.; Belyaeva, V.K. Stability of some inorganic and organic complex compound of zirconium and hafnium. J. Inorg. Nucl. Chem. 1964, 26, 965–980. [Google Scholar] [CrossRef]
- Berg, R.W. Progress in niobium and tantalum coordination chemistry. Coord. Chem. Rev. 1992, 113, 1–130. [Google Scholar] [CrossRef]
- Chatterjee, M.; Ray, J.; Chatterjee, A.; Ganguli, D. Characterization of basic zirconium sulphate, a precursor for zirconia. J. Mater. Sci. Lett. 1989, 8, 548–553. [Google Scholar] [CrossRef]
- Xiong, B.; Wen, W.; Yang, X.; Li, H.; Luo, F.; Zhang, W. Zirconium and Hafnium Metallurgy; Metallurgical Industry Press: Beijing, China, 2002. (In Chinese) [Google Scholar]














| Element | Zr | Hf | Fe | Al | Nb | Si | Ca | SO42− | pH |
|---|---|---|---|---|---|---|---|---|---|
| Acid leach solution | 10.95 | 0.26 | 2.44 | 10.55 | 0.48 | <0.001 | 0.7 | 117.50 | 0.57 |
| Solution after precipitation of Nb | 10.83 | 0.26 | 2.44 | 10.55 | 0.10 | <0.001 | 0.6 | 116.12 | 0.94 |
| Stability Constant | Zr | Hf |
|---|---|---|
| β1 | 466 | 130 |
| β2 | 3.48 × 103 | 2.1 × 103 |
| β3 | 3.92 × 106 | 3.02 × 106 |
| Element | Nb | Zr | Hf | Al | Fe |
|---|---|---|---|---|---|
| Content (wt%) | 40.1 | 1.1 | <0.1 | 3.7 | 5.7 |
| Element | Zr | Hf | Nb | Al | Fe | O | S | Ca |
|---|---|---|---|---|---|---|---|---|
| Content (wt%) | 0.11 | 0.05 | 0.08 | 0.09 | 0.10 | 55.7 | 19.10 | 23.26 |
| Element | Zr | Hf | Nb | Al | Fe | Si | S | Ca |
|---|---|---|---|---|---|---|---|---|
| Content (wt%) | 33.77 | 0.59 | 0.13 | 0.33 | 0.11 | 0.05 | 10.30 | 6.28 |
| Composition | ZrO2 | HfO2 | Al2O3 | Fe2O3 | SiO2 | CaO | Na2O | MgO |
|---|---|---|---|---|---|---|---|---|
| Content (wt%) | 97.22 | 1.88 | 0.4 | 0.1 | 0.03 | 0.2 | 0.05 | <0.01 |
© 2020 by the authors. Licensee MDPI, Basel, Switzerland. This article is an open access article distributed under the terms and conditions of the Creative Commons Attribution (CC BY) license (http://creativecommons.org/licenses/by/4.0/).
Share and Cite
Ma, Y.; Stopic, S.; Wang, X.; Forsberg, K.; Friedrich, B. Basic Sulfate Precipitation of Zirconium from Sulfuric Acid Leach Solution. Metals 2020, 10, 1099. https://doi.org/10.3390/met10081099
Ma Y, Stopic S, Wang X, Forsberg K, Friedrich B. Basic Sulfate Precipitation of Zirconium from Sulfuric Acid Leach Solution. Metals. 2020; 10(8):1099. https://doi.org/10.3390/met10081099
Chicago/Turabian StyleMa, Yiqian, Srecko Stopic, Xuewen Wang, Kerstin Forsberg, and Bernd Friedrich. 2020. "Basic Sulfate Precipitation of Zirconium from Sulfuric Acid Leach Solution" Metals 10, no. 8: 1099. https://doi.org/10.3390/met10081099
APA StyleMa, Y., Stopic, S., Wang, X., Forsberg, K., & Friedrich, B. (2020). Basic Sulfate Precipitation of Zirconium from Sulfuric Acid Leach Solution. Metals, 10(8), 1099. https://doi.org/10.3390/met10081099

