Enhancing the High-Temperature Strength of a Co-Base Superalloy by Optimizing the γ/γ′ Microstructure
Abstract
1. Introduction
2. Materials and Methods
3. Results
3.1. Microstructural Characterization
3.1.1. Electron Microscopy
3.1.2. Small-Angle Neutron Scattering
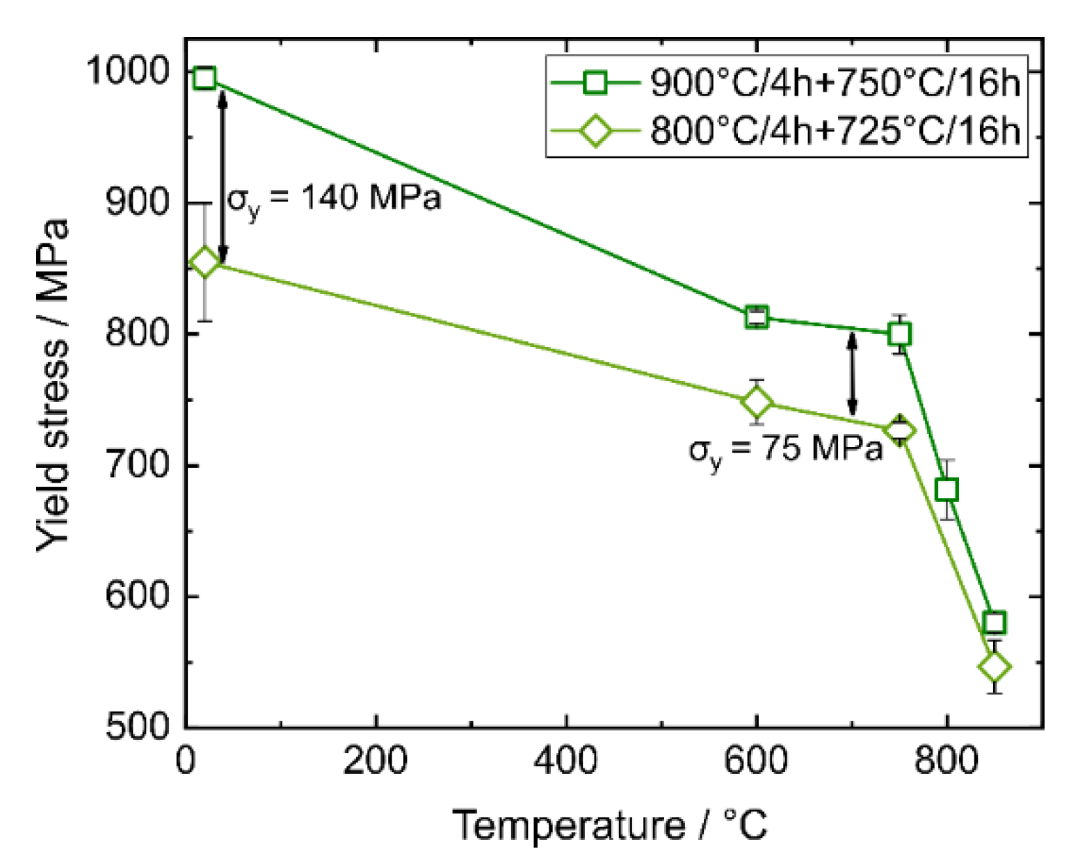
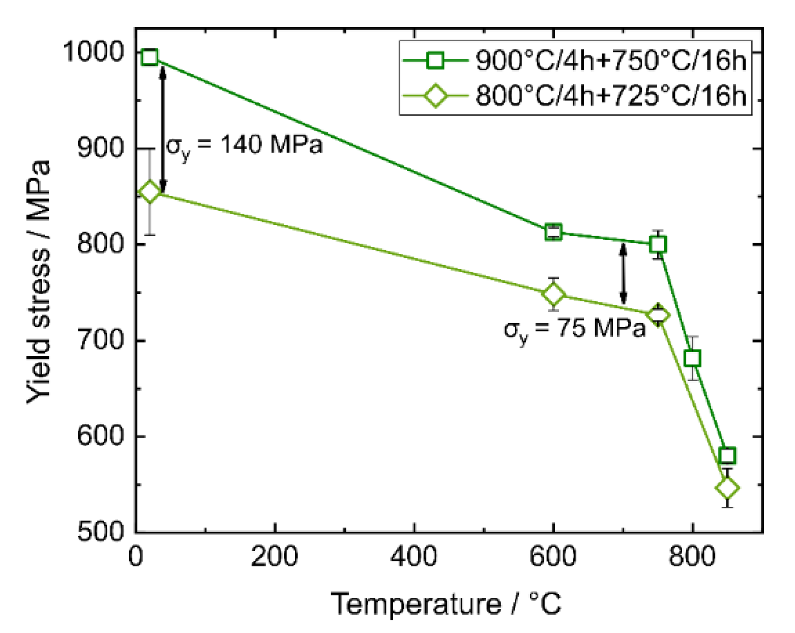
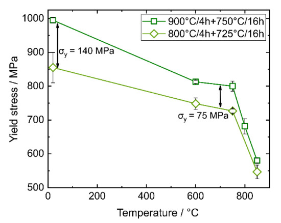
3.2. Mechanical Properties
4. Discussion
5. Conclusions
- A two-step aging heat treatment at 900 °C/4 h + 750 °C/16 h leads to the highest strength.
- The total γ′ volume fraction is above 70%, as determined by SANS, which is exceptionally high for a wrought alloy.
- An optimum γ′ precipitate size in the range of about 30–40 nm is found to reach the maximum strength, which can be explained by the model for weak and strong pair-coupling of dislocations.
Author Contributions
Funding
Acknowledgments
Conflicts of Interest
References
- Neumeier, S.; Freund, L.P.; Göken, M. Novel wrought γ/γ′ cobalt base superalloys with high strength and improved oxidation resistance. Scr. Mater. 2015, 109, 104–107. [Google Scholar] [CrossRef]
- Knop, M.; Mulvey, P.; Ismail, F.; Radecka, A.; Rahman, K.M.; Lindley, T.C.; Shollock, B.A.; Hardy, M.C.; Moody, M.P.; Martin, T.L.; et al. A New Polycrystalline Co-Ni Superalloy. JOM 2014, 66, 2495–2501. [Google Scholar] [CrossRef]
- Titus, M.S.; Eggeler, Y.M.; Suzuki, A.; Pollock, T.M. Creep-induced planar defects in L12-containing Co- and CoNi-base single-crystal superalloys. Acta Mater. 2015, 82, 530–539. [Google Scholar] [CrossRef]
- Lass, E.A.; Williams, M.E.; Campbell, C.E.; Moon, K.-W.; Kattner, U.R. γ′ Phase Stability and Phase Equilibrium in Ternary Co-Al-W at 900°. J. Phase Equilibria Diffus. 2014, 35, 711–723. [Google Scholar] [CrossRef]
- Lass, E.A.; Sauza, D.J.; Dunand, D.C.; Seidman, D.N. Multicomponent γ’-strengthened Co-based superalloys with increased solvus temperatures and reduced mass densitie. Acta Mater. 2018, 147, 284–295. [Google Scholar] [CrossRef]
- Sani, S.A.; Arabi, H.; Kheirandish, S.; Ebrahimi, G. Investigation on the homogenization treatment and element segregation on the microstructure of a γ/γ′-cobalt-based superalloy. Int. J. Miner. Metall. Mater. 2019, 26, 222–233. [Google Scholar] [CrossRef]
- Freund, L.P.; Giese, S.; Schwimmer, D.; Höppel, H.W.; Neumeier, S.; Göken, M. High temperature properties and fatigue strength of novel wrought γ/γ′ Co-base superalloys. J. Mater. Res. 2017, 32, 4475–4482. [Google Scholar] [CrossRef]
- Klein, L.; Shen, Y.; Killian, M.S.; Virtanen, S. Effect of B and Cr on the high temperature oxidation behaviour of novel γ/γ′-strengthened Co-base superalloys. Corros. Sci. 2011, 53, 2713–2720. [Google Scholar] [CrossRef]
- Yan, H.-Y.; Vorontsov, V.A.; Dye, D. Effect of alloying on the oxidation behaviour of Co–Al–W superalloys. Corros. Sci. 2014, 83, 382–395. [Google Scholar] [CrossRef]
- Freund, L.P.; Stark, A.; Pyczak, F.; Schell, N.; Göken, M.; Neumeier, S. The grain boundary pinning effect of the μ phase in an advanced polycrystalline γ/γ′ Co-base superalloy. J. Alloys Compd. 2018, 753, 333–342. [Google Scholar] [CrossRef]
- Kozar, R.W.; Suzuki, A.; Milligan, W.W.; Schirra, J.J.; Savage, M.F.; Pollock, T.M. Strengthening Mechanisms in Polycrystalline Multimodal Nickel-Base Superalloys. Metall. Mater. Trans. A 2009, 40, 1588–1603. [Google Scholar] [CrossRef]
- Galindo-Nava, E.I.; Connor, L.D.; Rae, C.M.F. On the prediction of the yield stress of unimodal and multimodal γ′ Nickel-base superalloys. Acta Mater. 2015, 98, 377–390. [Google Scholar] [CrossRef]
- Freund, L.P.; Messé, O.M.D.M.; Barnard, J.S.; Göken, M.; Neumeier, S.; Rae, C.M.F. Segregation assisted microtwinning during creep of a polycrystalline L12-hardened Co-base superalloy. Acta Mater. 2017, 123, 295–304. [Google Scholar] [CrossRef]
- Gilles, R.; Mukherji, D.; Eckerlebe, H.; Strunz, P.; Rösler, J. In Situ Investigation with Neutrons on the Evolution of γ ’ Precipitates at High Temperatures in a Single Crystal Ni-Base Superalloy. Adv. Mater. Res. 2011, 278, 42–47. [Google Scholar] [CrossRef]
- Collins, D.M.; Heenan, R.K.; Stone, H.J. Characterization of Gamma Prime γ′ precipitates in a Polycrystalline Nickel-Base Superalloy Using Small-Angle Neutron Scattering. Metall. Mater. Trans. A 2011, 42, 49–59. [Google Scholar] [CrossRef]
- del Genovese, D.; Rösler, J.; Strunz, P.; Mukherji, D.; Gilles, R. Microstructural characterization of a modified 706-type Ni-Fe superalloy by small-angle neutron scattering and electron microscopy. Metall. Mater. Trans. A 2005, 36, 3439–3450. [Google Scholar] [CrossRef]
- Mukherji, D.; del Genovese, D.; Strunz, P.; Gilles, R.; Wiedenmann, A.; Rösler, J. Microstructural characterisation of a Ni–Fe-based superalloy by in situ small-angle neutron scattering measurements. J. Phys. Condens. Matter 2008, 20, 104220. [Google Scholar] [CrossRef]
- Ratel, N.; Bruno, G.; Demé, B. In situ small-angle neutron scattering investigation of the γ′ precipitation and growth in the nickel-based single-crystal alloy SC16. J. Phys. Condens. Matter 2005, 17, 7061–7075. [Google Scholar] [CrossRef]
- Byrne, J. Elevated temperature fatigue crack growth under dwell conditions in Waspaloy. Int. J. Fatigue 1997, 19, 359–367. [Google Scholar] [CrossRef]
- Gilles, R.; Ostermann, A.; Schanzer, C.; Krimmer, B.; Petry, W. The concept of the new small-angle scattering instrument SANS-1 at the FRM-II. Phys. B Condens. Matter 2006, 385-386, 1174–1176. [Google Scholar] [CrossRef]
- Keiderling, U. The new “BerSANS-PC” software for reduction and treatment of small angle neutron scattering data. Appl. Phys. A: Mater. Sci. Process. 2002, 74, 1455–1457. [Google Scholar] [CrossRef]
- Breßler, I.; Kohlbrecher, J.; Thünemann, A.F. SASfit: A tool for small-angle scattering data analysis using a library of analytical expressions. J. Appl. Crystallogr. 2015, 48, 1587–1598. [Google Scholar] [CrossRef] [PubMed]
- Gilles, R.; Mukherji, D.; Karge, L.; Strunz, P.; Beran, P.; Barbier, B.; Kriele, A.; Hofmann, M.; Eckerlebe, H.; Rösler, J. Stability of TaC precipitates in a Co–Re-based alloy being developed for ultra-high-temperature applications. J. Appl. Crystallogr. 2016, 49, 1253–1265. [Google Scholar] [CrossRef]
- Reed, R.C. The Superalloys: Fundamentals and Applications; Cambridge University Press: Cambridge, UK, 2006. [Google Scholar]
- Okamoto, N.L.; Oohashi, T.; Adachi, H.; Kishida, K.; Inui, H.; Veyssière, P. Plastic deformation of polycrystals of Co3(Al,W) with the L12 structure. Philos. Mag. 2011, 91, 3667–3684. [Google Scholar] [CrossRef]
- Tanaka, K.; Ohashi, T.; Kishida, K.; Inui, H. Single-crystal elastic constants of Co3(Al,W) with the L12 structure. Appl. Phys. Lett. 2007, 91, 181907. [Google Scholar] [CrossRef]
- Sato, J. Cobalt-Base High-Temperature Alloys. Science 2006, 312, 90–91. [Google Scholar] [CrossRef]
- Bauer, A.; Neumeier, S.; Pyczak, F.; Göken, M. Creep strength and microstructure of polycrystalline γ’–strengthened Cobalt-base superalloys. In Proceedings of the Superalloys 2012: 12th International Symposium on Superalloys, Seven Springs Mountain Resort, Champion, PA, USA, 9–13 November 2012. [Google Scholar]








| Element | Co | Ni | Cr | Al | W | Ti | Ta | Si | Zr | Hf | B | C |
|---|---|---|---|---|---|---|---|---|---|---|---|---|
| CoWAlloy2 | 40.8 | 32.0 | 12.0 | 9.0 | 5.0 | 0.3 | 0.2 | 0.4 | 0.01 | 0.1 | 0.08 | 0.08 |
| Co | Ni | Cr | Al | W | Ti | Ta | Si | Hf | B | C | |
|---|---|---|---|---|---|---|---|---|---|---|---|
| γ matrix | 49.0 | 21.3 | 20.9 | 3.6 | 4.4 | 0.04 | 0.03 | 0.64 | 0.02 | 0.013 | 0.008 |
| ±0.6 | ±0.2 | ±0.6 | ±0.1 | ±0.1 | ±0.01 | ±0.01 | ±0.05 | ±0.01 | ±0.01 | ±0.01 | |
| secondary γ′ | 32.8 | 39.4 | 5.4 | 14.5 | 6.1 | 0.50 | 0.37 | 0.35 | 0.14 | 0.025 | 0.006 |
| ±0.5 | ±0.7 | ±0.2 | ±0.4 | ±0.4 | ±0.02 | ±0.08 | ±0.02 | ±0.03 | ±0.01 | ±0.01 | |
| γ matrix | 48.5 | 22.0 | 20.0 | 4.1 | 4.5 | 0.07 | 0.03 | 0.61 | 0.02 | 0.016 | 0.007 |
| ±2.4 | ±2.9 | ±2.5 | ±1.5 | ±0.4 | ±0.08 | ±0.03 | ±0.09 | ±0.01 | ±0.01 | ±0.01 | |
| tertiary γ′ | 34.9 | 38.2 | 5.4 | 12.5 | 7.4 | 0.44 | 0.19 | 0.38 | 0.06 | 0.011 | 0.008 |
| ±1.4 | ±1.4 | ±1.0 | ±0.7 | ±0.5 | ±0.06 | ±0.04 | ±0.06 | ±0.02 | ±0.01 | ±0.01 |
| Heat Treatment | 800 °C | 900 °C | 800 °C/4 h +725 °C/16 h | 900 °C/4 h +750 °C/16 h | ||||||
|---|---|---|---|---|---|---|---|---|---|---|
| Time/h | 2 | 4 | 8 | 16 | 2 | 4 | 8 | 16 | ||
| Mean radius sec. γ′/nm | 10.3 ±2.0 | 12.8 ±2.6 | 14.6 ±4.5 | 19.6 ±4.0 | 21.4 ±7.2 | 26.4 ±6.5 | 34.2 ±8.8 | 45.2 ±13.5 | 19.4 ±6.4 | 36.1 ±7.0 |
| Condition | Secondary γ′ | Tertiary γ′ | Total γ′ | ||||
|---|---|---|---|---|---|---|---|
| r/nm | σ/nm | f/% | r/nm | σ/nm | f/% | f/% | |
| as-RX | - | - | - | 4.7 | 0.3 | 51 | 51 |
| 800 °C/1 h | 7.0 | 0.3 | 41 | 3.7 | 0.5 | 33 | 74 |
| 800 °C/2 h | 9.2 | 0.3 | 56 | 4.5 | 0.2 | 17 | 73 |
| 900 °C/1 h | 18.3 | 0.3 | 39 | 7.2 | 0.4 | 12 | 51 |
| 900 °C/2 h | 23.5 | 0.3 | 42 | 9.7 | 0.3 | 9 | 51 |
| 800 °C/4 h + 725 °C/16 h | 12.2 | 0.3 | 49 | 5.6 | 0.2 | 21 | 70 |
| 900 °C/4 h + 750 °C/16 h | 39.8 | 0.3 | 41 | 8.0 | 0.3 | 35 | 76 |
© 2020 by the authors. Licensee MDPI, Basel, Switzerland. This article is an open access article distributed under the terms and conditions of the Creative Commons Attribution (CC BY) license (http://creativecommons.org/licenses/by/4.0/).
Share and Cite
Hausmann, D.; Solís, C.; Freund, L.P.; Volz, N.; Heinemann, A.; Göken, M.; Gilles, R.; Neumeier, S. Enhancing the High-Temperature Strength of a Co-Base Superalloy by Optimizing the γ/γ′ Microstructure. Metals 2020, 10, 321. https://doi.org/10.3390/met10030321
Hausmann D, Solís C, Freund LP, Volz N, Heinemann A, Göken M, Gilles R, Neumeier S. Enhancing the High-Temperature Strength of a Co-Base Superalloy by Optimizing the γ/γ′ Microstructure. Metals. 2020; 10(3):321. https://doi.org/10.3390/met10030321
Chicago/Turabian StyleHausmann, D., C. Solís, L.P. Freund, N. Volz, A. Heinemann, M. Göken, R. Gilles, and S. Neumeier. 2020. "Enhancing the High-Temperature Strength of a Co-Base Superalloy by Optimizing the γ/γ′ Microstructure" Metals 10, no. 3: 321. https://doi.org/10.3390/met10030321
APA StyleHausmann, D., Solís, C., Freund, L. P., Volz, N., Heinemann, A., Göken, M., Gilles, R., & Neumeier, S. (2020). Enhancing the High-Temperature Strength of a Co-Base Superalloy by Optimizing the γ/γ′ Microstructure. Metals, 10(3), 321. https://doi.org/10.3390/met10030321

