The Interdependence of the Degree of Precipitation and Dislocation Density during the Thermomechanical Treatment of Microalloyed Niobium Steel
Abstract
1. Introduction
2. Materials and Methods
3. Results and Discussion
4. Conclusions
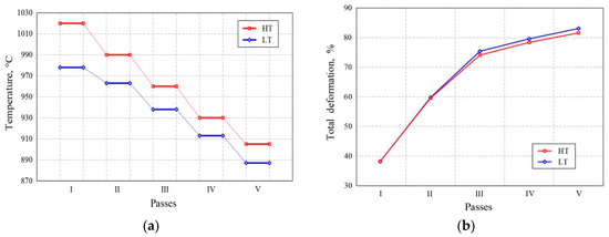
- During the final thermomechanical processing of niobium microalloyed steel, the onset of deformation-induced precipitation begins at 960–963 °C. Precipitation is continuous during the final deformation phase and during the cooling period. At the end, a significant amount of free niobium remained in both variants;
- The increase in the density of dislocations before the onset of intense precipitation is insignificant because in the material, in addition to deformation, recrystallization and recovery occur;
- With the onset of strain-induced precipitation, the density of dislocations increases. This indicates that the recrystallization and recovery mechanisms are slowing down or are completely absent, with further deformation and precipitation being caused by the niobium content. As the degree of niobium strain-induced precipitation increases, the density of dislocations also increases.
Author Contributions
Funding
Acknowledgments
Conflicts of Interest
References
- Perez, M.; Courtois, E.; Acevedo, D.; Epicier, T.; Maugis, P. Precipitation of niobium carbonitrides in ferrite: Chemical composition measurements and thermodynamic modeling. Philos. Mag. Lett. 2007, 87, 645–656. [Google Scholar] [CrossRef]
- Vervynckt, S.; Verbeken, K.; Lopez, B.; Jonas, J.J. Modern HSLA steels and role of non-recrystallisation temperature. Int. Mater. Rev. 2012, 57, 187–207. [Google Scholar] [CrossRef]
- Baker, T.N. Microalloyed steels. Ironmak. Steelmak. 2016, 43, 264–307. [Google Scholar] [CrossRef]
- Gong, P.; Palmiere, E.J.; Rainforth, W.M. Dissolution and precipitation behaviour in steels microalloyed with niobium during thermomechanical processing. Acta Mater. 2015, 97, 392–403. [Google Scholar] [CrossRef]
- DeArdo, A.J. Metallurgical basis for thermomechanical processing of microalloyed steels. Ironmak. Steelmak. 2001, 28, 138–144. [Google Scholar] [CrossRef]
- Pickering, F.B. The spectrum of microalloyed high strength low alloyed steels. In HSLA Steels, Technology and Applications, Proceedings of the International Conference on Technology and Applications of HSLA Steels, Philadelphia, PA, USA, 3–6 October 1983; American Society for Metals: Metals Park, OH, USA, 1984; p. 234. [Google Scholar]
- Roberts, W. Recent innovations in alloy design and processing of microalloyed steels. In HSLA Steels, Technology and Applications, Proceedings of the International Conference on Technology and Applications of HSLA Steels, Philadelphia, PA, USA, 3–6 October 1983; American Society for Metals: Metals Park, OH, USA, 1984; p. 33. [Google Scholar]
- Tanaka, T.; Tabata, N.; Hatamura, T. There stages of the controlled rolling process. In Microalloying 75; Union Carbide Corporation: New York, NY, USA, 1977; p. 75. [Google Scholar]
- Honeycombe, R.W.K. Fundamental aspects of precipitation in microalloyed steels. In HSLA Steels, Technology and Applications, Proceedings of the International Conference on Tehnology and Aplications of HSLA Steels, Philadelphia, PA, USA, 3–6 October 1983; American Society for Metals: Metals Park, OH, USA, 1984; p. 243. [Google Scholar]
- Vodopivec, F.; Rešković, S.; Mamuzić, I. Evolution of substructure during continuous rolling of microalloyed steel strip. Mater. Sci. Technol. 1999, 15, 1293–1299. [Google Scholar] [CrossRef]
- Tirumalasetty, G.K.; van Huis, M.A.; Fang, C.M.; Xu, Q.; Tichelaar, F.D.; Hanlon, D.N.; Sietsma, J.; Zandbergen, H.W. Characterization of NbC and (Nb,Ti)N nanoprecipitates in TRIP assisted multiphase steels. Acta Mater. 2011, 59, 7406–7415. [Google Scholar] [CrossRef]
- San Martin, D.; Caballero, F.G.; Capdevila, C.; de Andres, C.G. Discussion on the rate controlling process of coarsening of niobium carbonitrides in a niobium microalloyed steel. Mater. Sci. Forum 2005, 500–501, 703–710. [Google Scholar] [CrossRef]
- Karmakar, A.; Biswas, S.; Mukherjee, S.; Chakrabarti, D.; Kumar, V. Effect of composition and thermo-mechanical processing schedule on the microstructure, precipitation and strengthening of Nb-microalloyed steel. Mater. Sci. Eng. A Struct. 2017, 690, 158–169. [Google Scholar] [CrossRef]
- DeArdo, A.J. Niobium in modern steels. Int. Mater. Rev. 2003, 48, 371–402. [Google Scholar] [CrossRef]
- Rešković, S. Studij Mehanizama Precipitacije i Rekristalizacije u Području Završnog Oblikovanja Mikrolegiranog Čelika. Ph.D. Thesis, Faculty of Metallurgy, University of Zagreb, Sisak, Croatia, 1997. [Google Scholar]
- Rešković, S.; Vodopivec, F.; Mamuzić, I. Precipitation of Niobium in the final high—Temperature thermomechanical treatment. In Proceedings of the 4th International Conference on Production Engineering CIM ‘97, A-107, Opatija, Croatia, 12–13 June 1997; Croatian Association of Production Engineering: Zagreb, Croatia, 1997. [Google Scholar]
- Hoogendoorn, T.M.; Spanraft, M.J. Quantifying the effect of microalloying elements on structures during processing. In Microalloying 75; Union Carbide Corporation: New York, NY, USA, 1977; p. 57. [Google Scholar]
- Rešković, S.; Vodopivec, F.; Novosel-Radović, V.; Mamuzić, I. The influence of a hot plastic deformation on the crystal latice distortion change of a thermomechanical treatment microalloyed steel. In Proceedings of the 5th International Scientific Conference on Production Engineering CIM ‘99, Opatija, Croatia, 17–18 June 1999; Croatian Association of Production Engineering: Zagreb, Croatia, 1999; pp. 121–129. [Google Scholar]
- Slokar Benić, L.; Rešković, S.; Marciuš, M.; Brlić, T. Change of microstructure of Nb microalloyed steel at start of the plastic flow during the cold deformation. In Proceedings of the 256th The IIER International Conference, Barcelona, Spain, 23–24 September 2019; IRAJ Research Forum: Bhubaneswar, India, 2019; pp. 17–19. [Google Scholar]
- Rešković, S.; Jandrlić, I. Influence of Niobium on the beginning of the plastic flow of material during cold deformation. Sci. World J. 2013, 2013, 1–5. [Google Scholar] [CrossRef] [PubMed]
- Han, J.; Lu, C.; Wu, B.; Li, J.; Li, H.; Lu, Y.; Gao, Q. Innovative analysis of Luders band behaviourin X80 pipeline steel. Mater. Sci. Eng. A Struct. 2017, 683, 123–128. [Google Scholar] [CrossRef]
- Tovee, J.-P. Microstructural Influence on the Effects of Forward and Reverse Mechanical Deformation in HSLA X65 and X80 Linepipe Steels. Ph.D. Thesis, School of Engineering and Physical Sciences, University of Birmingham, Birmingham, UK, 2014. [Google Scholar]
- Koch, W. Electrolytic Isolation of Carbide in Alloyed and Unalloyed Steels. Stahl U.E. 1949, 69, 69. [Google Scholar]
- Warren, B.E.; Averbach, B.L. The separation of cold-work distortion and particle size broadening in X-ray patterns. J. Appl. Phys. 1952, 23, 497. [Google Scholar] [CrossRef]
- Novosel-Radović, V.J. X-ray-difraction in laboratory of iron-steel and pipe works Sisak. Strojarstvo 1994, 36, 69–76. [Google Scholar]
- Warren, E. X-ray Diffraction; Addison Wesley: Reading, MA, USA, 1969. [Google Scholar]
- Smallman, R.E.; Westmacott, K.H. Stacking faults in face-centred cubic metals and alloys. Philos. Mag. 1957, 2, 669–683. [Google Scholar] [CrossRef]
- Charleux, M.; Poole, W.J.; Militzer, M.; Deschamps, A. Precipitation behavior and its effect on strengthening of a HSLA-Nb/Ti steel. Metall. Mater. Trans. A 2001, 32, 1635–1647. [Google Scholar] [CrossRef]
- Najafi-Zadeh, A.; Yue, S.; Jonas, J.J. Influence of hot strip rolling parameters on austenite recrystallization in interstitial free steels. ISIJ Int. 1992, 32, 213–221. [Google Scholar] [CrossRef]
- Sakai, T.; Belyakov, A.; Kaibyshev, R.; Miura, H.; Jonas, J.J. Dynamic and post-dynamic recrystallization under hot, cold and severe plastic deformation conditions. Prog. Mater. Sci. 2014, 60, 130–207. [Google Scholar] [CrossRef]
- Weiss, I.; Jonas, J.J. Interaction between recrystallization and precipitation during the high temperature deformation of HSLA steels. Metall. Trans. A 1979, 10, 831–840. [Google Scholar] [CrossRef]
- Hutanu, R.; Clapham, L.; Rogge, R.B. Intergranular strain and texture in steel Luders bands. Acta Mater. 2005, 53, 3517–3524. [Google Scholar] [CrossRef]
- Jia, T.; Militzer, M. The effect of solute Nb on the austenite-to-ferrite transformation. Metall. Mater. Trans. A 2015, 46, 614–621. [Google Scholar] [CrossRef]
- Liss, R.B. Luder’s bands. Acta Metall. 1957, 5, 341–342. [Google Scholar] [CrossRef]
- Petit, J.; Wagner, D.; Ranc, N.; Montay, G.; Francois, M. Comparison of different techniques for the monitoring of the Lüders bands development. In Proceedings of the International Congress on Fracture, Bejing, China, 26–30 May 2013. [Google Scholar]
- Rešković, S.; Brlić, T.; Jandrlić, I.; Vodopivec, F. Influence of strip cooling rate on Lüders bands appearance during subsequent cold deformation. In New Technologies, Development and Application II; Karabegović, I., Ed.; Springer: Cham, Switzerland, 2020; pp. 115–122. [Google Scholar]
- Rešković, S.; Jandrlić, I.; Brlić, T. The influence of niobium content and initial microstructure of steel on the occurrence of Lüders band at the start of the plastic flow during cold deformation. IOP Conf. Ser. Mater. Sci. 2018, 461, 1–6. [Google Scholar] [CrossRef]
- Brlić, T.; Rešković, S.; Jandrlić, I.; Skender, F. Influence of strain rate on stress changes during Lüders bands formation and propagation. IOP Conf. Ser. Mater. Sci. 2018, 461, 012007. [Google Scholar] [CrossRef]
- Jandrlić, I.; Rešković, S.; Brlić, T. Distribution of stress in deformation zone of niobium microalloyed steel. Metall. Mater. Int. 2018, 24, 746–751. [Google Scholar] [CrossRef]











© 2020 by the authors. Licensee MDPI, Basel, Switzerland. This article is an open access article distributed under the terms and conditions of the Creative Commons Attribution (CC BY) license (http://creativecommons.org/licenses/by/4.0/).
Share and Cite
Rešković, S.; Slokar Benić, L.; Lovrenić-Jugović, M. The Interdependence of the Degree of Precipitation and Dislocation Density during the Thermomechanical Treatment of Microalloyed Niobium Steel. Metals 2020, 10, 294. https://doi.org/10.3390/met10020294
Rešković S, Slokar Benić L, Lovrenić-Jugović M. The Interdependence of the Degree of Precipitation and Dislocation Density during the Thermomechanical Treatment of Microalloyed Niobium Steel. Metals. 2020; 10(2):294. https://doi.org/10.3390/met10020294
Chicago/Turabian StyleRešković, Stoja, Ljerka Slokar Benić, and Martina Lovrenić-Jugović. 2020. "The Interdependence of the Degree of Precipitation and Dislocation Density during the Thermomechanical Treatment of Microalloyed Niobium Steel" Metals 10, no. 2: 294. https://doi.org/10.3390/met10020294
APA StyleRešković, S., Slokar Benić, L., & Lovrenić-Jugović, M. (2020). The Interdependence of the Degree of Precipitation and Dislocation Density during the Thermomechanical Treatment of Microalloyed Niobium Steel. Metals, 10(2), 294. https://doi.org/10.3390/met10020294
