A Fast Identification Method of Yield Strength of Materials Based on Bending Experimental Data
Abstract
1. Introduction
2. Methods and Materials
2.1. Design of Test Equipment
2.1.1. Establishment of the Finite Element Model
2.1.2. Stress–Strain Relationship
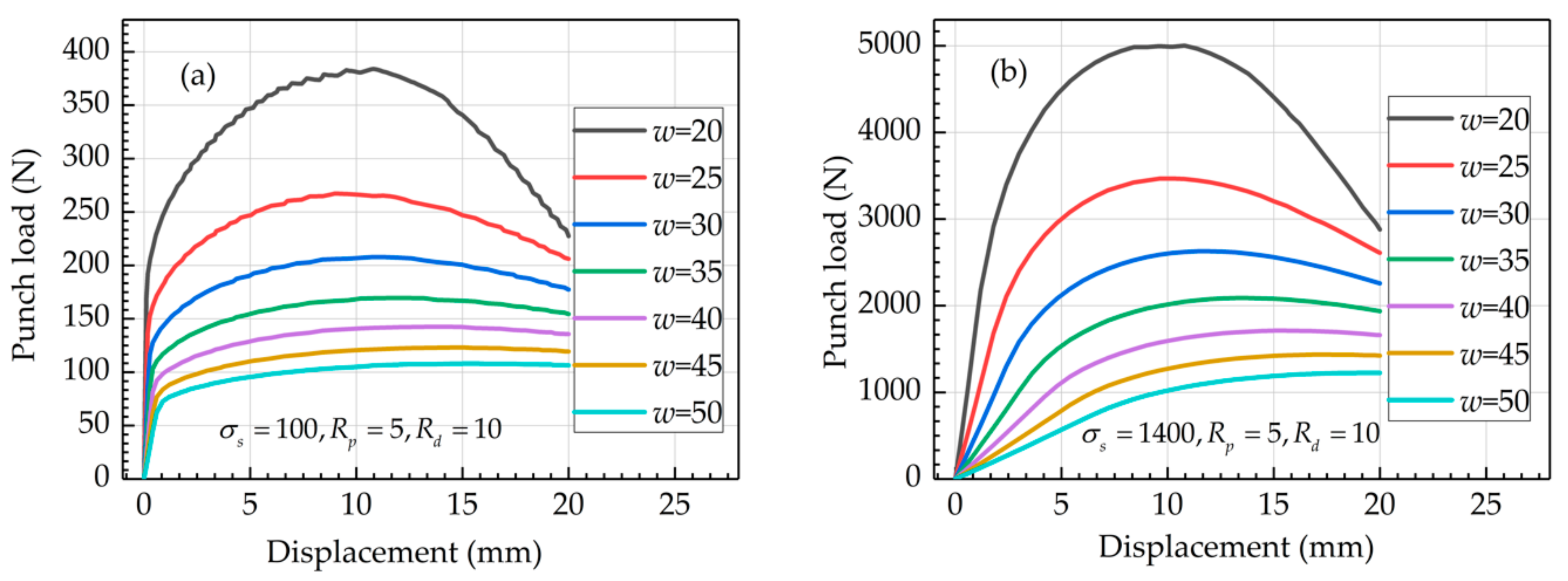
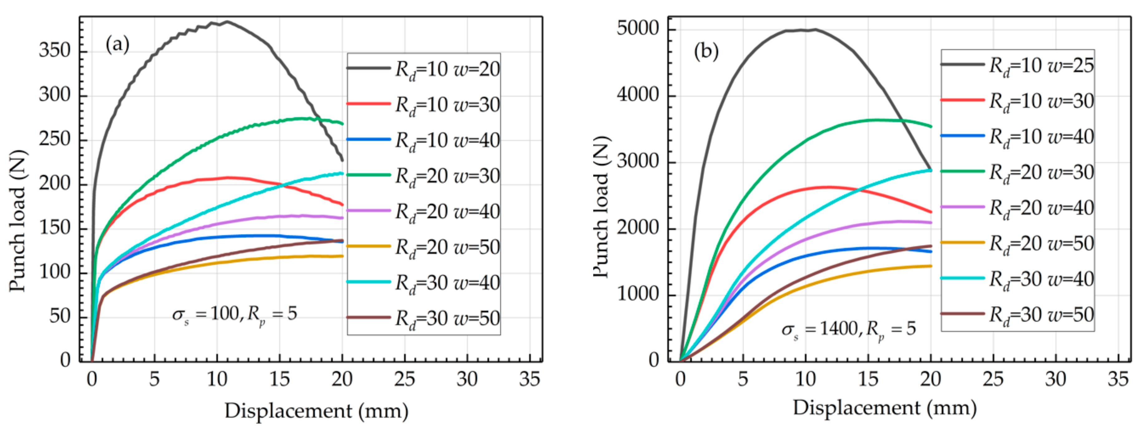
2.1.3. Influence of Test Device Geometric Parameters on Curve Shape
2.2. Identification Algorithms and Materials
- The force stroke curve obtained by a given test device is a synthesis of material properties, and the yield load may be related to more material property parameters. To improve the prediction accuracy, the extracted yield load value should be more related to yield strength, reducing the influence of other parameters.
- By comparing and analyzing the dispersion of different methods for yield strength prediction, a relatively stable recognition algorithm is determined. Combined with references and the characteristics of the bending force stroke curve, four methods are analyzed to explore the prediction accuracy and dispersion of yield strength.
2.2.1. t/10 Method [26]
2.2.2. “Double Secant Line” Method (CWA [26])
2.2.3. Window Vector Method (WV)
2.2.4. Fitting Residual Method (FR)
2.2.5. Materials
3. Results
3.1. FEM Results
3.2. Experiment and Results
4. Conclusions
- (1)
- Based on the research on the geometric combination of the test device, it is concluded that the span of the bending test device should be selected to be as large as possible for experiments when the slab size allows. Increasing the fillet of the die can lift the force stroke curve, reduce the non-linear degree of the curve, and improve the linear fitting correlation of the data after the turning point, which is conducive to the recognition algorithm. When the metal sheet deforms to a certain extent and comes into contact with the punch fillet, the force stroke curve can be slightly increased, but interaction between the punch and the metal sheet is introduced. A group of geometric parameters, including a die span of 30 mm, a die fillet of 20 mm, and a punch fillet of 5 mm, was selected.
- (2)
- The WV method and FR method were proposed in this paper. In the WV method, the vector angle data of the experiment data are extracted by the window vector, and the yield load at the maximum angle is also extracted. In the FR method, the residual values at all points are output. The increase of the residual values means that the turning point of the force stroke curve has been reached. With CWA and t/10, the linear correlation between yield load and yield strength determined by the four methods is close to 0.99, while the WV method and FR method are relatively stable and easy to program.
- (3)
- When the yield strength and absolute value of yield strength are small, the average errors and the dispersion of related models will increase. At the same time, when the yield strength is low, and the elastic stroke is short, small stroke errors will increase the prediction errors in the elastic stage. When the stroke is small, the results are greatly affected by interference factors. With increasing yield strength, the deviation results increase gradually. For experimental materials with medium and high yields, the prediction errors of the correlation model identified by t/10, WV, and FR were less than 4%, and the prediction deviation was stable. The three methods have certain dispersion degrees, but these methods are relatively simple, and can be embedded in the data processing unit to develop an intelligent sensor for identifying yield strength.
Author Contributions
Funding
Conflicts of Interest
References
- Yang, M.; Manabe, K.-I.; Nishimura, H. Development of Real-time Process Control System for Precision and Flexible V-bending with an On-line Database. J. Mater. Process. Technol. 1996, 60, 249–254. [Google Scholar] [CrossRef]
- Garcia-Romeu, M.L.; Ciurana, J.; Ferrer, I. Springback Determination of Sheet Metals in an Air Bending Process Based on an Experimental Work. J. Mater. Process. Technol. 2007, 191, 174–177. [Google Scholar] [CrossRef]
- Karbasian, H.; Tekkaya, A.E. A Review on Hot Stamping. J. Mater. Process. Technol. 2010, 210, 2103–2118. [Google Scholar] [CrossRef]
- Suppan, C.; Hebesberger, T.; Pichler, A.; Rehrl, J.; Kolednik, O. On the Microstructure Control of the Bendability of Advanced High Strength Steels. Mater. Sci. Eng. A 2018, 735, 89–98. [Google Scholar] [CrossRef]
- Albakri, M.; Fadi, A.; Khraisheh, M. A New Combined Experimental–Numerical Approach to Evaluate Formability of Rate Dependent Materials. Int. J. Mech. Sci. 2013, 66, 55–66. [Google Scholar] [CrossRef]
- Kaupper, M.; Merklein, M. Bendability of advanced high strength steels—A new evaluation procedure. CIRP Ann. Manuf. Techn. 2013, 62, 247–250. [Google Scholar] [CrossRef]
- Rèche, D.; Sturel, T.; Bouaziz, O.; Col, A.; Gourgues-Lorenzon, A.F. Damage Development in Low Alloy TRIP-aided Steels during Air-bending. Mater. Sci. Eng. A 2011, 528, 5241–5250. [Google Scholar] [CrossRef]
- Pradeau, A.; Thuillier, S.; Yoon, J.W. Prediction of Failure in Bending of an Aluminium Sheet Alloy. Int. J. Mech. Sci. 2016, 119, 23–35. [Google Scholar] [CrossRef]
- Mattei, L.; Daniel, D.; Guiglionda, G.; Klöcker, H.; Driver, J. Strain Localization and Damage Mechanisms during Bending of AA6016 Sheet. Mater. Sci. Eng. A 2013, 559, 812–821. [Google Scholar] [CrossRef]
- Lin, G.; Hu, S.; Cai, W. Evaluation of Formability in Bending/Hemming of Aluminum Alloys Using Plane-Strain Tensile Tests. J. Manuf. Sci. Eng. 2009, 131, 051009. [Google Scholar] [CrossRef]
- Yang, D.Y.; Bambach, M.; Cao, J.; Duflou, J.R.; Groche, P.; Kuboki, T.; Sterzing, A.; Tekkaya, A.E.; Lee, C.W. Flexibility in Metal Forming. CIRP Ann. Manuf. Techn. 2018, 67, 743–765. [Google Scholar] [CrossRef]
- Ha, J.; Lee, M.-G.; Barlat, F. Strain Hardening Response and Modeling of EDDQ and DP780 Steel Sheet under Non-linear Strain Path. Mech. Mater. 2013, 64, 11–26. [Google Scholar] [CrossRef]
- Havinga, J.; Boogaard, T.; Dallinger, F.; Hora, P. Feedforward Control of Sheet Bending Based on Force Measurements. J. Manuf. Process. 2018, 31, 260–272. [Google Scholar] [CrossRef]
- Bruschi, S.; Altan, T.; Banabic, D.; Bariani, P.F.; Brosius, A.; Cao, J.; Ghiotti, A.; Khraisheh, M.; Merklein, M.; Tekkaya, A.E. Testing and Modelling of Material Behaviour and Formability in Sheet Metal Forming. CIRP Ann. Manuf. Techn. 2014, 63, 727–749. [Google Scholar] [CrossRef]
- Canteli, J.A.; Cantero, J.L.; Miguélez, M.H. Experimental Identification of a Thermo-mechanical Model for Air Bending. J. Mater. Process. Technol. 2008, 203, 267–276. [Google Scholar] [CrossRef][Green Version]
- An, Y.G.; Vegter, H.; Heijne, J. Development of Simple Shear Test for the Measurement of Work Hardening. J. Mater. Process. Technol. 2009, 209, 4248–4254. [Google Scholar] [CrossRef]
- Allwood, J.M.; Duncan, S.R.; Cao, J.; Groche, P.; Hirt, G.; Kinsey, B.; Kuboki, T.; Liewald, M.; Sterzing, A.; Tekkaya, A.E. Closed-loop Control of Product Properties in Metal Forming. CIRP Ann. Manuf. Techn. 2016, 65, 573–596. [Google Scholar] [CrossRef]
- Yang, M. Smart Metal Forming with Digital Process and IoT. Int. J. Lightweight Mater. Manuf. 2018, 1, 207–214. [Google Scholar] [CrossRef]
- Simons, G.; Weippert, C.; Dual, J.; Villain, J. Size Effects in Tensile Testing of Thin Cold Rolled and Annealed Cu Foils. Mater. Sci. Eng. A 2006, 4196, 290–299. [Google Scholar] [CrossRef]
- Nasser, A.; Yadav, A.; Pathak, P.; Altan, T. Determination of the flow stress of five AHSS sheet materials (DP 600, DP 780, DP 780-CR, DP 780-HY and TRIP 780) using the uniaxial tensile and the biaxial Viscous Pressure Bulge (VPB) tests. J. Mater. Process. Technol. 2010, 210, 429–436. [Google Scholar] [CrossRef]
- Hannon, A.; Tiernan, P. A Review of Planar Biaxial Tensile Test Systems for Sheet Metal. J. Mater. Process. Technol. 2008, 198, 1–13. [Google Scholar] [CrossRef]
- Lecompte, D.; Smits, A.; Sol, H.; Vantomme, J.; Hemelrijck, D.V. Mixed Numerical–Experimental Technique for Orthotropic Parameter Identification Using Biaxial Tensile Tests on Cruciform Specimens. Int. J. Solids Struct. 2007, 44, 1643–1656. [Google Scholar] [CrossRef]
- Merklein, M.; Biasutti, M. Development of a Biaxial Tensile Machine for Characterization of Sheet Metals. J. Mater. Process. Technol. 2013, 213, 939–946. [Google Scholar] [CrossRef]
- Abu-Farha, F.; Hector, L.G., Jr.; Khraisheh, M. Cruciform-shaped Specimens for Elevated Temperature Biaxial Testing of Lightweight Materials. JOM 2009, 61, 48–56. [Google Scholar] [CrossRef]
- Calaf-Chica, J.; Díez, P.M.B.; Calzada, M.P. Improved Correlation for Elastic Modulus Prediction of Metallic Materials in the Small Punch Test. Int. J. Mech. Sci. 2017, 134, 112–122. [Google Scholar] [CrossRef]
- Calaf-Chica, J.; Díez, P.M.B.; Calzada, M.P. Development of an Improved Prediction Method for the Yield Strength of Steel Alloys in the Small Punch Test. Mater. Des. 2018, 148, 153–166. [Google Scholar] [CrossRef]
- Priel, E.; Mittelman, B.; Haroush, S.; Turgeman, A.; Shneck, R.; Gelbstein, Y. Estimation of Yield and Ultimate Stress Using the Small Punch Test Method Applied to Non-standard Specimens: A Computational Study Validated by Experiments. Int. J. Mech. Sci. 2018, 135, 484–498. [Google Scholar] [CrossRef]
- Calaf-Chica, J.; Díez, P.M.B.; Calzada, M.P.; Ballorca-Juez, D. A Systematic FEM Analysis of the Influence of Mechanical Properties in the Reliability of the Correlation Methods in the Small Punch Test. Int. J. Mech. Sci. 2019, 153–154, 299–309. [Google Scholar] [CrossRef]
- Lloyd, D.J.; Evans, D.; Pelow, C.; Nolan, P.; Jain, M. Bending in Aluminium Alloys AA 6111 and AA 5754 Using the Cantilever Bend Test. Mater. Sci. Technol. 2002, 18, 621–628. [Google Scholar] [CrossRef]
- Mattei, L.; Daniel, D.; Guiglionda, G.; Moulin, N.; Klöcker, H.; Driver, J. Grain Scale Modeling of the Bendability of AA6xxx Al Alloy Sheet. Mater. Sci. Technol. A 2013, 583, 96–104. [Google Scholar] [CrossRef]
- Triantafyllidis, N.; Needleman, A.; Tvergaard, V. On the Development of Shear Bands in Pure Bending. Int. J. Solids Struct. 1982, 18, 121–138. [Google Scholar] [CrossRef]
- Muhammad, W.; Kang, J.; Brahme, A.P.; Ali, U.; Hirsch, J.; Brinkman, H.-J.; Engler, O.; Mishra, R.K.; Inal, K. Bendability Enhancement of an Age-hardenable Aluminum Alloy: Part I—Relationship Between Microstructure, Plastic Deformation and Fracture. Mater. Sci. Eng. A 2019, 753, 179–191. [Google Scholar] [CrossRef]
- Groche, P.; Hoppe, F.; Hesse, D.; Calmano, S. Blanking-bending Process Chain with Disturbance Feed-forward and Closed-loop Control. J. Manuf. Process. 2016, 24, 62–70. [Google Scholar] [CrossRef]
- Wang, J.; Verma, S.; Alexander, R.; Gau, J. Springback Control of Sheet Metal Air Bending Process. J. Manuf. Process. 2008, 10, 21–27. [Google Scholar] [CrossRef]
- Imai, K.; Koyama, J.; Jin, Y. High-accuracy V-bending System by Real Time Identifying Material Property. J. Mater. Process. Technol. 2008, 201, 193–197. [Google Scholar] [CrossRef]
















| Material | σy | n | Material | σy | n |
|---|---|---|---|---|---|
| M1.1 | 100 | 6.95 | M5.3 | 700 | 14 |
| M1.2 | 100 | 8.95 | M5.4 | 700 | 35 |
| M1.3 | 100 | 14 | M6.1 | 850 | 6.95 |
| M1.4 | 100 | 35 | M6.2 | 850 | 8.95 |
| M2.1 | 250 | 6.95 | M6.3 | 850 | 14 |
| M2.2 | 250 | 8.95 | M6.4 | 850 | 35 |
| M2.3 | 250 | 14 | M7.1 | 1000 | 6.95 |
| M2.4 | 250 | 35 | M7.2 | 1000 | 8.95 |
| M3.1 | 400 | 6.95 | M7.3 | 1000 | 14 |
| M3.2 | 400 | 8.95 | M7.4 | 1000 | 35 |
| M3.3 | 400 | 14 | M8.1 | 1200 | 6.95 |
| M3.4 | 400 | 35 | M8.2 | 1200 | 8.95 |
| M4.1 | 550 | 6.95 | M8.3 | 1200 | 14 |
| M4.2 | 550 | 8.95 | M8.4 | 1200 | 35 |
| M4.3 | 550 | 14 | M9.1 | 1400 | 6.95 |
| M4.4 | 550 | 35 | M9.2 | 1400 | 8.95 |
| M5.1 | 700 | 6.95 | M9.3 | 1400 | 14 |
| M5.2 | 700 | 8.95 | M9.4 | 1400 | 35 |
| Materials | Py_t/10/t2 | Py_CWA/t2 | Py_WV/t2 | Py_FR/t2 |
|---|---|---|---|---|
| M1.1 | 63.670 | 59.384 | 63.200 | 58.469 |
| M1.2 | 63.049 | 59.068 | 61.881 | 56.521 |
| M1.3 | 62.245 | 57.938 | 61.326 | 53.828 |
| M1.4 | 61.239 | 56.239 | 61.143 | 51.190 |
| M2.1 | 157.339 | 154.856 | 157.601 | 154.776 |
| M2.2 | 155.596 | 151.449 | 156.273 | 151.025 |
| M2.3 | 153.336 | 147.447 | 154.440 | 147.421 |
| M2.4 | 150.741 | 143.425 | 152.144 | 143.291 |
| M3.1 | 251.980 | 258.273 | 251.048 | 254.551 |
| M3.2 | 249.161 | 251.467 | 249.135 | 250.763 |
| M3.3 | 245.495 | 243.404 | 246.442 | 243.561 |
| M3.4 | 241.273 | 232.827 | 244.105 | 237.132 |
| M4.1 | 348.183 | 366.090 | 353.198 | 359.187 |
| M4.2 | 344.080 | 355.656 | 350.150 | 353.870 |
| M4.3 | 338.893 | 342.016 | 345.832 | 345.832 |
| M4.4 | 333.220 | 325.486 | 340.094 | 334.851 |
| M5.1 | 449.285 | 478.987 | 423.818 | 464.773 |
| M5.2 | 442.928 | 463.712 | 421.715 | 457.958 |
| M5.3 | 434.608 | 444.233 | 418.768 | 449.394 |
| M5.4 | 425.945 | 421.639 | 415.045 | 435.425 |
| M6.1 | 555.185 | 602.048 | 520.999 | 570.253 |
| M6.2 | 546.093 | 580.645 | 518.190 | 561.749 |
| M6.3 | 535.143 | 552.733 | 514.202 | 553.219 |
| M6.4 | 523.490 | 523.278 | 509.204 | 540.457 |
| M7.1 | 666.760 | 728.723 | 619.960 | 679.210 |
| M7.2 | 655.263 | 703.819 | 613.107 | 669.076 |
| M7.3 | 640.240 | 666.674 | 604.958 | 660.799 |
| M7.4 | 623.248 | 625.139 | 596.146 | 659.155 |
| M8.1 | 821.853 | 910.292 | 751.325 | 828.698 |
| M8.2 | 803.385 | 871.368 | 747.236 | 813.340 |
| M8.3 | 781.660 | 821.763 | 737.344 | 805.343 |
| M8.4 | 756.738 | 764.815 | 722.822 | 786.348 |
| M9.1 | 977.695 | 1087.497 | 895.839 | 960.197 |
| M9.2 | 954.125 | 1036.608 | 886.443 | 950.362 |
| M9.3 | 924.463 | 975.898 | 870.769 | 944.653 |
| M9.4 | 891.603 | 906.794 | 853.902 | 931.266 |
| Materials | E(MPa) | σy(MPa) | σu_eng (MPa) | ɛfract | t(mm) |
|---|---|---|---|---|---|
| DP980 | 141450 | 740 | 1128 | 0.181 | 2.02 |
| Al6061 | 57184 | 311 | 367 | 0.120 | 1.98 |
| SUS304 | 169914 | 286 | 1583 | 0.820 | 1.96 |
| ST12 | 123000 | 171 | 440 | 0.429 | 2.06 |
| Materials | Py_t/10/t2 | Py_CWA/t2 | Py_WV/t2 | Py_FR/t2 |
|---|---|---|---|---|
| DP980 | 470.934 | 521.450 | 467.428 | 502.437 |
| Al6061 | 193.287 | 200.063 | 190.440 | 197.805 |
| SUS304 | 177.669 | 182.823 | 179.353 | 173.126 |
| ST12 | 106.656 | 110.878 | 109.985 | 104.198 |
| Materials | σy_t/10 | σy_CWA | σy_WV | σy_FR |
|---|---|---|---|---|
| DP980 | 729.997 | 769.247 | 758.672 | 763.777 |
| Al6061 | 318.673 | 334.851 | 311.963 | 323.325 |
| SUS304 | 295.535 | 311.549 | 294.081 | 287.643 |
| ST12 | 190.331 | 214.306 | 182.209 | 187.984 |
© 2020 by the authors. Licensee MDPI, Basel, Switzerland. This article is an open access article distributed under the terms and conditions of the Creative Commons Attribution (CC BY) license (http://creativecommons.org/licenses/by/4.0/).
Share and Cite
Duan, Y.; Tian, L.; Zhang, F.; Qiao, H.; Li, M.; Yang, L.; Guan, Y. A Fast Identification Method of Yield Strength of Materials Based on Bending Experimental Data. Metals 2020, 10, 169. https://doi.org/10.3390/met10020169
Duan Y, Tian L, Zhang F, Qiao H, Li M, Yang L, Guan Y. A Fast Identification Method of Yield Strength of Materials Based on Bending Experimental Data. Metals. 2020; 10(2):169. https://doi.org/10.3390/met10020169
Chicago/Turabian StyleDuan, Yongchuan, Le Tian, Fangfang Zhang, Haidi Qiao, Muyu Li, Liu Yang, and Yingping Guan. 2020. "A Fast Identification Method of Yield Strength of Materials Based on Bending Experimental Data" Metals 10, no. 2: 169. https://doi.org/10.3390/met10020169
APA StyleDuan, Y., Tian, L., Zhang, F., Qiao, H., Li, M., Yang, L., & Guan, Y. (2020). A Fast Identification Method of Yield Strength of Materials Based on Bending Experimental Data. Metals, 10(2), 169. https://doi.org/10.3390/met10020169
